搜索
      上传资料 赚现金

      安徽省淮南第二中学2024-2025学年高一下学期期中考试数学试卷 含解析

      • 4.48 MB
      • 2025-05-15 12:16:36
      • 62
      • 0
      • 教习网2954337
      加入资料篮
      立即下载
      安徽省淮南第二中学2024-2025学年高一下学期期中考试数学试卷 含解析第1页
      高清全屏预览
      1/17
      安徽省淮南第二中学2024-2025学年高一下学期期中考试数学试卷 含解析第2页
      高清全屏预览
      2/17
      安徽省淮南第二中学2024-2025学年高一下学期期中考试数学试卷 含解析第3页
      高清全屏预览
      3/17
      还剩14页未读, 继续阅读

      安徽省淮南第二中学2024-2025学年高一下学期期中考试数学试卷 含解析

      展开

      这是一份安徽省淮南第二中学2024-2025学年高一下学期期中考试数学试卷 含解析,共17页。试卷主要包含了填空题,解答题等内容,欢迎下载使用。
      是符合题目要求的.)
      1. 若复数 的共轭复数 对应的点在第一象限,则 的值为( )
      A. B. 0 C. 1 D.
      【答案】B
      【解析】
      【分析】由共轭复数的定义求出 ,再根据复数的几何意义求解.
      【详解】由题, , 对应的点在第一象限,
      则 ,可得 ,又 为整数,所以 .
      故选:B.
      2. 下列命题正确的是( )
      A. 直角三角形绕其一边所在直线旋转一周得到的几何体是圆锥
      B. 有两个面平行且相似,其它各个面都是梯形的多面体是棱台
      C. 棱锥的侧面和底面可以都是三角形
      D. 圆柱上底面圆上任一点与下底面圆上任一点的连线都是圆柱的母线
      【答案】C
      【解析】
      【分析】由已知,选项 A,棱锥是绕直角三角形的直角边旋转而非任意边;选项 B,棱台的侧棱需要满足交
      于同一点;选项 C,三棱锥满足要求;选项 D,母线需要满足与轴平行.
      【详解】选项 A,直角三角形绕其直角边所在直线旋转一周得到的几何体是圆锥,故该选项错误;
      选项 B,由棱台的概念可知,两个面平行且相似,其它各个面都是梯形的多面体不一定是棱台,因为该几
      何体的所有侧棱不一定交于同一点,故该选项错误;
      选项 C,三棱锥的侧面和底面都是三角形,故该选项正确;
      选项 D,圆柱上底面圆上任一点与下底面圆上任一点的连线不一定都是圆柱的母线,只有与轴平行的线段
      是母线,故该选项错误;
      故选:C.
      第 1页/共 17页
      3. 已知向量 , 满足 , ,则 在 上的投影向量的坐标为( )
      A. B. C. D.
      【答案】B
      【解析】
      【分析】利用投影向量的计算公式,可得答案.
      【详解】解: 在 上的投影向量的坐标为
      故选:B.
      4. 在三角形 中, , , ,则 ( )
      A. B. C. 或 D. 或
      【答案】A
      【解析】
      【分析】由正弦定理求得 或 ,再结合三角形内角和及 ,即可求解.
      【详解】由正弦定理得, ,解得 ,
      因为 ,所以 或 ,
      又因为 ,所以 ,
      故选:A.
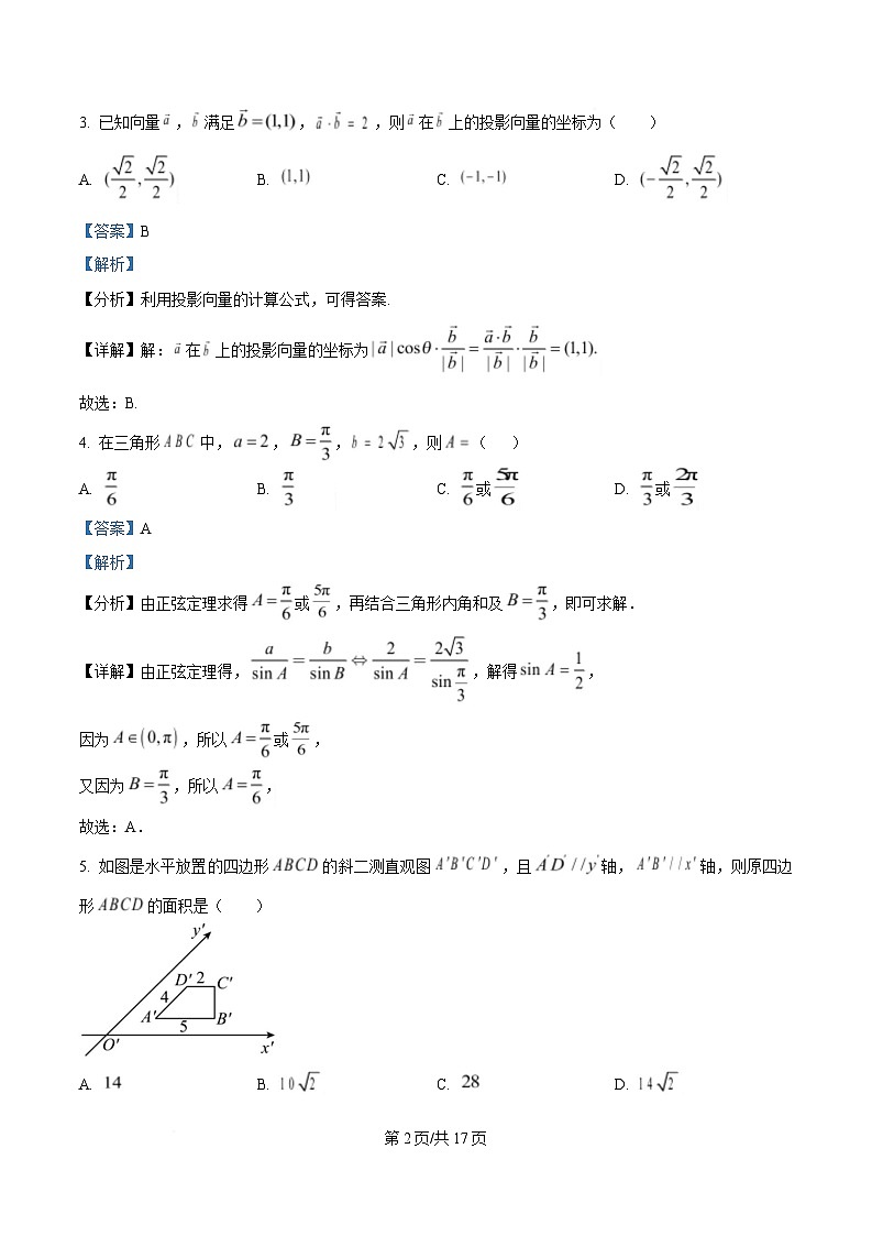
      5. 如图是水平放置的四边形 的斜二测直观图 ,且 轴, 轴,则原四边
      形 的面积是( )
      A. B. C. D.
      第 2页/共 17页
      【答案】C
      【解析】
      【分析】根据斜二测画法,把直观图还原出原平面图形,再求出原平面图形的面积,即可得答案.
      【详解】根据题意,因为直观图 中, 轴, 轴,
      所以四边形 是一个上底为 ,下底为 ,高为 的直角梯形,
      则原四边形 的面积 .
      故选:C.
      6. 已知一个圆锥的轴截面是边长为 2 的等边三角形,则这个圆锥的侧面积为( )
      A. B. C. D.
      【答案】A
      【解析】
      【分析】先求出母线长和底面圆的半径,再根据圆锥的侧面积公式即可得解.
      【详解】由题意可知,圆锥的母线长和底面圆的直径均为 ,
      所以圆锥的侧面积为 .
      故选:A.
      7. 在 中,角 的对边分别为 ,若 ,则 的形状为(

      A. 等边三角形 B. 直角三角形 C. 等腰三角形 D. 等腰或直角三角形
      【答案】D
      【解析】
      【分析】利用正弦定理将边化角,再由和角公式化简可得 或 ,最后分类讨论即可.
      【详解】由正弦定理,得 ,
      第 3页/共 17页
      所以 ,故 ,
      所以 或 ,即 或 ,
      故 直角三角形或等腰三角形.
      选:D.
      8. 设正四面体 的内切球表面积为 ,则能装下该正四面体的最小正方体(不计厚度)的体积为(

      A. B. C. D.
      【答案】C
      【解析】
      【分析】先求出内切球半径,进而得到正四面体 的棱长,正四面体的每条边均为正方体的面对角线
      时,为能装下该正四面体的最小正方体,从而求出最小正方体的边长和体积.
      【详解】设正四面体 的内切球半径为 ,则 ,解得 ,
      如图所示, 为 中点,连接 ,过点 作 ⊥ 于点 ,
      则 ⊥平面 ,
      设正四面体 的内切球球心为 ,则 则 上,
      过点 作 ⊥ 于点 ,
      则 ,
      设正四面体 的棱长为 ,则 ,
      则 ,
      ,其中 ,
      故 ,
      故 ,
      第 4页/共 17页
      ∽ ,故 ,
      即 ,
      解得 ,
      将正四面体按照如图放入正方体中,即正四面体的每条边均为正方体的面对角线,
      此时为能装下该正四面体的最小正方体,
      设正方体的棱长为 ,则 ,解得 ,
      故此正方体的体积为 .
      故选:C
      【点睛】方法点睛:解决与球有关的内切或外接的问题时,解题的关键是确定球心的位置.对于外切的问
      题要注意球心到各个面的距离相等且都为球半径;对于球的内接几何体的问题,注意球心到各个顶点的距
      第 5页/共 17页
      离相等,解题时要构造出由球心到截面圆的垂线段、小圆的半径和球半径组成的直角三角形,利用勾股定
      理求得球的半径
      二、选择题;本题共 3 小题,每小题 6 分,共 18 分,在每小题给出的选项中,有多项符合题
      目要求,全部选对的得 6 分,部分选对的得部分分,有选错的得 0 分.
      9. 已知复数 ( 是虚数单位),则下列结论正确的是( )
      A. 复数 的虚部等于 B.
      C. D. 若 是实数, 是纯虚数,则
      【答案】CD
      【解析】
      【分析】先化简复数 ,然后根据复数的虚部概念,纯虚数,共轭复数,及复数的运算逐项判定,即可求解
      .
      【详解】由题意,复数 ,
      对于 A 项: ,所以复数 的虚部等于 ,故 A 错误;
      对于 B 项: ,故 B 错误;
      对于 C 项: ,故 C 正确;
      对于 D 项:因为 是纯虚数且 是实数,即 为纯虚数,所以 ,解得 ,故 D 正确.
      故选:CD.
      10. 如图,在正方体 中,M,N 分别为棱 的中点,则以下四个结论中,正确的
      有( )
      A. 直线 与 是相交直线 B. 直线 与 是异面直线
      第 6页/共 17页
      C. 与 平行 D. 直线 与 共面
      【答案】BD
      【解析】
      【分析】根据异面直线的概念结合正方体性质可判断 AB;根据直线的平行的判定可判断 C;利用四点共面
      可判断 D.
      【详解】对于 A, 三点在平面 内,M 点不在直线 上,
      A 点不在平面 内,可得直线 与 是异面直线,故 A 错误;
      对于 B, 三点在平面 内, 不在直线 上,
      M 点不在平面 内,可得直线 与 是异面直线,故 B 正确;
      对于 C,取 的中点 E,连接 ,又 N 为 的中点,
      则有 , ,
      所以四边形 是平行四边形,所以 ,
      ,则 与 不平行,故 C 错误;
      对于 D,连接 ,
      因为 M,N 分别为棱 的中点,
      所以 , 由正方体的性质可知: ,
      所以 ,则有 四点共面,
      所以直线 与 共面,故 D 正确.
      故选:BD.
      11. 已知 的内角 的对边分别为 ,且 , 在边 上,且 平分
      第 7页/共 17页
      ,若 , ,则下列结论正确的是( )
      A. B.
      C. 的面积为 D.
      【答案】BCD
      【解析】
      【分析】A 利用正弦定理化简即可;B 在 和 中利用正弦定理即可;C 在 中利用余弦
      定理求得 长度即可;D 利用 即可.
      【详解】对于 A,由 及正弦定理可得, ,
      则 ,
      所以 ,又 ,所以 ,所以 ,
      解得 ,又因为 ,所以 ,故 A 错误;
      对于 B,由选项 A 可知, , 在边 上,且 平分 ,
      所以 ,又 , ,
      在 中,由正弦定理得 ,
      在 中,由正弦定理得 ,
      两式左右两边分别相除可得,化简得 ,故 B 正确;
      对于 C,由选项 B 可知 ,设 ,则 ,
      在 中,由余弦定理得 ,
      即 ,解得 ,
      则 ,故 C 正确;
      第 8页/共 17页
      对 于 D, 由 , 得 , 解 得
      ,所以 ,故 D 正确.
      故选:BCD.
      三、填空题:本题共 3 小题,每小题 5 分,共 15 分.
      12. 的内角 、 、 所对边长分别为 、 、 ,且 ,则 ____.
      【答案】
      【解析】
      分析】应用余弦定理求出角即可.
      【详解】因为 ,所以 ,
      所以 .
      故答案为: .
      13. 若向量 满足 ,且 的夹角为 ,则 __________.
      【答案】
      【解析】
      【分析】根据模长公式即可求解.
      【详解】 ,
      故答案为: .
      14. 勒洛四面体是一个非常神奇的“四面体”,它能在两个平行平面间像球一样来回自由滚动,并且始终保持
      与两平面都接触(如图).勒洛四面体是以一个正四面体的四个顶点分别为球心,以正四面体的棱长为半径
      的四个球的公共部分围成的几何体.若构成勒洛四面体 ABCD 的正四面体 ABCD 的棱长为 2,在该“空心”
      勒洛四面体 ABCD 内放入一个球,则该球的球半径最大值是_______.
      第 9页/共 17页
      【答案】
      【解析】
      【分析】勒洛四面体能够容纳的最大球与勒洛四面体的 4 个弧面都相切,即为勒洛四面体内切球,求出勒
      洛四面体 内切球的半径,即可得出结果.
      【详解】勒洛四面体能够容纳的最大球与勒洛四面体的 4 个弧面都相切,即为勒洛四面体内切球,
      由对称性知,勒洛四面体 内切球球心是正四面体 的内切球、外接球球心 ,
      正 外接圆半径 ,正四面体 的高 ,
      设正四面体 的外接球半径为 ,在 中, ,解得 ,
      因此,勒洛四面体 内切球半径为 .
      故答案为: .
      四、解答题:本题共 5 小题,共 77 分.解答应写出文字说明、证明过程或演算步骤.
      15. 如图,在直三棱柱 中,底面是边长为 的正三角形,以上、下底面的内切圆为底面,
      挖去一个圆柱,若圆柱的体积为 ,求:
      第 10页/共 17页
      (1)剩余部分几何体 体积;
      (2)剩余部分几何体的表面积.
      【答案】(1) ;
      (2) .
      【解析】
      【分析】(1)先由题意求出棱柱底面圆的半径,进而由圆柱体积求出棱柱的高 h,再结合柱体体积公式用棱
      柱体积减去圆柱体积即可得解.
      (2)根据几何体 特征确定表面的组成部分即可求解.
      【小问 1 详解】
      因为直三棱柱 底面是边长为 的正三角形,
      所以底面圆的半径为 ,
      设圆柱高为 ,则圆柱体积为 ,解得 ,
      所以剩余几何体的体积为 .
      【小问 2 详解】
      剩余部分几何体的表面积为
      .
      16. 记 的内角 A,B,C 的对边分别为 a,b,c,分别以 a,b,c 为边长的三个正三角形的面积依次
      为 ,已知 .
      (1)求 的面积;
      第 11页/共 17页
      (2)若 ,求 b.
      【答案】(1)
      (2)
      【解析】
      【分析】(1)先表示出 ,再由 求得 ,结合余弦定理及平方关系求
      得 ,再由面积公式求解即可;
      (2)由正弦定理得 ,即可求解.
      【小问 1 详解】
      由题意得 ,则 ,
      即 ,由余弦定理得 ,整理得 ,则 ,又 ,
      则 , ,则 ;
      【小问 2 详解】
      由正弦定理得: ,则 ,则 ,
      .
      17. 如图所示,在四棱锥 中,在底面 中, ,E 在棱 PD 上且 .
      (1)求证: 平面 ;
      第 12页/共 17页
      (2)线段 上是否存在点 N,使得平面 平面 ?若存在,写出 的值;若不存在,请说明
      理由.
      【答案】(1)证明见解析
      (2)存在,
      【解析】
      【分析】(1)由线面平行判断定理可以得证;
      (2)存在,点 为 上靠近 的三等分点时,即 时, 分别证得 平面 和 平面
      ,由面面平行判定定理可证得结论.
      【小问 1 详解】
      因为 ,所以 ,所以 ,
      因为 平面 , 平面 ,
      所以 平面 .
      【小问 2 详解】
      存在,且当点 为 上靠近 点三等分点时,即 时,平面 平面 .
      下面给出证明:
      因为 ,所以 , ,
      又因为点 为 上靠近 点三等分点,所以 ,
      所以 ,
      所以四边形 为平行四边形,
      所以 ,
      第 13页/共 17页
      又因为 面 , 面 ,
      所以 面 ,
      因为 E 在棱 PD 上且 ,即 ,
      又因为 ,
      所以 ,
      所以 ,
      又 平面 , 平面 ,
      所以 平面 ,
      又因为 平面 , 平面 , ,
      所以平面 平面 .
      18. 某公园规划一个凸四边形区域种植两种花卉以供欣赏,具体设计如下:如图,将四边形 划分为
      两个三角形区域分别种植两种花卉, , .设

      (1)用 表示 的面积 ;
      (2)求 的最大值.
      【答案】(1) ,
      (2)
      【解析】
      【分析】(1)首先用角 表示 的内角,再根据正弦定理表示 ,再根据三角形面积公式,结
      合三角恒等变换,即可求解;
      第 14页/共 17页
      (2)根据三角函数的性质,即可求解.
      【小问 1 详解】
      由条件可知, , ,
      中, ,由正弦定理, ,
      所以 , ,

      所以 ,
      【小问 2 详解】
      , ,
      ,所以当 时, 的最大值为 1,
      此时 的最大值是 .
      19. “费马点”是三角形内部与其三个顶点的距离之和最小的点.对于每个给定的三角形,都存在唯一的费马
      点,当 的三个内角均小于 时,使 的点 即为费马点.已知
      中,角 的对边分别为 ,点 是 的“费马点”.
      (1)求角 ;
      (2)若 ,求 的周长;
      (3)若 ,求实数 的值.
      【答案】(1)
      第 15页/共 17页
      (2)
      (3)6
      【解析】
      【分析】(1)利用正弦定理将题目中的条件.转换成仅含有角 关系,再利用辅助角公式求解即可;
      ( 2) , 由 向 量 的 数 量 积 可 得 , 由 三 角 形 的 面 积 可 得
      ,结合余弦定理可求 ,可求周长;
      (3)不妨设 ,则 .由余弦定理解方程组即可得解.
      【小问 1 详解】
      因为 ,
      由正弦定理得
      即: ,
      所以
      所以 ,即 ,所以 ,得 ;
      【小问 2 详解】

      因为 ,
      所以 ,
      由 得:
      ,即 ,
      由余弦定理得 ,即 ,
      则 ,解得 .
      第 16页/共 17页
      所以 的周长为 ;
      【小问 3 详解】
      不妨设 ,则 .由余弦定理得:
      ,①
      ,②
      ,③
      因 为 , 所 以 , 即
      ,则 ,
      由②③, ,则

      因为 ,所以 ,解得 或 (舍)
      所以 ,得 .
      【点睛】关键点点睛:本题关键是理解并应用费马点的定义,第三问关键是设
      ,从而推导出 、 ,结合关系求得.
      第 17页/共 17页

      相关试卷

      安徽省淮南第二中学2024-2025学年高一下学期期中考试数学试卷 含解析:

      这是一份安徽省淮南第二中学2024-2025学年高一下学期期中考试数学试卷 含解析,共17页。试卷主要包含了填空题,解答题等内容,欢迎下载使用。

      安徽省淮南市第二中学2023-2024学年高一下学期期中数学试卷(Word版附解析):

      这是一份安徽省淮南市第二中学2023-2024学年高一下学期期中数学试卷(Word版附解析),文件包含安徽省淮南市第二中学2023-2024学年高一下学期期中教学检测数学试题Word版含解析docx、安徽省淮南市第二中学2023-2024学年高一下学期期中教学检测数学试题Word版无答案docx等2份试卷配套教学资源,其中试卷共24页, 欢迎下载使用。

      2023-2024学年安徽省淮南二中高二(下)期中数学试卷(含解析):

      这是一份2023-2024学年安徽省淮南二中高二(下)期中数学试卷(含解析),共15页。试卷主要包含了单选题,多选题,填空题,解答题等内容,欢迎下载使用。

      资料下载及使用帮助
      版权申诉
      • 1.电子资料成功下载后不支持退换,如发现资料有内容错误问题请联系客服,如若属实,我们会补偿您的损失
      • 2.压缩包下载后请先用软件解压,再使用对应软件打开;软件版本较低时请及时更新
      • 3.资料下载成功后可在60天以内免费重复下载
      版权申诉
      若您为此资料的原创作者,认为该资料内容侵犯了您的知识产权,请扫码添加我们的相关工作人员,我们尽可能的保护您的合法权益。
      入驻教习网,可获得资源免费推广曝光,还可获得多重现金奖励,申请 精品资源制作, 工作室入驻。
      版权申诉二维码
      欢迎来到教习网
      • 900万优选资源,让备课更轻松
      • 600万优选试题,支持自由组卷
      • 高质量可编辑,日均更新2000+
      • 百万教师选择,专业更值得信赖
      微信扫码注册
      手机号注册
      手机号码

      手机号格式错误

      手机验证码 获取验证码 获取验证码

      手机验证码已经成功发送,5分钟内有效

      设置密码

      6-20个字符,数字、字母或符号

      注册即视为同意教习网「注册协议」「隐私条款」
      QQ注册
      手机号注册
      微信注册

      注册成功

      返回
      顶部
      学业水平 高考一轮 高考二轮 高考真题 精选专题 初中月考 教师福利
      添加客服微信 获取1对1服务
      微信扫描添加客服
      Baidu
      map