



所属成套资源:2025届上海市16区高考二模数学试卷及参考答案
2025上海奉贤区高考数学二模数学试卷及参考答案
展开 这是一份2025上海奉贤区高考数学二模数学试卷及参考答案,文件包含2025年4月高三奉贤数学二模参考答案0330doc、2025高三数学二模定稿0330docx等2份试卷配套教学资源,其中试卷共8页, 欢迎下载使用。
1、 2、 3、 4、
5、 6、 7、充要条件 8、
9、 10、 11、 12、
二、选择题
13、A 14、B 15、C 16、B
三、解答题
(1)由已知,
所以,估算样本中吸烟者约有20.98%患有慢性支气管炎.
假设患慢性支气管炎与吸烟无关, 计算
所以我们有把握认为患慢性支气管炎与吸烟有关.
(1)由已知,函数的定义域为
函数是偶函数,对任意的,都有
,
是上的严格增函数,
(2) 又是上的严格增函数,
当且仅当时等号成立,的最小值为2
,对任意的正实数和实数, 恒成立
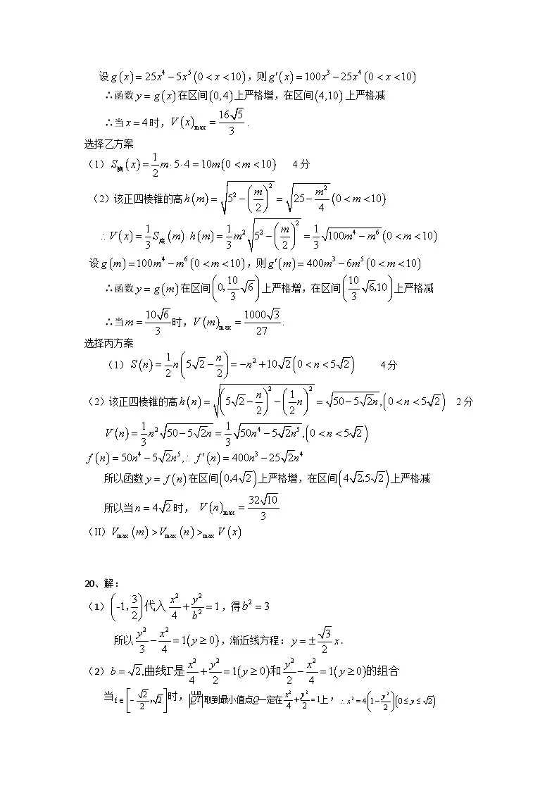
19、( = 1 \* ROMAN I)
选择甲方案
(1)
(2)该正四棱锥的高 2
设,则
∴函数在区间上严格增,在区间上严格减
∴当时,.
选择乙方案
(1) 4分
(2)该正四棱锥的高
设,则
∴函数在区间上严格增,在区间上严格减
∴当时,.
选择丙方案
4分
该正四棱锥的高 2分
所以函数在区间上严格增,在区间上严格减
所以当时,
( = 2 \* ROMAN II)
20、解:
(1),得
所以,渐近线方程:.
(2)
当时,,
当时,存在三个点,最小值
当时,存在唯一的点,最小值
当时,
时存在唯一的点,最小值
(3)设
设
计算出,
当时,存在非零实数使得成立
当时,不存在实数使得成立
21、(1)
原式=
几何意义是函数在点处切线的斜率是
(2)变形得到,
令,在内恒小于零,
所以函数在严格减
得到值域为,所以的取值范围为
(3)由(2)知函数在严格减,且存在唯一的零点使得,即
,根据函数单调性知,
即,依次类推,得到,
同理
即
,所以得到
相关试卷
这是一份2025上海奉贤区高考数学二模数学试卷及参考答案,文件包含2025年4月高三奉贤数学二模参考答案0330doc、2025高三数学二模定稿0330docx等2份试卷配套教学资源,其中试卷共8页, 欢迎下载使用。
这是一份2025上海奉贤区高考二模数学试卷及参考答案,文件包含2025年4月高三奉贤数学二模参考答案0330doc、2025高三数学二模定稿0330docx等2份试卷配套教学资源,其中试卷共8页, 欢迎下载使用。
这是一份2025上海奉贤区高考二模数学试卷及参考答案,文件包含2025年4月高三奉贤数学二模参考答案0330doc、2025高三数学二模定稿0330docx等2份试卷配套教学资源,其中试卷共8页, 欢迎下载使用。
相关试卷 更多
- 1.电子资料成功下载后不支持退换,如发现资料有内容错误问题请联系客服,如若属实,我们会补偿您的损失
- 2.压缩包下载后请先用软件解压,再使用对应软件打开;软件版本较低时请及时更新
- 3.资料下载成功后可在60天以内免费重复下载
免费领取教师福利 





.png)




