搜索
      上传资料 赚现金

      北京市海淀区北京市第十九中学2024-2025学年高一下学期3月月考 数学试题(含解析)

      • 847.25 KB
      • 2025-04-25 06:32:03
      • 90
      • 0
      • 压轴数学陈老师
      加入资料篮
      立即下载
      查看完整配套(共2份)
      包含资料(2份) 收起列表
      解析
      北京市海淀区北京市第十九中学2024-2025学年高一下学期3月月考数学试题(解析).docx
      预览
      原卷
      北京市海淀区北京市第十九中学2024-2025学年高一下学期3月月考数学试题.docx
      预览
      正在预览:北京市海淀区北京市第十九中学2024-2025学年高一下学期3月月考数学试题(解析).docx
      北京市海淀区北京市第十九中学2024-2025学年高一下学期3月月考数学试题(解析)第1页
      高清全屏预览
      1/12
      北京市海淀区北京市第十九中学2024-2025学年高一下学期3月月考数学试题(解析)第2页
      高清全屏预览
      2/12
      北京市海淀区北京市第十九中学2024-2025学年高一下学期3月月考数学试题(解析)第3页
      高清全屏预览
      3/12
      北京市海淀区北京市第十九中学2024-2025学年高一下学期3月月考数学试题第1页
      高清全屏预览
      1/4
      北京市海淀区北京市第十九中学2024-2025学年高一下学期3月月考数学试题第2页
      高清全屏预览
      2/4
      还剩9页未读, 继续阅读

      北京市海淀区北京市第十九中学2024-2025学年高一下学期3月月考 数学试题(含解析)

      展开

      这是一份北京市海淀区北京市第十九中学2024-2025学年高一下学期3月月考 数学试题(含解析),文件包含北京市海淀区北京市第十九中学2024-2025学年高一下学期3月月考数学试题解析docx、北京市海淀区北京市第十九中学2024-2025学年高一下学期3月月考数学试题docx等2份试卷配套教学资源,其中试卷共16页, 欢迎下载使用。
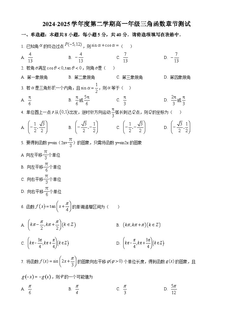
      1. 已知角的终边过点,则( )
      A. B. C. D.
      2. 若角满足,则角是( )
      A. 第一象限角B. 第二象限角C. 第三象限角D. 第四象限角
      3. 若是三角形一个内角,且,则等于( )
      A. B. 或C. D. 或
      4. 单位圆上一点从出发,逆时针方向运动弧长到达点,则的坐标为( )
      A. B. C. D.
      5. 要得到函数y=sin(2x+)的图象,只需将函数y=sin2x的图象
      A 向左平移个单位
      B. 向左平移个单位
      C. 向右平移个单位
      D. 向右平移个单位
      6. 函数的单调递增区间为( )
      A. B.
      C. D.
      7. 将函数的图象向右平移个单位长度,得到函数的图象,且,则的一个可能值为
      A. B. C. D.
      8. 2020年3月14日是全球首个国际圆周率日( Day).历史上,求圆周率的方法有多种,与中国传统数学中的“割圆术”相似.数学家阿尔·卡西的方法是:当正整数充分大时,计算单位圆的内接正边形的周长和外切正边形(各边均与圆相切的正边形)的周长,将它们的算术平均数作为的近似值.按照阿尔·卡西的方法,的近似值的表达式是( ).
      A. B.
      C. D.
      二、填空题:本题共5小题,每小题5分,共25分.
      9. 亲爱的同学,本场考试需要1小时,则在本场考试中,钟表的时针转过的弧度数为__________.
      10. __________.
      11. 在平面直角坐标系中,角与角均以为始边,它们的终边关于轴对称.若,则_____.
      12. 若函数为偶函数,则的一个值是___________.
      13. 设函数f(x)=2sin(ωx+φ)ω>0,00,|φ|

      相关试卷 更多

      资料下载及使用帮助
      版权申诉
      • 1.电子资料成功下载后不支持退换,如发现资料有内容错误问题请联系客服,如若属实,我们会补偿您的损失
      • 2.压缩包下载后请先用软件解压,再使用对应软件打开;软件版本较低时请及时更新
      • 3.资料下载成功后可在60天以内免费重复下载
      版权申诉
      若您为此资料的原创作者,认为该资料内容侵犯了您的知识产权,请扫码添加我们的相关工作人员,我们尽可能的保护您的合法权益。
      入驻教习网,可获得资源免费推广曝光,还可获得多重现金奖励,申请 精品资源制作, 工作室入驻。
      版权申诉二维码
      月考专区
      • 精品推荐
      • 所属专辑83份
      欢迎来到教习网
      • 900万优选资源,让备课更轻松
      • 600万优选试题,支持自由组卷
      • 高质量可编辑,日均更新2000+
      • 百万教师选择,专业更值得信赖
      微信扫码注册
      手机号注册
      手机号码

      手机号格式错误

      手机验证码 获取验证码 获取验证码

      手机验证码已经成功发送,5分钟内有效

      设置密码

      6-20个字符,数字、字母或符号

      注册即视为同意教习网「注册协议」「隐私条款」
      QQ注册
      手机号注册
      微信注册

      注册成功

      返回
      顶部
      学业水平 高考一轮 高考二轮 高考真题 精选专题 初中月考 教师福利
      添加客服微信 获取1对1服务
      微信扫描添加客服
      Baidu
      map