搜索
      上传资料 赚现金

      [精] 2025年高考第三次模拟考试卷:数学(广东卷01)(解析版)

      • 1.31 MB
      • 2025-04-22 14:06:51
      • 348
      • 1
      • 为梦奔跑
      加入资料篮
      立即下载
      2025年高考第三次模拟考试卷:数学(广东卷01)(解析版)第1页
      1/16
      2025年高考第三次模拟考试卷:数学(广东卷01)(解析版)第2页
      2/16
      2025年高考第三次模拟考试卷:数学(广东卷01)(解析版)第3页
      3/16
      还剩13页未读, 继续阅读

      2025年高考第三次模拟考试卷:数学(广东卷01)(解析版)

      展开

      这是一份2025年高考第三次模拟考试卷:数学(广东卷01)(解析版),共16页。试卷主要包含了若函数的两个零点分别为和,则,已知函数,则,一组样本数据等内容,欢迎下载使用。
      注意事项:
      1.答卷前,考生务必将自己的姓名、准考证号等填写在答题卡和试卷指定位置上。
      2.回答选择题时,选出每小题答案后,用铅笔把答题卡上对应题目的答案标号涂黑。如需改动,用橡皮擦干净后,再选涂其他答案标号。回答非选择题时,将答案写在答题卡上。写在本试卷上无效。
      3.考试结束后,将本试卷和答题卡一并交回。
      第一部分(选择题 共58分)
      一、选择题:本题共8小题,每小题5分,共40分。在每小题给出的四个选项中,只有一项是符合题目要求的。
      1.已知集合,集合,则( )
      A.B.C.D.
      【答案】C
      【解析】由,
      故选:C.
      2.已知复数z满足,且z在复平面内对应的点为,则( )
      A.B.C.D.
      【答案】A
      【解析】z在复平面内对应的点为,则,
      由,得,
      化简得.
      故选:A.
      3.已知等差数列的前项和为,且满足,,等比数列的前项和为,且满足,,则的值为( )
      A.42B.62C.63D.126
      【答案】D
      【解析】由,得,,故;
      由,得,,
      故;
      故,
      故选:D
      4.已知直线分别在两个不同的平面内,则“直线和直线平行”是“平面和平面平行”的( )
      A.充分不必要条件B.必要不充分条件
      C.充要条件D.既不充分也不必要条件
      【答案】D
      【解析】当“直线和直线平行”时,平面和平面可能平行也可能相交,故不充分;
      当“平面和平面平行”时,直线和直线可能平行也可能异面,故不必要;
      因此“直线和直线平行”是“平面和平面平行”的既不充分也不必要条件.
      故选:D.
      5.已知直线过抛物线的焦点,且与抛物线交于,两点,则以线段为直径的圆的面积为( )
      A.B.C.D.
      【答案】C
      【解析】直线,令,可得,即直线过点;
      抛物线的焦点,所以,解得,
      所以抛物线,由,消去整理得,
      设,,显然,则,
      所以,则以线段为直径的圆的面积.
      故选:C
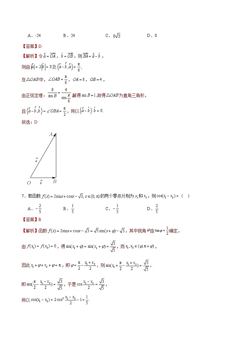
      6.若非零向量,满足,且向量与向量的夹角,则的值为( )
      A.-24B.24C.D.0
      【答案】D
      【解析】令,,则,
      则由及,
      在中,,,,
      由正弦定理:,解得,故得为直角三角形,
      且,所以.
      故选:D
      7.若函数的两个零点分别为和,则( )
      A.B.C.D.
      【答案】B
      【解析】函数,其中锐角由确定,
      由,得,而,
      因此,即,则,
      即,于是,
      所以.
      故选:B
      8.罗尔中值定理是微分学中的一个重要定理,与拉格朗日中值定理和柯西中值定理一起并称微分学三大中值定理.罗尔中值定理:若定义域为的函数的导函数记为,且函数满足条件①在闭区间上连续;②在开区间内可导;③.那么至少存在一个使得.已知函数,在区间内有零点,其中,是自然对数的底数,则实数的取值范围为( )
      A.B.C.D.
      【答案】B
      【解析】依题意设在区间内的零点为,则有,
      由罗尔中值定理可知,存在,使,
      同理,由及罗尔中值定理可知,存在,使,
      故在上至少有两个不等实根,
      令,
      则,显然在上单调递增,
      当,时,,此时在上单调递增,
      故在上至多只有一个实根;
      同理可知,当,时,,此时在上单调递减,
      故在上至多只有一个实根;
      当时,令,可得,
      易知,且在上单调递减,在单调递增,
      故当且时,;
      又,
      故,
      则由零点存在性定理知,故.
      故选:B
      二、选择题:本题共3小题,每小题6分,共18分.在每小题给出的选项中,有多项符合题目要求.全部选对的得6分,部分选对的得部分分,有选错的得0分.
      9.已知函数,则( )
      A.为偶函数
      B.的值域为
      C.不存在,使得
      D.在区间上单调递减
      【答案】ABD
      【解析】对于A,函数的定义域为R,
      ,因此为偶函数,A正确;
      对于B,令,函数是R上增函数,值域为R,函数的值域为,
      因此的值域为,B正确;
      对于C,由选项B知,存在唯一使得,则,
      且,因此存在,使得,C错误;
      对于D,函数在上单调递增,,
      而函数在上单调递减,因此在区间上单调递减,D正确.
      故选:ABD
      10.一组样本数据.其中,,,求得其经验回归方程为:,残差为.对样本数据进行处理:,得到新的数据,求得其经验回归方程为:,其残差为、,分布如图所示,且,则( )
      A. 样本负相关B.
      C.D.处理后的决定系数变大
      【答案】ABD
      【解析】由经验回归方程单调递减,可知样本负相关,故A正确;
      由题意样本均值分别为,
      由样本中心在经验回归直线上,代入回归直线解得,故B正确:
      由图一的数据波动较大可得比更集中,所以,故C错误;
      由图一的残差平方和较图二的残差平方和大可知,处理后拟合效果更好,决定系数变大,故D正确.
      故选:ABD
      11.已知点是左、右焦点为,的椭圆:上的动点,则( )
      A.若,则的面积为
      B.使为直角三角形的点有6个
      C.的最大值为
      D.若,则的最大、最小值分别为和
      【答案】BCD
      【解析】A选项:由椭圆方程,所以,,所以,
      所以的面积为,故A错误;
      B选项:当或时为直角三角形,这样的点有4个,
      设椭圆的上下顶点分别为,,则,同理,
      知,所以当位于椭圆的上、下顶点时也为直角三角形,
      其他位置不满足,满足条件的点有6个,故B正确;
      C选项:由于,
      所以当最小即时,取得最大值,故C正确;
      D选项:因为,
      又,则的最大、最小值分别为和,
      当点位于直线与椭圆的交点时取等号,故D正确.
      故选:BCD
      第二部分(非选择题 共92分)
      三、填空题:本题共3小题,每小题5分,共15分。
      12.已知的展开式中二项式系数最大的项的系数为 .
      【答案】
      【解析】由已知可得的展开式中二项式系数最大的项为第五项,
      第五项的系数为.
      故答案为:
      13.在中,角的对边成公差为的等差数列.若,则的面积为 .
      【答案】/
      【解析】因为成公差为的等差数列,所以;
      因为,由正弦定理可得;
      解得,,,
      由余弦定理可得,
      因为,所以,
      所以的面积为,
      故答案为:.
      14.已知函数(),将的图象绕原点逆时针旋转后,所得曲线仍是某个函数的图象,则的取值范围为 .
      【答案】
      【解析】法1:设为的图象上任意一点,
      绕原点逆时针旋转后点的对应点为,
      设,与正半轴夹角为,
      可得:,
      化简可得:令,则,
      所以,令,
      要使函数图像绕原点逆时针旋转后仍为某函数的图象,
      则为单调函数,即恒成立,或恒成立.
      因为,又,故不恒成立,所以恒成立,
      当时,;当时,由,得,
      令,则,
      易得当时,,当时,,
      所以在上单调递增,在上单调递减,
      所以,所以;
      当时,由,得,令,则,
      所以在上单调递增,所以当时,的取值范围为,
      所以.综上所述,的取值范围为.
      法2:,当时,由,得,
      由,得,所以在上单调递增,在上单调递减,
      其图象大致如图1所示,绕原点逆时针旋转后,得到的曲线不是任何函数的图象;
      当时,,其图象为轴,绕原点逆时针旋转后,为函数的图象,符合题意;
      当时,由,得,由,得,
      所以在上单调递减,在上单调递增,
      其图象大致如图2所示,要使绕原点逆时针旋转后,
      得到的曲线为某函数的图象,必有在上恒成立,
      所以在上恒成立,令,则,
      因为,所以当时,,
      当时,,所以在上单调递减,
      在上单调递增,所以,所以,
      所以.综上所述,的取值范围为.
      故答案为:.
      四、解答题:本题共5小题,共77分。解答应写出文字说明、证明过程或演算步棸。
      15.(13分)
      在中,角所对的边分别为,且.
      (1)求的值;
      (2)若,求外接圆的半径;
      (3)若,求的面积.
      【解析】(1)因为,
      可设,则,
      所以; (5分)
      (2)由(1)知,,,所以,
      设外接圆的半径为,
      则由正弦定理,所以,
      所以外接圆的半径为;(9分)
      (3)因为,由(1)知,,则,
      所以.(13分)
      16.(15分)
      已知双曲线的离心率为,点在上,为的左顶点,为的右焦点.
      (1)求的方程并求点到直线的距离;
      (2)把直线绕点顺时针旋转得到直线,求的方程.
      【解析】(1)依题意,,即,由点在上,得,
      解得,,即,,半焦距,因此双曲线的方程为,(5分)
      点,,在中,设点到直线的距离为,
      由,解得,
      所以点到直线的距离为.(7分)
      (2)记直线,的倾斜角分别为和,由(1)得直线的斜率,
      而,则直线的斜率,
      所以直线的方程为.(15分)
      17.(15分)
      如图,在三棱锥中,底面为等腰三角形,,点为的中点,平面平面,平面平面.

      (1)求证:平面平面;
      (2)若,求该三棱锥外接球的体积;
      (3)在(2)的条件下,若点为的中点,求平面与平面的夹角的余弦值.
      【解析】(1)因为平面平面,平面平面,
      在平面内过作交于,则平面.
      同理,因为平面平面,平面平面,
      在平面内过作交于,则平面.
      又因为过一点有且只有一条直线与已知平面垂直,而平面平面,
      所以重合,所以平面.(3分)
      因为平面,所以,
      因为,点为的中点,所以.
      因为,平面,所以平面,
      因为平面,所以平面平面.(5分)
      (2)如图,因为平面,取底面的外心为,,则,
      过点做的平行线,在此线上取点,使得,则为三棱锥外接球的球心,
      分析可得外接球的半径,
      所以三棱锥外接球的体积为.(8分)
      (3)如图,以点B为坐标原点,直线AB,BD分别为z轴,y轴,过点B与平面ABD垂直的直线为x轴,建立空间直角坐标系,
      则,(9分)

      设平面的法向量为,
      则,即,
      取,则,所以,(11分)
      设平面的法向量为,
      则,即,
      取,则,所以,(13分)
      设平面与平面的夹角为,
      则,
      所以平面与平面的夹角的余弦值为.(15分)
      18.(17分)
      已知函数.
      (1)求的极值;
      (2)若当时,,求实数的取值范围;
      (3)设实数,满足,证明:.
      【解析】(1)由题可知,令,得,
      当时,,当时,,
      所以在上单调递增,在上单调递减,
      所以当时,取得极大值,没有极小值. (4分)
      (2)设,根据题意,当时,恒成立.
      又,
      若,则,令,得,
      当时,,当时,,
      所以在上单调递增,在上单调递减,所以,不符合题意,(6分)
      若,令,得或.
      若,则恒成立,所以在上单调递增,
      又当时,,不符合题意,
      若,则,当时,,所以在上单调递增,(8分)
      当时,,不符合题意 ,
      若,则,当时,,
      当时,,所以在和上单调递增,在上单调递减,
      又因为,所以在上成立,
      要使在上也成立,只需,即,得,
      故的取值范围是.(10分)
      (3)由(1)可知在上单调递增,在上单调递减,且当时,.
      又由(2)知当时,,故可作出,在上的大致图象如下,
      除了点,的图象都在的图象的下方,(13分)
      当时,直线与曲线有两个交点,横坐标分别为,,
      直线与曲线有两个交点,横坐标分别为和,
      由图可知.(17分)
      19.(17分)
      随着中国式现代化高速发展,中华民族伟大复兴事业蒸蒸日上,人民生活的幸福指数节节攀高,事关身体健康的各项指标越来越被国民重视.已知身体某项健康指标的取值,其中为正整数,且可以由关于该健康指标的专门体检数据推算,具体方法为:某人先进行若干次体检,由其体检所有数据构造得到集合,重复的数据只能用一次,且,设集合中最小的元素为,最大的元素为,然后由随机变量u,v的值计算有关的概率或期望等数据,以此推算集合中对应的值,从而对该项健康状况作出评价,以此指导体检人选择有利于该项指标保持正常的健康生活方式,当正整数时,该项健康状况为正常.
      (1)若,试用表示符合条件的集合的个数;
      (2)若的概率,求值;
      (3)①当时,求,的概率;
      ②记随机变量是随机变量u,v的等差中项.对居民小帅的该项指标体检数据研究后发现,随机变量的期望为12,试问:小帅的该项健康状况是否正常?请说明理由.
      【解析】(1)由及知符合条件的集合的个数即为集合的不含元素1且必须含有2的非空子集的个数,
      等于;(4分)
      (2)依题意
      又,故
      解之得;(9分)
      (3)①当,且,时,集合中一定有5,8,一定没有1,2,3,4,9,10,可有可无的是6,7,
      故符合条件的集合的个数为,
      所以(11分)
      ②易知
      又的可能取值为,,…,,,,…,,,,…,,…,, (12分)

      又随机变量是随机变量的等差中项,故 (15分)
      所以
      依题意,故,则,
      所以小帅的该项健康指标不正常. (17分)

      相关试卷 更多

      资料下载及使用帮助
      版权申诉
      • 1.电子资料成功下载后不支持退换,如发现资料有内容错误问题请联系客服,如若属实,我们会补偿您的损失
      • 2.压缩包下载后请先用软件解压,再使用对应软件打开;软件版本较低时请及时更新
      • 3.资料下载成功后可在60天以内免费重复下载
      版权申诉
      若您为此资料的原创作者,认为该资料内容侵犯了您的知识产权,请扫码添加我们的相关工作人员,我们尽可能的保护您的合法权益。
      入驻教习网,可获得资源免费推广曝光,还可获得多重现金奖励,申请 精品资源制作, 工作室入驻。
      版权申诉二维码
      欢迎来到教习网
      • 900万优选资源,让备课更轻松
      • 600万优选试题,支持自由组卷
      • 高质量可编辑,日均更新2000+
      • 百万教师选择,专业更值得信赖
      微信扫码注册
      手机号注册
      手机号码

      手机号格式错误

      手机验证码 获取验证码 获取验证码

      手机验证码已经成功发送,5分钟内有效

      设置密码

      6-20个字符,数字、字母或符号

      注册即视为同意教习网「注册协议」「隐私条款」
      QQ注册
      手机号注册
      微信注册

      注册成功

      返回
      顶部
      学业水平 高考一轮 高考二轮 高考真题 精选专题 初中月考 教师福利
      添加客服微信 获取1对1服务
      微信扫描添加客服
      Baidu
      map