搜索
      上传资料 赚现金

      山西省部分重点中学2024-2025学年高一下学期4月月考数学试题(解析版)

      • 628.9 KB
      • 2025-04-19 18:48:19
      • 100
      • 0
      • 教辅之家
      加入资料篮
      立即下载
      山西省部分重点中学2024-2025学年高一下学期4月月考数学试题(解析版)第1页
      1/10
      山西省部分重点中学2024-2025学年高一下学期4月月考数学试题(解析版)第2页
      2/10
      山西省部分重点中学2024-2025学年高一下学期4月月考数学试题(解析版)第3页
      3/10
      还剩7页未读, 继续阅读

      山西省部分重点中学2024-2025学年高一下学期4月月考数学试题(解析版)

      展开

      这是一份山西省部分重点中学2024-2025学年高一下学期4月月考数学试题(解析版),共10页。试卷主要包含了选择题,填空题等内容,欢迎下载使用。
      一、选择题:本题共8小题,每小题5分,共40分.在每小题给出的四个选项中,只有一项是符合题目要求的.
      1. 已知向量,则( )
      A. B. C. D.
      【答案】C
      【解析】因为,所以.
      故选:C
      2. 若复数z满足,则z的虚部为( )
      A. -2B. -1C. -2iD. -i
      【答案】B
      【解析】因为,所以,所以z的虚部为.
      故选:B
      3. 已知的内角A,B,C的对边分别为,则( )
      A. B.
      C. 或D. 或
      【答案】A
      【解析】由正弦定理,得,所以,又,所以.
      故选:A
      4. 已知复数,在复平面内,复数对应的点分别为A,B,且点A与点B关于直线对称,则( )
      A. B. C. D.
      【答案】A
      【解析】因为,所以点.因为点A与点B关于直线对称,
      所以,所以.
      故选:A
      5. 已知向量,则的取值范围为( )
      A. B. C. D.
      【答案】C
      【解析】由,
      可得.
      故选:C
      6. 已知的内角A,B,C的对边分别为,则是( )
      A. 直角三角形B. 针角三角形
      C. 等边三角形D. 等腰三角形
      【答案】D
      【解析】设,由余弦定理,
      得,整理得,所以,
      所以为等腰三角形.
      故选:D
      7. 已知的内角A,B,C所对的边分别为,且,则的外接圆的面积为( )
      A. B. C. D.
      【答案】D
      【解析】由,
      得,所以.
      又因为,结合正弦定理(其中R为的外接圆的半径),
      所以,解得,
      则的外接圆的面积为.
      故选:D
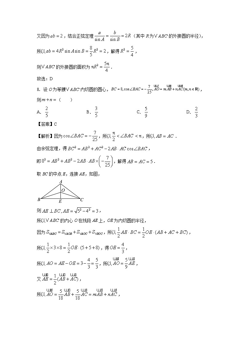
      8. 设O为等腰内切圆的圆心,,则( )
      A. B. C. D.
      【答案】C
      【解析】因为,所以,所以.
      由余弦定理,得,
      即,解得.
      取BC的中点E,连接AE,如图,
      则,
      所以的内心O在线段AE上,OE为内切圆的半径,
      因为,所以,
      所以,得,
      所以,所以,
      又,
      所以,
      所以,所以.
      故选:C
      二、选择题:本题共3小题,每小题6分,共18分.在每小题给出的选项中,有多项符合题目要求.全部选对的得6分,部分选对的得部分分,有选错的得0分.
      9. 设,则下列关于复数的说法正确的是( )
      A.
      B.
      C. 若,则为共轭复数
      D. 若,则的最大值为6
      【答案】ABD
      【解析】对于A,设,则,A正确;
      对于B,设,故

      而,B正确;
      对于C,,因为,
      所以,即,但a与m不一定相等,C错误;
      对于D,若,则复数对应的点的轨迹是以原点为圆心,2为半径的圆,
      表示圆上的点与点的距离,则距离的最大值为,D正确.
      故选:ABD
      10. 已知的内角A,B,C的对边分别为,则( )
      A.
      B. 是锐角三角形
      C. 若M是BC上一点,且,则
      D. 若D是BC上一点,且AD平分,则
      【答案】AC
      【解析】由余弦定理,得,解得,故A正确;
      由余弦定理,得,所以为钝角三角形,故B错误;
      设BC边上的高长h,则,解得,故C正确;
      设BC边上的角平分线为AD,则,
      则,即,
      解得,故D错误.
      故选:AC
      11. 如图,长方形ABCD中,,点P是线段AD上的一点,点E,F分别为线段PB,PC上的动点,且,点M,N分别为线段BC,EF的中点,则下列说法正确的是( )
      A. 的最小值为
      B.
      C. 若,则的最小值为
      D. 若,则的最小值为
      【答案】ACD
      【解析】以B为坐标原点,BC,BA所在的直线分别为x轴,y轴,建立平面直角坐标系,
      如图所示,则,,
      设,所以,
      所以,所以.的最小值为-3,此时,A正确;
      因为,
      所以,B错误;因为,,
      所以,
      所以,
      当时,,所以,
      当且仅当时,等号成立,所以的最小值为,故C正确;
      因为,若,
      则,
      所以,即,当且仅当即时,等号成立,
      所以,即的最小值是,D正确.
      故选:ACD
      三、填空题:本题共3小题,每小题5分,共15分.
      12. 已知i是虚数单位,则______.
      【答案】
      【解析】由的周期性可得,,
      故答案为:
      13. 已知非零向量夹角为,且,则在上的投影向量为______.
      【答案】
      【解析】由题知,
      所以在上的投影向量为.
      故答案为:
      14. 如图,某幼儿园计划在一个两面靠墙的角落规划一个三角形活动区域(即区域),地面形状如图所示.已知点M,N分别在AB,BC上,,则最长为______m.
      【答案】140
      【解析】在中,
      由余弦定理,得,
      所以.
      在中,由余弦定理得,
      所以,
      当且仅当时等号成立,所以.故答案为:
      四,解答题:本题共5小题,共77分.解答应写出文字说明,证明过程或演算步骤.
      15. 已知复数z满足.
      (1)求复数z;
      (2)若复数在复平面内对应的点位于第三象限,求实数m的取值范围.
      解(1):令且,则,
      所以,则解得
      所以.
      (2)由,得,
      故在复平面内对应的点位于第三象限,则
      解得,即实数m的取值范围为.
      16. 已知向量.
      (1)若,求实数k的值;
      (2)若与的夹角为钝角,求实数k的取值范围.
      解:(1)因为,
      所以.
      因为,则,
      所以,解得.
      (2)由(1)知,
      所以.
      因为与的夹角为钝角,
      所以,且与不共线.
      即,解得且,
      所以实数k的取值范围是.
      17. 已知在锐角中,内角A,B,C的对边分别是.
      (1)求C;
      (2)若,求的周长.
      解:(1)由及正弦定理,得.
      而,所以.
      又为锐角三角形,所以,所以
      (2)由正弦定理,
      得.因为,所以.由余弦定理得,即,
      所以,所以,故,
      所以的周长为.
      18. 如图,在平行四边形ABCD中,Q是线段BC上的动点,且满足,P是CD的中点,设.
      (1)用向量表示向量;
      (2)设.
      ①求的值;
      ②求的面积.
      解:(1)因为P是CD中点,所以,
      得.
      由, 得 ,
      又由向量减法,得 .
      (2) eq \\ac(○,1)由,得,
      则,


      又,所以,故,解得(舍去)或,所以. eq \\ac(○,2)由 eq \\ac(○,1)知,,
      所以的面积.
      19. 已知内角A,B,C的对边分别为.
      (1)求A;
      (2)若,求的值;
      (3)设点O为的外接圆圆心,M是BC的中点,,若,求的值.
      解:(1)由及正弦定理,
      得,
      即.
      因为,
      所以,
      因为,所以.因为,所以.
      (2)由余弦定理知,所以,
      由正弦定理及,得,所以,
      所以.
      (3)因为M是BC的中点,所以,两边平方得,
      则,即.令边AB,AC的中点分别为E,F,如图,
      由点O为的外接圆圆心,得,


      所以.

      相关试卷 更多

      资料下载及使用帮助
      版权申诉
      • 1.电子资料成功下载后不支持退换,如发现资料有内容错误问题请联系客服,如若属实,我们会补偿您的损失
      • 2.压缩包下载后请先用软件解压,再使用对应软件打开;软件版本较低时请及时更新
      • 3.资料下载成功后可在60天以内免费重复下载
      版权申诉
      若您为此资料的原创作者,认为该资料内容侵犯了您的知识产权,请扫码添加我们的相关工作人员,我们尽可能的保护您的合法权益。
      入驻教习网,可获得资源免费推广曝光,还可获得多重现金奖励,申请 精品资源制作, 工作室入驻。
      版权申诉二维码
      欢迎来到教习网
      • 900万优选资源,让备课更轻松
      • 600万优选试题,支持自由组卷
      • 高质量可编辑,日均更新2000+
      • 百万教师选择,专业更值得信赖
      微信扫码注册
      手机号注册
      手机号码

      手机号格式错误

      手机验证码 获取验证码 获取验证码

      手机验证码已经成功发送,5分钟内有效

      设置密码

      6-20个字符,数字、字母或符号

      注册即视为同意教习网「注册协议」「隐私条款」
      QQ注册
      手机号注册
      微信注册

      注册成功

      返回
      顶部
      学业水平 高考一轮 高考二轮 高考真题 精选专题 初中月考 教师福利
      添加客服微信 获取1对1服务
      微信扫描添加客服
      Baidu
      map