搜索
      上传资料 赚现金

      山西省太原市某校2024-2025学年高一下学期3月月考数学试题(解析版)

      • 854.48 KB
      • 2025-03-18 10:48:07
      • 60
      • 0
      • 教辅之家
      加入资料篮
      立即下载
      山西省太原市某校2024-2025学年高一下学期3月月考数学试题(解析版)第1页
      1/13
      山西省太原市某校2024-2025学年高一下学期3月月考数学试题(解析版)第2页
      2/13
      山西省太原市某校2024-2025学年高一下学期3月月考数学试题(解析版)第3页
      3/13
      还剩10页未读, 继续阅读

      山西省太原市某校2024-2025学年高一下学期3月月考数学试题(解析版)

      展开

      这是一份山西省太原市某校2024-2025学年高一下学期3月月考数学试题(解析版),共13页。试卷主要包含了单选题.,多选题.,填空题.,解答题.等内容,欢迎下载使用。
      一、单选题(8小题,共32分.在每小题给出的四个选项中只有一项是符合题目要求的).
      1. 已知集合,,则( )
      A. B. C. D.
      【答案】C
      【解析】由可得,
      故.
      故选:C.
      2. 已知函数,若为奇函数,则的值为( )
      A. -2B. -1C. 0D. 1
      【答案】D
      【解析】因为为定义在上的奇函数,
      所以,解得,则,
      因为,
      所以为奇函数,
      所以符合题意.
      故选:D.
      3. 已知向量,,若,则( )
      A. 2B. C. D.
      【答案】B
      【解析】由题得,,
      由得,,解得.
      故选:B.
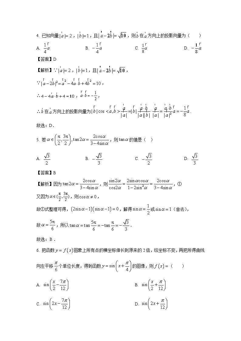
      4. 已知向量,,且,则在方向上的投影向量为( )
      A. B. C. D.
      【答案】D
      【解析】∵,,且,
      ∵,
      ∴,,
      ∴在方向上的投影向量为.
      故选:D.
      5. 若,则的值是( )
      A. B. C. D.
      【答案】B
      【解析】因为,则,①
      又因为,则,
      故①式整理可得,,解得或(舍去),
      故,所以.
      故选:.
      6. 把函数图象上所有点的横坐标伸长到原来的2倍,纵坐标不变,再把所得曲线向左平移个单位长度,得到函数的图像,则( )
      A. B.
      C. D.
      【答案】D
      【解析】向右平移个单位长度得到,
      然后所有点的横坐标缩短到原来的倍得到,
      所以.
      故选:D.
      7. 已知△ABC是边长为1的正三角形,是BN上一点且,则( )
      A. B. C. D. 1
      【答案】A
      【解析】由,得,且,
      而三点共线,则,即,
      所以,
      所以.
      故选:A.
      8. “奔驰定理”因其几何表示酷似奔驰的标志得来,是平面向量中一个非常优美的结论.奔驰定理与三角形四心(重心、内心、外心、垂心)有着神秘的关联.它的具体内容是:已知是内一点,的面积分别为,且.以下命题错误的是( )
      A. 若,则为的重心
      B. 若为的内心,则
      C. 若,为的外心,则
      D. 若为的垂心,,则
      【答案】C
      【解析】对于A:取的中点D,连接,
      由,则,
      所以,
      所以A,M,D三点共线,且,
      设E,F分别为AB,AC的中点,同理可得,,
      所以为的重心,故A正确;
      对于B:由为的内心,则可设内切圆半径为,
      则有,
      所以,
      即,故B正确;
      对于C:由为的外心,则可设的外接圆半径为,
      又,
      则有,
      所以,


      所以,故C错误;
      对于D:如图,延长交于点D,延长交于点F,延长交于点E,
      由为的垂心,,则,
      又,则,,
      设,则,
      所以,即,
      所以,所以,故D正确.
      故选:C.
      二、多选题(多项选择题:本题共3小题,每小题6分,共18分. 全部选对的得6分,部分选对的得2,3,4分,有选错的得0分,每题有两个或两个以上是符合题目要求).
      9. 设向量,则下列说法错误的是( )
      A. 若与的夹角为钝角,则
      B. 的最小值为9
      C. 与共线的单位向量只有一个,为
      D. 若,则
      【答案】BC
      【解析】A选项,与的夹角为钝角,故且不反向共线,
      则且,解得且,
      综上,,A正确;
      B选项,,当且仅当时,等号成立,故的最小值为3,B错误;
      C选项,,与共线的单位向量有2个,
      为,C错误;
      D选项,若,则,解得,D正确.
      故选:BC.
      10. 下列说法正确的是( )
      A. 命题“,都有”的否定为“,使得”
      B. 函数单调递增区间是
      C. “”是“函数在区间单调递增”的充分不必要条件
      D. 不等式对任意恒成立,则实数的取值范围是
      【答案】AC
      【解析】对于A选项,命题“,都有”的否定为“,使得”,故A正确;
      对于B选项,函数是由函数和复合而成,
      由于函数单调递增,解得,
      所以函数的单调递增区间为,
      故函数单调递增区间是,故B错误;
      对于C选项,因为,
      所以,函数的增区间为,
      若函数在区间单调递增,则,可得,
      因为,
      所以,“”是“函数在区间单调递增”的充分不必要条件,故C正确;
      对于D选项,不等式对任意恒成立,
      当时恒成立,合乎题意,
      当时,则有,解得,
      因此,不等式对任意恒成立,则实数的取值范围是,故D错误,
      故选:AC.
      11. 窗花是贴在窗户上的剪纸,是中国古老的传统民间艺术之一,图1是一个正八边形窗花隔断,图2是从窗花图中抽象出的几何图形的示意图.已知正八边形ABCDEFGH的边长为是正八边形边上任意一点,则( )
      A. 与能构成一组基底
      B.
      C. 在向量上的投影向量为
      D. 若在线段(包括端点)上,且,则取值范围
      【答案】BCD
      【解析】连接AF,因为°,,
      因为,现,
      故.
      以AB所在直线为x轴,AF所在直线为y轴,建立平面直角坐标系.
      则,
      ,且,
      故,
      故,
      所以与平行,不能构成一组基底,错误;

      ,故,B正确;
      又,所以,
      即在向量上的投影向量为,C正确;
      若在线段(包括端点)上,设,
      所以,
      ,,
      由,可得,则,
      所以,D正确.
      故选:BCD.
      三、填空题(共3小题,每小题4分,共12分).
      12. 已知函数的图象恒过定点.若点在幂函数的图象上,则______.
      【答案】
      【解析】令,解得,此时,
      所以指数函数的图象恒过定点;
      因为点在幂函数的图象上,所以,解得,
      所以,所以.
      13. 已知,,点在线段的延长线上,且,则点的坐标是_______.
      【答案】
      【解析】设点为坐标原点,
      点在线段的延长线上,且,,
      即,.
      点的坐标为.
      14. 已知函数,则不等式的解集是___________.
      【答案】
      【解析】由,得,显然上式都成立,
      所以函数定义域为.
      由,


      所以,所以是奇函数,
      当时,,和在上是增函数,
      所以在上是增函数,
      又因为是奇函数,所以可得是上的增函数.
      所以可转化为,即,
      所以,解得.故原不等式的解集是.
      四、解答题(共4小题,共38分,解答应写出文字说明,证明过程或演算步骤).
      15. 已知,,且.
      (1)求的最大值;
      (2)求的最小值.
      解:(1)由,得,当且仅当时,等号成立.
      故的最大值是3.
      (2)由,得,即.

      当且仅当,即,时,等号成立.
      故的最小值为.
      16. 已知为坐标原点,,,.
      (1)若三点共线,求实数的值;
      (2)若点满足,求的最小值.
      解:(1)因为,,,
      所以,,
      又三点共线,所以,
      所以,解得.
      (2)因为,,
      所以,,
      所以,
      所以,
      所以当时.
      17. 已知向量,,.
      (1)求函数的单调递增区间;
      (2)当时,求函数值域.
      解:(1)因为,,
      所以

      令,解得,
      所以的单调递增区间为.
      (2)当时,,
      所以,则,
      所以函数在上的值域为.
      18. 已知函数是偶函数.
      (1)求实数k的值;
      (2)求的最小值;
      (3)若不等式对任意恒成立,求实数的取值范围.
      解:(1)函数的定义域为,
      因为偶函数,所以,
      即,解得,
      此时函数的定义域为,
      且,
      所以为偶函数,符合题意,
      所以.
      (2)由(1)可得,
      因为,,所以,
      当且仅当,即时等号成立;
      所以,
      即的最小值为,当时取得最小值.
      (3)由(1)可得,
      则,
      由不等式对任意恒成立,
      即不等式对任意恒成立,
      令,则,,
      所以不等式对任意恒成立,
      所以对任意恒成立,
      因为函数在上单调递增,所以当时取得最小值,
      所以,即实数的取值范围为.

      相关试卷 更多

      资料下载及使用帮助
      版权申诉
      • 1.电子资料成功下载后不支持退换,如发现资料有内容错误问题请联系客服,如若属实,我们会补偿您的损失
      • 2.压缩包下载后请先用软件解压,再使用对应软件打开;软件版本较低时请及时更新
      • 3.资料下载成功后可在60天以内免费重复下载
      版权申诉
      若您为此资料的原创作者,认为该资料内容侵犯了您的知识产权,请扫码添加我们的相关工作人员,我们尽可能的保护您的合法权益。
      入驻教习网,可获得资源免费推广曝光,还可获得多重现金奖励,申请 精品资源制作, 工作室入驻。
      版权申诉二维码
      欢迎来到教习网
      • 900万优选资源,让备课更轻松
      • 600万优选试题,支持自由组卷
      • 高质量可编辑,日均更新2000+
      • 百万教师选择,专业更值得信赖
      微信扫码注册
      手机号注册
      手机号码

      手机号格式错误

      手机验证码 获取验证码 获取验证码

      手机验证码已经成功发送,5分钟内有效

      设置密码

      6-20个字符,数字、字母或符号

      注册即视为同意教习网「注册协议」「隐私条款」
      QQ注册
      手机号注册
      微信注册

      注册成功

      返回
      顶部
      学业水平 高考一轮 高考二轮 高考真题 精选专题 初中月考 教师福利
      添加客服微信 获取1对1服务
      微信扫描添加客服
      Baidu
      map