若您为此资料的原创作者,认为该资料内容侵犯了您的知识产权,请扫码添加我们的相关工作人员,我们尽可能的保护您的合法权益。
还剩2页未读,
继续阅读
所属成套资源:2024-2025学年高一下学期开学考、月考数学试题
成套系列资料,整套一键下载
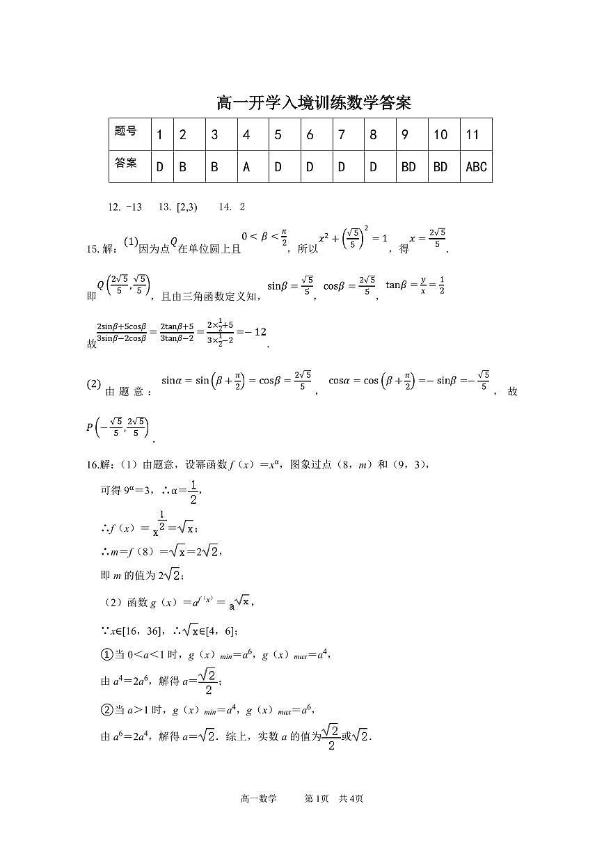
广东实验中学2024-2025学年高一下学期开学考试数学
展开
这是一份广东实验中学2024-2025学年高一下学期开学考试数学,共32页。
相关试卷
广东实验中学2024-2025学年高一下学期开学考试数学试卷:
这是一份广东实验中学2024-2025学年高一下学期开学考试数学试卷,共4页。
广东实验中学2024-2025学年高一下学期期中考试数学试题(含答案):
这是一份广东实验中学2024-2025学年高一下学期期中考试数学试题(含答案),共10页。
广东省广州市广东实验中学2024-2025学年高一下学期开学考试数学试卷(含答案):
这是一份广东省广州市广东实验中学2024-2025学年高一下学期开学考试数学试卷(含答案),共8页。
相关试卷 更多
资料下载及使用帮助
版权申诉
- 1.电子资料成功下载后不支持退换,如发现资料有内容错误问题请联系客服,如若属实,我们会补偿您的损失
- 2.压缩包下载后请先用软件解压,再使用对应软件打开;软件版本较低时请及时更新
- 3.资料下载成功后可在60天以内免费重复下载
版权申诉
免费领取教师福利

