所属成套资源:重庆市万州二中2024-2025学年高一下学期3月月考各学科试题(Word版附答案)
重庆市万州二中2024-2025学年高一下学期3月月考数学试题(Word版附解析)
展开
这是一份重庆市万州二中2024-2025学年高一下学期3月月考数学试题(Word版附解析),文件包含高2024级高一下第一次月考数学试题docx、1_1_高2024级高一下第一次月考数学试题答案及解析docx、数学答题卡pdf等3份试卷配套教学资源,其中试卷共16页, 欢迎下载使用。
(总分:150分; 时间:120分钟)
第I卷(选择题)
一、单选题:本题共8小题,每小题5分,共40分。在每小题给出的选项中,只有一项是符合题目要求的。
1.复数21−i(i为虚数单位)的共轭复数是( )
A. 1+iB. 1−iC. −1+iD. −1−i
2.已知向量a=n,2,b=−1,2n−4,则“n=1”是“a//b”的( )
A. 充分不必要条件B. 必要不充分条件
C. 充要条件D. 既不充分也不必要条件
3.已知点A(1,0),B(0,2),C(3,2),则AB在AC上的投影向量的坐标为( )
A. (12,12)B. (12,−12)C. (−12,12)D. (−12,−12)
4.ΔABC中,三边之比a:b:c=2:3:4,则sinA−2sinBsinC等于( )
A. 12B. −12 C. 1 D. −1
5.在ΔABC中,已知sin2A+sin2C+cs2B=sinCsinA+1,且满足ABAB+ACAC= 3,则ΔABC的形状是( )
A. 等腰三角形B. 直角三角形 C. 等边三角形 D. 等腰直角三角形
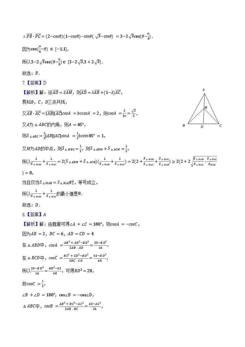
6.在ΔABC中,AB=2,cs(A−B)cs(B−C)cs(C−A)=1,P为ΔABC所在平面内的动点,且
PA=1,则PB⋅PC的取值范围是( )
A. [−32,92] B. [3−2 3,3+2 3] C.[−12,112] D. [3− 3,3+ 3]
7.已知M是ΔABC内的一点,2AM=λAB+(1−λ)AC,λ∈R且bc=2 2,AB⋅AC=2,则1S△MAB+1S△MAC的最小值是( )
A. 1B. 2C. 4D. 8
8.如图所示,已知在四边形ABCD中,AB=2,BC=6,AD=CD=4,且点A,B,C,D共圆,点M,N分别是AD和BC的中点,则MN⋅BC的值为( )
A. 367 B. −367 C. 487 D. −487
二、多选题:本题共3小题,共18分。在每小题给出的选项中,有多项符合题目要求。
9.已知复数z1=2+3i,z2=3−4i,z1,z2在复平面内对应的点分别为Z1,Z2,则( )
A. |z1+z2|=|z1|+|z2|
B. |Z1Z2|=5 2
C. 满足|z|=|z2|的复数z对应的点Z形成的图形的周长是10π
D. 满足|z1|
相关试卷
这是一份重庆市万州二中2024-2025学年高一下学期期中考试 数学 Word版含答案含答案解析,文件包含高2024级高一下期中期考试数学试题评分细则docx、高2024级高一下期中期考试数学试题docx、高2024级高一下期中期考试数学答题卡pdf等3份试卷配套教学资源,其中试卷共13页, 欢迎下载使用。
这是一份重庆市万州二中2024-2025学年高一下学期期中考试数学试卷(Word版附答案),文件包含高2024级高一下期中期考试数学试题评分细则docx、高2024级高一下期中期考试数学试题docx、高2024级高一下期中期考试数学答题卡pdf等3份试卷配套教学资源,其中试卷共13页, 欢迎下载使用。
这是一份重庆市万州第二高级中学2024-2025学年高一下学期3月月考数学试题(Word版附解析),文件包含重庆市万州第二高级中学2024-2025学年高一下学期3月月考试题数学试题原卷版docx、重庆市万州第二高级中学2024-2025学年高一下学期3月月考试题数学试题Word版含解析docx等2份试卷配套教学资源,其中试卷共25页, 欢迎下载使用。
相关试卷 更多
- 1.电子资料成功下载后不支持退换,如发现资料有内容错误问题请联系客服,如若属实,我们会补偿您的损失
- 2.压缩包下载后请先用软件解压,再使用对应软件打开;软件版本较低时请及时更新
- 3.资料下载成功后可在60天以内免费重复下载
免费领取教师福利

