搜索
      上传资料 赚现金

      重庆市万州二中2024-2025学年高一下学期期中考试 数学 Word版含答案含答案解析

      • 843.41 KB
      • 2025-06-16 13:41:35
      • 48
      • 0
      • 教习网5623548
      加入资料篮
      立即下载
      查看完整配套(共3份)
      包含资料(3份) 收起列表
      练习
      高2024级高一下期中期考试数学试题评分细则.docx
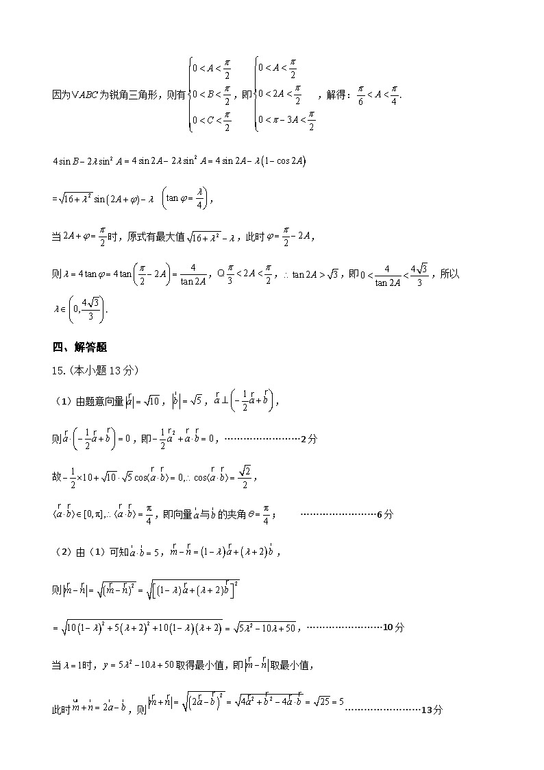
      预览
      练习
      高2024级高一下期中期考试数学试题.docx
      预览
      练习
      高2024级高一下期中期考试数学答题卡.pdf
      预览
      正在预览:高2024级高一下期中期考试数学试题评分细则.docx
      高2024级高一下期中期考试数学试题评分细则第1页
      高清全屏预览
      1/7
      高2024级高一下期中期考试数学试题评分细则第2页
      高清全屏预览
      2/7
      高2024级高一下期中期考试数学试题评分细则第3页
      高清全屏预览
      3/7
      高2024级高一下期中期考试数学试题第1页
      高清全屏预览
      1/4
      高2024级高一下期中期考试数学试题第2页
      高清全屏预览
      2/4
      高2024级高一下期中期考试数学答题卡第1页
      高清全屏预览
      1/2
      还剩4页未读, 继续阅读

      重庆市万州二中2024-2025学年高一下学期期中考试 数学 Word版含答案含答案解析

      展开

      这是一份重庆市万州二中2024-2025学年高一下学期期中考试 数学 Word版含答案含答案解析,文件包含高2024级高一下期中期考试数学试题评分细则docx、高2024级高一下期中期考试数学试题docx、高2024级高一下期中期考试数学答题卡pdf等3份试卷配套教学资源,其中试卷共13页, 欢迎下载使用。
      一、单项选择题(本题共8个小题,每小题5分,共40分,在每小题给出的四个选项中,只有一项是符合题目要求的)
      1.若复数,则=
      A.2B.C.10D.
      2.已知平面向量=(1,3),=(2,﹣1),若⊥(+λ),则实数λ的值为
      A.10B.8C.5.D.3
      3.用斜二测画法画水平放置的的直观图,得到如图所示的等腰直角三角形,已知点是斜边的中点,且=2,则的面积为
      A. B. C. D.
      4.下列说法正确的是
      A.若空间四点共面,则其中必有三点共线
      B.若空间四点中任意三点不共线,则此四点共面
      C.若空间四点中任意三点不共线,则此四点不共面
      D.若空间四点不共面,则任意三点不共线
      5.在梯形ABCD中,,,,.若点P在线段BC上,则的最小值是
      A. B.4 C.8 D.
      6.如图,已知圆台形水杯盛有水(不计厚度),杯口的半径为4,杯底的半径为3,高为6.5,当杯底水平放置时,水面的高度为水杯高度的一半,若放入一个半径为r的球(球被完全浸没),水恰好充满水杯,则r=
      A.1.5 B.2 C.3 D.3.25
      7.已知正方体的棱长为2,点P在正方体的内切球表面上运动,且满足平面,则的最小值为
      A. B. C. D.
      8.在锐角中,角A,B,C的对边分别为a,b,c,S为的面积,且,则的取值范围为
      A. B. C. D.
      二、多项选择题(本题共3个小题,每小题6分,共18分;在每小题给出的四个选项中,有多项符合题目要求,全部选对得6分,部分选对得部分分,有错选得0分)
      9.已知z1,z2均为复数,且z2≠0,则下列结论正确的是
      A.若z1z2=0,则z1=0 B.若,则z1+z2是实数
      C.若,则z1是纯虚数 D.若,则z1=z2
      10.在△ABC中,a,b,c分别是角A,B,C的对边,其外接圆半径为R,内切圆半径为,满足,△ABC的面积,则
      A. B.
      C. D.
      11.如图1,扇形ABC的弧长为24π,半径为,线段AB上有一动点M,弧AB上一点N是弧的三等分点,现将该扇形卷成以A为顶点的圆锥,使得AB和AC重合,则在图2的圆锥中( )
      A.圆锥的表面积为
      B.当M为AB中点时,线段MN的长为
      C.存在M,使得MN⊥AB
      D.
      三、填空题(本题共3个小题,每小题5分,共15分)
      12.已知向量与的夹角为,且,,则在上的投影向量为
      13.18世纪英国数学家辛卜森推导出了现在中学数学教材中柱、锥、球、台等几何体的统一体积公式)(其中分别为的高、上底面面积、中截面面积、下底面面积),我们也称为“万能求积公式”.例如,已知球的半径为,可得该球的体积为;已知正四棱锥的底面边长为,高为,可得该正四棱锥的体积为.类似地,运用该公式求解下列问题:如图,已知球的表面积为,若用距离球心都为的两个平行平面去截球,则夹在这两个平行平面之间的几何体的体积为 .
      14.锐角的内角所对边分别是且,若变化时,存在最大值,则正数的取值范围
      四、解答题(本题共5个小题,共77分,解答应写出文字说明,证明过程或演算步骤)
      15.(本小题13分)
      已知向量,,.
      (1)求向量与的夹角的大小;
      (2)若向量,(),当取得最小值时,求.
      16.(本小题15分)
      如图,正方体ABCD﹣A1B1C1D1的棱长为3,点E在棱AA1上,点F在棱CC1上,点G在棱BB1上,且AE=C1F=B1G=1,点H是棱B1C1中点.
      (1)求证:E,B,F,D1四点共面;
      (2)求证:平面A1GH∥平面BED1F.
      17.(本小题15分)
      已知分别是对边,且.点为三角形内部一点,且满足.
      (1)求角;
      (2)若,求的值;
      18.(本小题17分)
      现有一几何体由上、下两部分组成,上部是正四棱锥P﹣A1B1C1D1,下部是正四棱柱
      ABCD﹣A1B1C1D1(如图所示),且正四棱柱的高O1O是正四棱锥的高PO1的4倍.
      (1)若AB=6,PO1=2,求该几何体的体积.
      (2)若正四棱锥的侧棱长为6,PO1=2.
      (i)求正四棱锥P﹣A1B1C1D1的侧面积.
      (ii)若Q,N分别是线段A1B1,PB1上的动点,求AQ+QN+NC1的最小值.
      19.(本小题17分)
      在中,,,对应的边分别为,,,.
      (1)求;
      (2)若为边中点,,求的最大值;
      (3)奥古斯丁·路易斯·柯西(Augustin Luis Cauchy,1789年-1857年),.法国著名数学家,柯西在数学领域有非常高的造诣,很多数学的定理和公式都以他的名字来命名,如柯西不等式、柯西积分公式.其中柯西不等式在解决不等式证明的有关问题中有着广泛的应用.现在,在(1)的条件下,若,P是内一点,过P作AB,BC,AC垂线,垂足分别为D,E,F,借助于三维分式型柯西不等式:,,,,当且仅当时等号成立.求的最小值.

      相关试卷 更多

      资料下载及使用帮助
      版权申诉
      • 1.电子资料成功下载后不支持退换,如发现资料有内容错误问题请联系客服,如若属实,我们会补偿您的损失
      • 2.压缩包下载后请先用软件解压,再使用对应软件打开;软件版本较低时请及时更新
      • 3.资料下载成功后可在60天以内免费重复下载
      版权申诉
      若您为此资料的原创作者,认为该资料内容侵犯了您的知识产权,请扫码添加我们的相关工作人员,我们尽可能的保护您的合法权益。
      入驻教习网,可获得资源免费推广曝光,还可获得多重现金奖励,申请 精品资源制作, 工作室入驻。
      版权申诉二维码
      欢迎来到教习网
      • 900万优选资源,让备课更轻松
      • 600万优选试题,支持自由组卷
      • 高质量可编辑,日均更新2000+
      • 百万教师选择,专业更值得信赖
      微信扫码注册
      手机号注册
      手机号码

      手机号格式错误

      手机验证码 获取验证码 获取验证码

      手机验证码已经成功发送,5分钟内有效

      设置密码

      6-20个字符,数字、字母或符号

      注册即视为同意教习网「注册协议」「隐私条款」
      QQ注册
      手机号注册
      微信注册

      注册成功

      返回
      顶部
      学业水平 高考一轮 高考二轮 高考真题 精选专题 初中月考 教师福利
      添加客服微信 获取1对1服务
      微信扫描添加客服
      Baidu
      map