所属成套资源:2025高考数学一轮复习课件专辑
2025高考数学一轮复习-数列中的奇偶项、放缩问题【课件】
展开
这是一份2025高考数学一轮复习-数列中的奇偶项、放缩问题【课件】,共25页。PPT课件主要包含了题型一奇偶项问题,感悟提升,题型二放缩问题,课时分层精练等内容,欢迎下载使用。
1.数列中的奇偶项问题是对一个数列分成两个新数列进行单独研究,利用新数列的特征(等差、等比数列或其他特征)求解原数列. 2.证明数列不等式,有时需要应用放缩法结合数列的求和解决,求解的方法有先放缩再求和或先求和再放缩.
角度1 含有(-1)n的类型例1 已知bn=(-1)nn2,求数列{bn}的前n项和Tn.
解 ∵bn=(-1)nn2,∴Tn=b1+b2+…+bn=-12+22-32+42-…+(-1)n·n2,当n为偶数时,
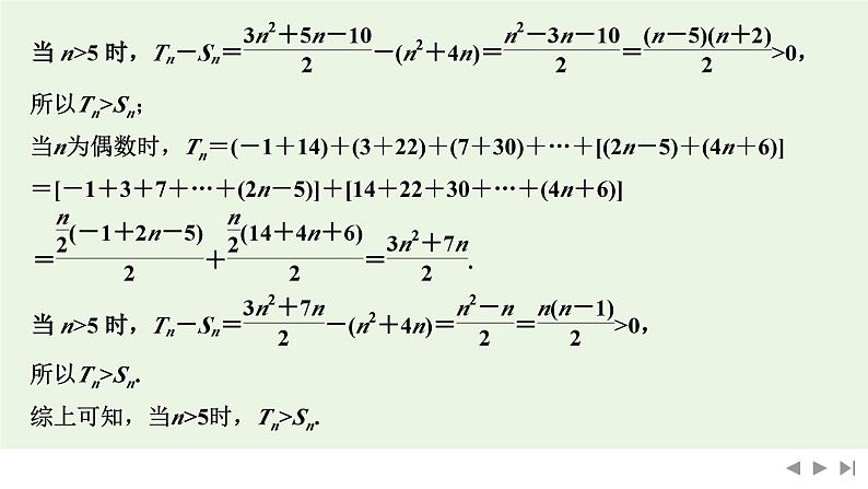
当n为奇数时,Tn=(-1+14)+(3+22)+(7+30)+…+[(2n-7)+(4n+2)]+2n-3=[-1+3+7+…+(2n-7)+(2n-3)]+[14+22+30+…+(4n+2)]
所以Tn>Sn;当n为偶数时,Tn=(-1+14)+(3+22)+(7+30)+…+[(2n-5)+(4n+6)]=[-1+3+7+…+(2n-5)]+[14+22+30+…+(4n+6)]
所以Tn>Sn.综上可知,当n>5时,Tn>Sn.
1.含有(-1)n的数列求和问题一般采用分组(并项)法求和;2.对于通项公式奇、偶项不同的数列{an}求Sn时,我们可以分别求出奇数项的和与偶数项的和,也可以先求出S2k,再利用S2k-1=S2k-a2k,求S2k-1.
训练1 (2024·青岛模拟)已知递增等比数列{an}的前n项和为Sn,且S3=13,a=3a4,等差数列{bn}满足b1=a1,b2=a2-1.(1)求数列{an}和{bn}的通项公式;
解 设等比数列{an}的公比为q,
所以an=a1·qn-1=3n-1,所以b1=a1=1,b2=a2-1=2,所以等差数列{bn}的公差为1,故bn=1+(n-1)×1=n.
所以c2n-1+c2n=-(2n-1)·32n-1+2n·32n-1=32n-1=a2n,所以T20=c1+c2+c3+c4+…+c19+c20=(c1+c2)+(c3+c4)+…+(c19+c20)
先对通项进行化简变形,再对数列求和(可以等差、等比数列求和、错位相减、分组求和、倒序相加、裂项相消求和等),再对最后的和进行放缩,完成解题目标.
解得x=2k+1(k∈Z),所以方程|f(x)|=2的正数解从小到大依次为1,3,5,7,…,所以an=2n-1.
KESHIFENCENGJINGLIAN
2.设cn=(-1)n+1(2n-1),求数列{cn}的前n项和Sn.
解 当n为偶数时,Sn=(21-1)-(22-1)+(23-1)-(24-1)+…+(2n-1-1)-(2n-1)
解 因为{an}是等比数列,公比q≠-1,则a4=a1q3,a5=a1q4,a7=a1q6,a8=a1q7,
当n为偶数时,Tn=b1+b2+…+bn=(b1+b3+…+bn-1)+(b2+b4+…+bn)=-(1+3+…+n-1)+(32+34+…+3n)
化简得an-an-1=2,∴数列{an}是以1为首项,2为公差的等差数列.所以an=1+2(n-1)=2n-1.
相关课件
这是一份2025高考数学一轮复习-第6章-第6节 数列中的奇偶项、子数列问题【课件】,共26页。PPT课件主要包含了CONTENTS,考点聚焦突破,考点一奇偶项问题,感悟提升,考点二子数列问题,课时分层精练等内容,欢迎下载使用。
这是一份2025届高考数学二轮总复习专题3数列培优拓展9数列中的奇偶项问题课件,共16页。
这是一份新高考数学一轮复习专题六数列微专题一数列中的奇偶项问题课件,共12页。

