所属成套资源:【高考二轮】2025年高考数学二轮复习课件+练习
2025届高中数学二轮复习 板块三 数列 提优点8 数列中的放缩问题(课件+练习)
展开
这是一份2025届高中数学二轮复习 板块三 数列 提优点8 数列中的放缩问题(课件+练习),文件包含提优点8数列中的放缩问题pptx、提优点8数列中的放缩问题docx等2份课件配套教学资源,其中PPT共35页, 欢迎下载使用。
类型一 先求和再放缩证明不等式
类型二 先放缩通项再求和证明不等式
类型三 通项放缩与求值
对于数列和的不等式,若和易求,一般先求和,再放缩证明.
(2024·沈阳模拟)已知数列{an}满足a1+2a2+…+nan=(n-1)·2n+1+2.(1)求{an}的通项公式;
由题意可知,当n=1时,a1=2;当n≥2时,由a1+2a2+…+nan=(n-1)·2n+1+2得,a1+2a2+…+(n-1)an-1=(n-2)·2n+2,两式作差可得,nan=(n-1)·2n+1-(n-2)·2n=n·2n,∴an=2n,a1=2也适合该式,故an=2n.
此类不等式一般另一端为常数,求和以后常利用去项放缩或利用函数的单调性放缩.
若数列和的不等式不易求和,一般先适当放缩通项,然后累加求和.
(2024·丽水调研)设数列{an}的前n项和为Sn,a1=1,2Sn=n2+n(n∈N*).(1)求数列{an}的通项公式;
因为2Sn=n2+n,①当n≥2时,2Sn-1=(n-1)2+n-1,②所以①-②得到2an=n2+n-(n-1)2-(n-1)=2n,即an=n,又a1=1,满足an=n,所以an=n.
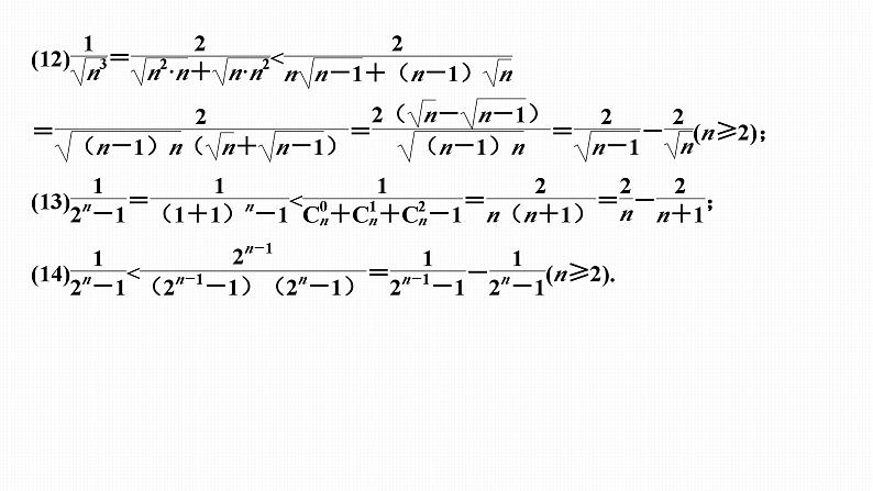
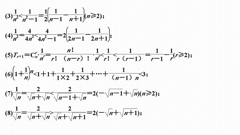
此类题型关键是如何放缩数列的通项,需要熟悉常见的放缩技巧及结论.
(1)通项放缩确定新数列;(2)先放缩再求和式子的应用.
1.通项放缩确定新数列注意解相关不等式;2.先放缩再求和式子的应用,应注意考虑所得式子的性质.
2.(2024·重庆诊断)已知数列{an}满足a1=1,a2n+1=a2n+1,a2n=2a2n-1.(1)求数列{an}的通项公式;
将a2n=2a2n-1代入a2n+1=a2n+1中,得a2n+1=2a2n-1+1.下面构造等比数列:令a2n+1-k=2(a2n-1-k),得a2n+1=2a2n-1-k,则-k=1,则k=-1,∴a2n+1+1=2(a2n-1+1),故数列{a2n-1+1}是首项为2,公比为2的等比数列,
相关课件
这是一份2025届高中数学二轮复习 板块三 数列 提优点7 衍生数列问题(课件+练习),文件包含提优点7衍生数列问题pptx、提优点7衍生数列问题docx等2份课件配套教学资源,其中PPT共34页, 欢迎下载使用。
这是一份2025届高中数学二轮复习 板块三 数列 创新点3 数列中的“三新”问题(课件+练习),文件包含创新点3数列中的“三新”问题pptx、创新点3数列中的“三新”问题docx等2份课件配套教学资源,其中PPT共46页, 欢迎下载使用。
这是一份备战2025年高考数学二轮复习课件专题3数列培优拓展(8)数列中的增减项问题,共19页。

