所属成套资源:2025高考数学一轮复习课件专辑
2025高考数学一轮复习-概率与其他知识的交汇【课件】
展开
这是一份2025高考数学一轮复习-概率与其他知识的交汇【课件】,共60页。PPT课件主要包含了题型一概率与统计,感悟提升,题型三概率与数列,课时分层精练等内容,欢迎下载使用。
以能力立意是数学命题的指导思想,在知识网络交汇处设计试题是今后高考的新特点和大方向,与概率交汇的试题正是在这种背景下“闪亮登场”,频频出现在各类考试题中,下面介绍几种常见的概率与其他知识的交汇题型.
角度1 频率分布直方图与概率例1 (12分)为了解决家长接送孩子放学的问题,教育部提出推行课后服务“5+2”模式,即学校每周5天都要开展课后服务,每天至少开展2 h,结束时间要与当地正常下班时间相衔接,且不得利用课后服务时间讲新课.为了课后服务的有序开展,某教育局就课后服务的时长在网络上进行意见征集,并从中随机抽取了100份调查表,以此为样本绘制了如图所示的频率分布直方图:
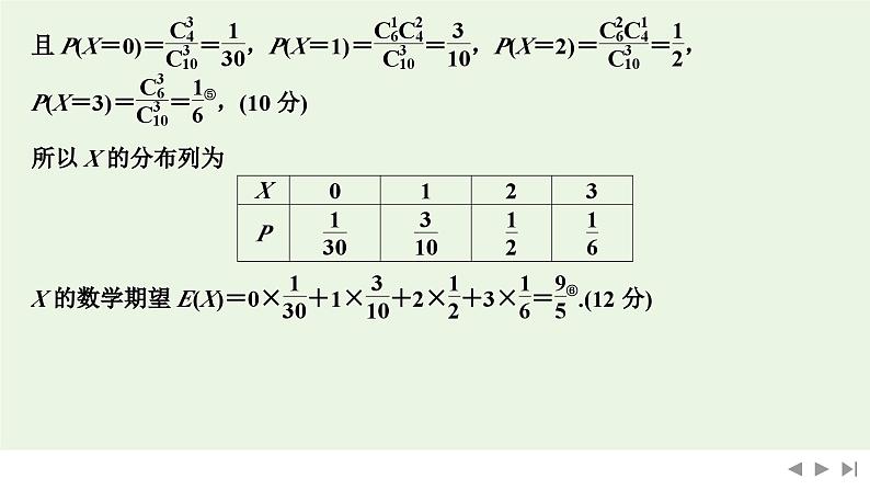
(1)从样本中随机抽取2份调查表,若其中一份调查表所建议的课后服务时长超过200 min,求另一份调查表所建议的课后服务时长也超过200 min的概率;(2)为了进一步了解课后服务时长的需求情况,从样本中建议课后服务时长超过180 min的人中分层抽取10人,再从这10人中任取3人,记建议课后服务时长在[180,200)的人数为X,求X的分布列与数学期望.[思路分析] (1)先根据频率分布直方图求出课后服务时长超过200 min的调查表份数,再设出相关事件并求概率,最后根据条件概率的概率计算公式求解即可;(2)先根据题意及分层随机抽样的知识求出X的所有可能取值,然后求解相应的概率,列出分布列,求得数学期望.
[规范解答] 解 (1)依题意,课后服务时长超过200 min的调查表共有100×(0.007 5+0.002 5)×20=20(份)①,(1分)设事件A为其中一份调查表所建议的课后服务时长超过200 min,事件B为另一份调查表所建议的课后服务时长也超过200 min,
(2)根据题意及分层随机抽样的知识可知,抽取的10人中,建议课后服务时长在[180,200)内的有6人,则X的所有可能取值为0,1,2,3④,(7分)
[满分规则]❶得步骤分①②⑤每列一个式子并计算正确可得1分;❷得关键分③是条件概率公式得2分,④随机变量取值不要多写也不能漏写;❸得计算分⑥正确计算期望可得2分.
(1)在所统计的5个年借阅量中任选2个,记其中低于平均值的个数为X,求X的分布列和数学期望E(X);
所以模型①的残差平方和大于模型②的残差平方和,所以模型②的拟合效果更好.
角度3 独立性检验与概率例3 (2024·广州模拟)某高校为调查学生性别与是否喜欢排球运动的关系,在全校范围内采用简单随机抽样的方法,分别抽取了男生和女生各100名作为样本,经统计,得到了如图所示的等高堆积条形图.
(1)根据等高堆积条形图,填写下列2×2列联表,并依据α=0.001的独立性检验,是否可以认为该校学生的性别与是否喜欢排球运动有关联;
解 由等高堆积条形图知,2×2列联表为
高考常将独立性检验、回归分析等与分布列等交汇在一起进行考查,由频率分布直方图解决相关问题,解题的关键是正确理解频率分布直方图,能利用频率分布直方图正确计算出各组数据.
训练1 (2024·杭州模拟)在杭州亚运会的志愿者选拔工作中,某高校承办了亚运会志愿者选拔的面试工作,面试成绩满分100分,现随机抽取了80名候选者的面试成绩分五组,第一组[45,55),第二组[55,65),第三组[65,75),第四组[75,85),第五组[85,95],绘制成如图所示的频率分布直方图.已知图中从左到右前三个组的频率成等差数列,第一组和第五组的频率相同.
(1)求a,b的值,并估计这80名候选者面试成绩的平均值(同一组中的数据用该组区间的中点值作代表)和中位数(中位数精确到0.1);
解 由题意知20b=10a+0.45,(2a+b+0.065)×10=1,解得a=0.005,b=0.025,所以平均值为50×0.05+60×0.25+70×0.45+80×0.2+90×0.05=69.5,
解 补全2×2列联表:
所以依据小概率值α=0.05的独立性检验,我们推断H0不成立,即认为参加宁波赛区志愿者服务的候选人与性别有关.
解 X的所有可能取值为2,3,4,
题型二 概率与函数、导数
例4 某盒子内装有60个小球(除颜色之外其他完全相同),其中有若干个黑球,其他均为白球.为了估计黑球的数目,设计如下实验:从盒子中有放回地抽取4个球,记录该次所抽取的黑球数目X,作为一次实验结果.进行上述实验共5次,记录下第i次实验中实际抽到黑球的数目xi.已知从该盒子中任意抽取一个球,抽到黑球的概率为p(0
相关课件
这是一份2025高考数学二轮复习-微培优8 概率统计与其他知识交汇的综合问题【课件】,共27页。PPT课件主要包含了B款鲁班锁玩具,Y的分布列为等内容,欢迎下载使用。
这是一份第十章 §10.8 概率、统计与其他知识的交汇问题-【北师大版】2025年高考数学大一轮复习(课件+讲义+练习),文件包含第十章§108概率统计与其他知识的交汇问题-北师大版2025数学大一轮复习课件pptx、第十章§108概率统计与其他知识的交汇问题-北师大版2025数学大一轮复习讲义练习docx、第十章§108概率统计与其他知识的交汇问题-北师大版2025数学大一轮复习讲义教师版docx、第十章§108概率统计与其他知识的交汇问题-北师大版2025数学大一轮复习讲义学生版docx等4份课件配套教学资源,其中PPT共54页, 欢迎下载使用。
这是一份第十章 §10.8 概率、统计与其他知识的交汇问题-2025年新高考数学一轮复习(课件+讲义+练习),文件包含第十章§108概率统计与其他知识的交汇问题pptx、第十章§108概率统计与其他知识的交汇问题教师版docx、第十章§108概率统计与其他知识的交汇问题同步练习docx、第十章§108概率统计与其他知识的交汇问题-2025新高考一轮复习讲义学生版docx等4份课件配套教学资源,其中PPT共55页, 欢迎下载使用。

