2025届高考数学二轮专题复习与测试第一部分板块突破篇板块二数列提升点数列中的子数列课件
展开
这是一份2025届高考数学二轮专题复习与测试第一部分板块突破篇板块二数列提升点数列中的子数列课件,共26页。
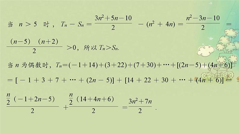
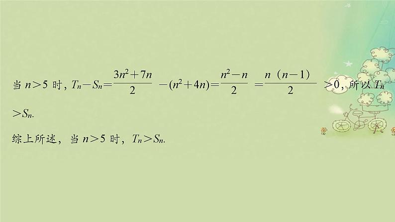
(2)证明:当n>5时,Tn>Sn.
(1)数列中的奇、偶项问题的常见类型①数列中连续两项和或积的问题(an+an+1=f(n) 或an·an+1=f(n));②含有(-1)n的类型;③含有{a2n},{a2n-1}的类型;④已知条件明确的奇偶项问题.(2)对于通项公式分奇、偶项不同的数列{an},求前n项和Sn时,我们可以分别求出奇数项的和与偶数项的和,也可以把a2k-1+a2k看作一项,求出S2k,再求S2k-1=S2k-a2k.
(2)求数列{an}的前2n项和S2n.
类型2 两个数列的公共项问题 已知数列{an}是首项为2,公差为3的等差数列,数列{bn}满足b1=4,bn+1=3bn-2n+1.(1)证明:{bn-n}是等比数列,并求数列{an},{bn}的通项公式;【解】 由题意可得,an=2+(n-1)×3=3n-1(n∈N*). 因为b1=4,bn+1=3bn-2n+1,变形可得,bn+1-(n+1)=3bn-3n=3(bn-n),b1-1=3,故{bn-n}是首项为3,公比为3的等比数列,所以bn-n=3n,即bn=3n+n(n∈N*).
(2)若数列{an}与{bn}中有公共项,即存在k,m∈N*,使得ak=bm成立.按照从小到大的顺序将这些公共项排列,得到一个新的数列,记作{cn},求c1+c2+…+cn的值.
两个等差数列的公共项是等差数列,且公差是两等差数列公差的最小公倍数;两个等比数列的公共项是等比数列,公比是两个等比数列公比的最小公倍数.
已知数列{an}中,a1=1,a3=7,数列{an}的前n项和Sn满足Sn+2+Sn=2Sn+1+3.数列{bn}的前n项和Tn满足Tn=2bn-1.(1)求数列{an},{bn}的通项公式;
解:由Sn+2+Sn=2Sn+1+3,得Sn+2-Sn+1=Sn+1-Sn+3,即an+2-an+1=3,当n=1时,S3+S1=2S2+3⇒a1+a2+a3+a1=2(a1+a2)+3,解得a2=a3-3=4,所以a2-a1=3,故an+1-an=3恒成立,所以数列{an}为等差数列,公差d=3,
故数列{an}的通项公式为an=1+3(n-1)=3n-2.又Tn=2bn-1,①则当n=1时,b1=T1=2b1-1,所以b1=1,当n≥2时,Tn-1=2bn-1-1,②则①-②得,bn=2bn-2bn-1,即bn=2bn-1,所以{bn}是首项为1,公比为2的等比数列,故bn=2n-1.
类型3 分段数列问题 已知数列{an},当n∈[2k-1,2k)时,an=2k,k∈N*,记数列{an}的前n项和为Sn.(1)求a2,a20的值;【解】 当n∈[2k-1,2k)时,an=2k,k∈N*,而2∈[22-1,22),则a2=22=4,又20∈[25-1,25),则a20=25=32,所以a2=4,a20=32.
(2)求使得Sn
相关课件
这是一份2025届高考数学二轮专题复习与测试第一部分板块突破篇板块四概率与统计提升点概率统计中的交汇创新课件,共37页。
这是一份2025届高考数学二轮专题复习与测试第一部分板块突破篇板块三立体几何提升点立体几何中的截面及动态问题课件,共33页。
这是一份2025届高考数学二轮专题复习与测试第一部分板块突破篇板块六函数与导数提升点导数应用中的函数构造课件,共30页。

