2024-2025学黑龙江省佳木斯市年高三上学期第二次月考数学检测试卷
展开
这是一份2024-2025学黑龙江省佳木斯市年高三上学期第二次月考数学检测试卷,共6页。试卷主要包含了 已知函数, 已知,,,则,,的大小关系为, 函数且的图象可能为, 函数在区间上所有零点的和等于, 下列函数中,最小值为2的是, 下列化简正确的是, 已知函数在区间上的最大值为2等内容,欢迎下载使用。
本试卷分选择题部分和非选择题部分.满分150分.考试用时120分钟.
注意事项:
1.答题前,考生务必按要求填写考生信息并在指定位置粘贴条形码.
2.选择题部分,每小题选出答案后,用铅笔把答题卡上对应题目的答案标号涂黑,如需改动,用橡皮擦干净后,再选涂其它答案标号.选择题部分不能答在试题卷上.
3.非选择题部分各题的答案,必须书写在答题卡指定的区域,指定区域外答题不得分.
一、单项选择题:本大题共8小题,每小题5分,共40分.在每小题给出的四个选项中,只有一个选项是正确的.请把正确的选项填涂在答题卡相应的位置上.
1. 已知集合,,则( )
A. 0,2B. 0,2
C. D.
2. 已知,,则( )
A. 3B. C. D.
3. 下列函数中,既是偶函数,又在区间上单调递减的函数是
A B. C. D.
4. 已知函数(且)的图象恒过点,且点在角的终边上,则( )
A. B. C. D.
5. 已知,,,则,,的大小关系为( )
A. B.
C. D.
6. 函数且的图象可能为( )
A. B.
C. D.
7 定义运算,若,则等于
A. B. C. D.
8. 函数在区间上所有零点的和等于( )
A. 2B. 4C. 6D. 8
二、多项选择题:本大题共3小题,每小题6分,共18分.在每小题给出的四个选项中,有多项符合题目要求.全部选对得6分,选对但不全的得部分分,有选错的得0分.
9. 下列函数中,最小值为2的是
A.
B.
C
D.
10. 下列化简正确的是( )
A.
B.
C
D.
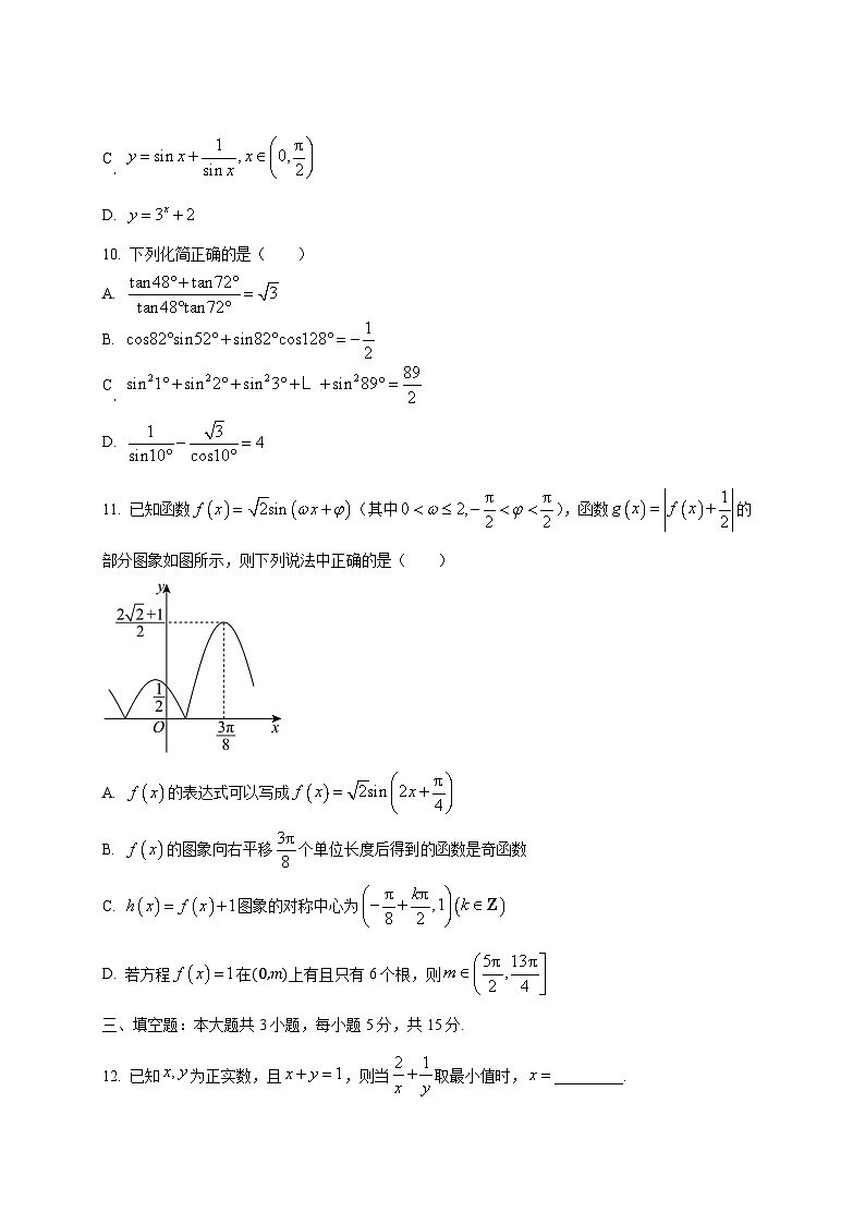
11. 已知函数(其中),函数的部分图象如图所示,则下列说法中正确的是( )
A. 的表达式可以写成
B. 的图象向右平移个单位长度后得到的函数是奇函数
C. 图象的对称中心为
D. 若方程在0,m上有且只有6个根,则
三、填空题:本大题共3小题,每小题5分,共15分.
12. 已知为正实数,且,则当取最小值时,_________.
13. 在的展开式中,只有第5项的二项式系数最大,则展开式中含项的系数为___________
14. 对于函数,若在定义域内存在实数x满足,则称函数为“局部奇函数”.若函数在定义域上为“局部奇函数”,则实数m的取值范围为________.
四、解答题:本题共5小题,共77分.解答应写出文字说明、证明过程或演算步骤.
15. 如图为函数(,,)图象的一段.
(1)求其解析式;
(2)若将的图象向左平移个单位长度后得到函数的图象,求函数图象的对称轴方程.
16. 已知函数.
(1)若曲线在点处的切线方程为,求和的值;
(2)求的单调区间与最大值.
17. 已知函数在区间上的最大值为2.
(1)求的值和求取得最大值时的取值集合;
(2)若对任意的恒成立,求实数约取值范围.
18. 近年来,随着智能手机的普及,网上买菜迅速进入了我们的生活.现将一周网上买菜次数超过3次的市民认定为“喜欢网上买菜”,不超过3次甚至从不在网上买菜的市民认定为“不喜欢网上买菜”.某市社区为了解该社区市民网上买菜情况,随机抽取了该社区100名市民,得到的统计数据如下表所示:
(1)试根据的独立性检验,分析社区的市民是否喜欢网上买菜与年龄有关?
(2)M社区的市民小张周一、二均在网上买菜,且周一等可能地从两个买菜平台随机选择一个下单买菜如果周一选择平台买菜,那么周二选择平台买菜的概率为,如果周一选每平台买菜,那么周二选择平合买菜的概率为,求小张周二选择平台买菜的概率;
(3)用频率估计概率,现从M社区随机抽取20名市民,记其中喜欢网上买菜的市民人数为随机变量,并记随机变量,求、的期望和方差.
参考公式:,其中.
参考公式及数据:,其中.
19. 已知函数
(1)讨论的单调性;
(2)若时,的图象恒在轴上方,求的范围;
(3)若存在不相等的实数,使得,证明.喜欢网上买菜
不喜欢网上买菜
合计
年龄不超过45岁的市民
40
10
50
年龄超过45岁的市民
20
30
50
合计
60
40
100
0.1
0.05
0.01
0.005
0.001
2.706
3.841
6.635
7.879
10.828
相关试卷
这是一份黑龙江省佳木斯第二中学2024-2025学年高三上学期第二次月考数学试卷-A4,共5页。试卷主要包含了单项选择题,多项选择题,填空题,解答题等内容,欢迎下载使用。
这是一份黑龙江省佳木斯第二中学2024-2025学年高三上学期第二次月考数学试卷,文件包含第二次月考答案docx、黑龙江省佳木斯第二中学2024-2025学年高三上学期第二次月考数学试卷docx等2份试卷配套教学资源,其中试卷共12页, 欢迎下载使用。
这是一份黑龙江省佳木斯市桦南县第一中学2024-2025学年高三上学期第三次月考数学试题(01),共16页。试卷主要包含了单选题,多选题,填空题,解答题等内容,欢迎下载使用。

