山东省聊城市东阿县第三中学2023-2024学年九年级上学期1月期末数学试题
展开注意事项:
1.本试卷分第Ⅰ卷(选择题)和第Ⅱ卷(非选择题)两部分。答卷前,考生务必将自己的姓名、准考证号填写在答题卡上。
2.回答第Ⅰ卷时,选出每小题答案后,用2B铅笔把答题卡上对应题目的答案标号涂黑。如需改动,用橡皮擦干净后,再选涂其他答案标号。写在本试卷上无效。
3.回答第Ⅱ卷时,将答案写在答题卡上。写在本试卷上无效。
4.考试结束后,将本试卷和答题卡一并交回。
第Ⅰ卷
一、选择题:本题共12小题,每小题3分,共36分。在每小题给出的选项中,选出符合题目要求的一项。
1.为推动世界冰雪运动的发展,我国于2022年2月2日至20日举办了北京冬奥会、如图是冬奥会会标征集活动中的部分参选作品,其文字上方的图案既是轴对称图形又是中心对称图形的是( )
A. B. C. D.
2.一元二次方程x2=-3x+1 化为一般形式后,二次项系数、一次项系数和常数项分别是( )
A. 1,3,1B. 1,3,-1C. 0,-3,1D. 0,-3,-1
3.如图,已知△ABO与△DCO位似,且△ABO与△DCO的面积之比为1:4,点B的坐标为(-3,2),则点C的坐标为( )
A. (3,-2)B. (6,-4)
C. (4,-6)D. (6,4)
4.抛物线y=2(x-4)2+3顶点坐标是( )
A. (4,3)B. (-4,3)C. (4,-3)D. (3,4)
5.若点P(2-m,5)关于原点对称的点是P'(3,2n+1),则m-n的值为( )
A. 6B. -3C. 8D. 9
6.若点A(x1,-5),B(x2,2),C(x3,5)都在反比例函数y=10x的图象上,则x1,x2,x3的大小关系是( )
A. x1
A. 55°B. 75°C. 105°D. 125°
8.将抛物线y=5x2先向左平移2个单位,再向上平移3个单位后得到新的抛物线,则新抛物线的表达式是( )
A. y=5(x+2)2+3B. y=5(x-2)2+3
C. y=5(x-2)2-3D. y=5(x+2)2-3
9.为了美化环境,2021年某市的绿化投资额为20万元,2023年的绿化投资额为45万元,则这两年该市绿化投资额的年平均增长率为( )
A. 40%B. 50%C. 60%D. 70%
10.如图,四边形ABCD内接于⊙O,DA=DC,∠CBE=50°,∠AOD的大小为( )
A. 130°B. 100°
C. 120°D. 110°
11.二次函数y=ax2+bx+c的图象如图所示,则一次函数y=-ax+b与反比例函数y=cx在同一坐标系内的大致图象是( )
A. B. C. D.
12.如图,已知二次函数y=ax2+bx+c(a≠0)的图象如图所示,有下列5个结论:①abc>0;②b-a>c;③4a+2b+c>0;④3a>-c;⑤a+b>m(am+b)(m≠1).其中正确结论的有( )
A. ①②③B. ②③⑤
C. ②③④D. ③④⑤
二、填空题:本题共6小题,每小题3分,共18分。
13.如图所示是若干个大小相同的小正方体搭成的几何体从三个不同方向看到的图形,则搭成这个几何体的小正方体的个数是 .
14.在直径为200cm的圆柱形油槽内装入一些油以后,截面如图.若油面的宽AB=160cm,则油的最大深度为 cm.
15.已知a,b分别是方程x2+2x-5=0的两根,则a2+4a+2b的值为______.
16.如图,在Rt△ABC中,∠B=90°,AB=5,BC=12,将△ABC绕点A逆时针旋转得到△ADE,使得点D落在AC上,则tan∠ECD的值为_____________.
17.如右上图,点A在反比例函数y1=18x(x>0)的图象上,过点A作AB⊥x轴,垂足为B,交反比例函数y2=6x(x>0)的图象于点C,P为y轴上一点,连接PA,PC,则△APC的面积为 .
18.如图,某水平地面上建筑物的高度为AB,在点D和点F处分别竖立高是2 m的标杆CD和EF,两标杆相隔52 m,并且建筑物AB、标杆CD和EF在同一竖直平面内.从标杆CD后退2 m到点G处,在G处测得建筑物顶端A和标杆顶端C在同一条直线上;从标杆FE后退4 m到点H处,在H处测得建筑物顶端A和标杆顶端E在同一直线上,则建筑物的高是 m.
三、解答题:本题共8小题,共66分。解答应写出文字说明,证明过程或演算步骤。
19.(本小题6分)
解下列方程:
(1)x(x-2)=x-2;
(2)2x2-3x-1=0.
20.(本小题8分)
某超市销售一种衬衫,平均每天可售出20件,每件盈利40元.为了扩大销售,增加盈利,该超市准备适当降价,经过一段时间测算,发现每件衬衫每降低1元,平均每天可多售出2件.
(1)若每件衬衫降价4元时,平均每天可售出多少件衬衫?此时每天销售获利多少元?
(2)在每件盈利不少于25元的前提下,要使该衬衫每天销售获利为1200元,同每件衬衫应降价多少元?
21.(本小题8分)
如图,一次函数y=x+b和反比例函数y=kx(k≠0)交于点A(4,1).
(1)求反比例函数和一次函数的解析式;
(2)求△AOB的面积;
(3)根据图象直接写出一次函数的值大于反比例函数的值的x的取值范围.
22.(本小题10分)
如图1,皮皮小朋友燃放一种手持烟花,这种烟花每隔2秒发射一发花弹,每一发花弹的飞行路径、爆炸时的高度均相同.皮皮发射出的第一发花弹的飞行高度h(米)与飞行时间t(秒)之间的函数图象如图2所示.
(1)求皮皮发射出的第一发花弹的飞行高度h(米)随飞行时间t(秒)的函数表达式.
(2)第一发花弹发射3秒后,第二发花弹达到的高度为多少米?
(3)为了安全,要求花弹爆炸时的高度不低于16米.皮皮发现在第一发花弹爆炸的同时,第二发花弹与它处于同一高度,请通过计算说明花弹的爆炸高度是否符合安全要求?
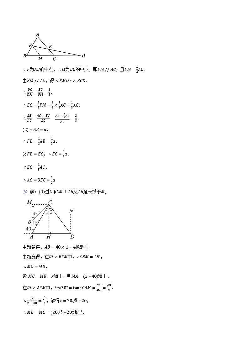
23.(本小题8分)
如图,在△ABC中,延长BC到点D,使CD=BC.取AB的中点F,连接FD交AC于点E.
(1)求AEAC的值;
(2)若AB=a,FB=EC,求AC的长.
24.(本小题8分)
如图,一货船从港口A出发,以40海里/小时的速度向正北方向航行,经过1小时到达B处,测得小岛C在B的东北方向,且在点A的北偏东30°方向.(参考数据:2≈1.41,3≈1.73,6≈2.45,sin37°≈0.60,cs37°≈0.80)
(1)求BC的距离(结果保留整数);
(2)由于货船在B处突发故障,于是立即以30海里/小时的速度沿BC赶往小岛C维修,同时向维修站D发出信号,在D处的维修船接到通知后立即准备维修材料,之后以50海里/小时的速度沿DC前往小岛C,已知D在A的正东方向上,C在D的北偏西37°方向,通知时间和维修船准备材料时间一共6分钟,请计算说明维修船能否在货船之前到达小岛C.
25.(本小题8分)
如图,△ABC内接于⊙O,且∠B=60°.直线l过点C,且与直径AD的延长线交于点E,AF⊥l,垂足为F,AC平分∠FAD,CG⊥AD,垂足为G.
(1)求证:直线l是⊙O的切线;
(2)若AF=43,求图中阴影部分的面积.
26.(本小题10分)
已知,抛物线y=-x2+bx+c经过点A(-1,0)和C(0,3).
(1)求抛物线的解析式;
(2)在抛物线的对称轴上,是否存在点P,使PA+PC的值最小?如果存在,请求出点P的坐标,如果不存在,请说明理由;
(3)设点M在抛物线的对称轴上,当△MAC是直角三角形时,求点M的坐标.
267,山东省聊城市东阿县第三中学2023-2024学年八年级上学期期末数学试题: 这是一份267,山东省聊城市东阿县第三中学2023-2024学年八年级上学期期末数学试题,共20页。试卷主要包含了单选题,填空题,解答题等内容,欢迎下载使用。
山东省聊城市东阿县2023-2024学年九年级上学期1月期末数学试题: 这是一份山东省聊城市东阿县2023-2024学年九年级上学期1月期末数学试题,共6页。
2023-2024学年山东省聊城市东阿县九上数学期末质量检测模拟试题含答案: 这是一份2023-2024学年山东省聊城市东阿县九上数学期末质量检测模拟试题含答案,共7页。试卷主要包含了答题时请按要求用笔等内容,欢迎下载使用。

