高中数学2.3 直线的交点坐标与距离公式课文内容课件ppt
展开(一)创设情景揭示课题
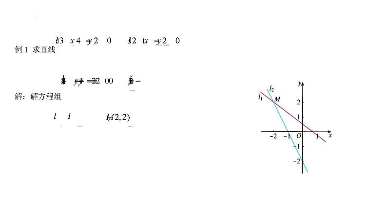
(二)阅读精要研讨新知
(三)探索与发现思考与感悟
(四)归纳小结回顾重点
(五)作业布置精炼双基
人教A版 (2019)选择性必修 第一册2.3 直线的交点坐标与距离公式课文内容ppt课件: 这是一份人教A版 (2019)选择性必修 第一册<a href="/sx/tb_c4000328_t3/?tag_id=26" target="_blank">2.3 直线的交点坐标与距离公式课文内容ppt课件</a>,共60页。PPT课件主要包含了x0y0,有唯一等内容,欢迎下载使用。
人教A版 (2019)2.3 直线的交点坐标与距离公式教学ppt课件: 这是一份人教A版 (2019)<a href="/sx/tb_c4000328_t3/?tag_id=26" target="_blank">2.3 直线的交点坐标与距离公式教学ppt课件</a>,文件包含人教A版2019选择性必修第一册高二上学期数学231两条直线的交点坐标232两点间的距离公式课件pptx、人教A版2019选择性必修第一册高二上学期数学231两条直线的交点坐标232两点间的距离公式教案docx等2份课件配套教学资源,其中PPT共30页, 欢迎下载使用。
人教A版 (2019)选择性必修 第一册2.3 直线的交点坐标与距离公式课文配套课件ppt: 这是一份人教A版 (2019)选择性必修 第一册2.3 直线的交点坐标与距离公式课文配套课件ppt,共18页。PPT课件主要包含了无数个等内容,欢迎下载使用。

