2021-2022学年河南省南阳市新野县八年级下学期期中数学试题及答案
展开2.选择题每小题选出答案后,用 2B 铅笔把答题卡上对应题目的答案标号涂黑,如需改动,用橡皮擦干净后,再选涂其他答案标号.非选择题答案用 0.5 毫米黑色墨水签字笔在答题卡上相应位置书写作答,在试题卷上答题无效.
3.作图可先使用 2B 铅笔画出,确定后必须用 0.5 毫米黑色墨水签字笔描黑.
一、选择题(共10小题,共30分)
若分式的值为零,则的值等于
A. B. C. D.
下列变形正确的是
A. B. C. D.
计算的正确结果是
A. B. C. D.
在物联网时代的所有芯片中,芯片已成为需求的焦点.已知即纳米,是的度量单位,将用科学记数法表示正确的是
A. B. C. D.
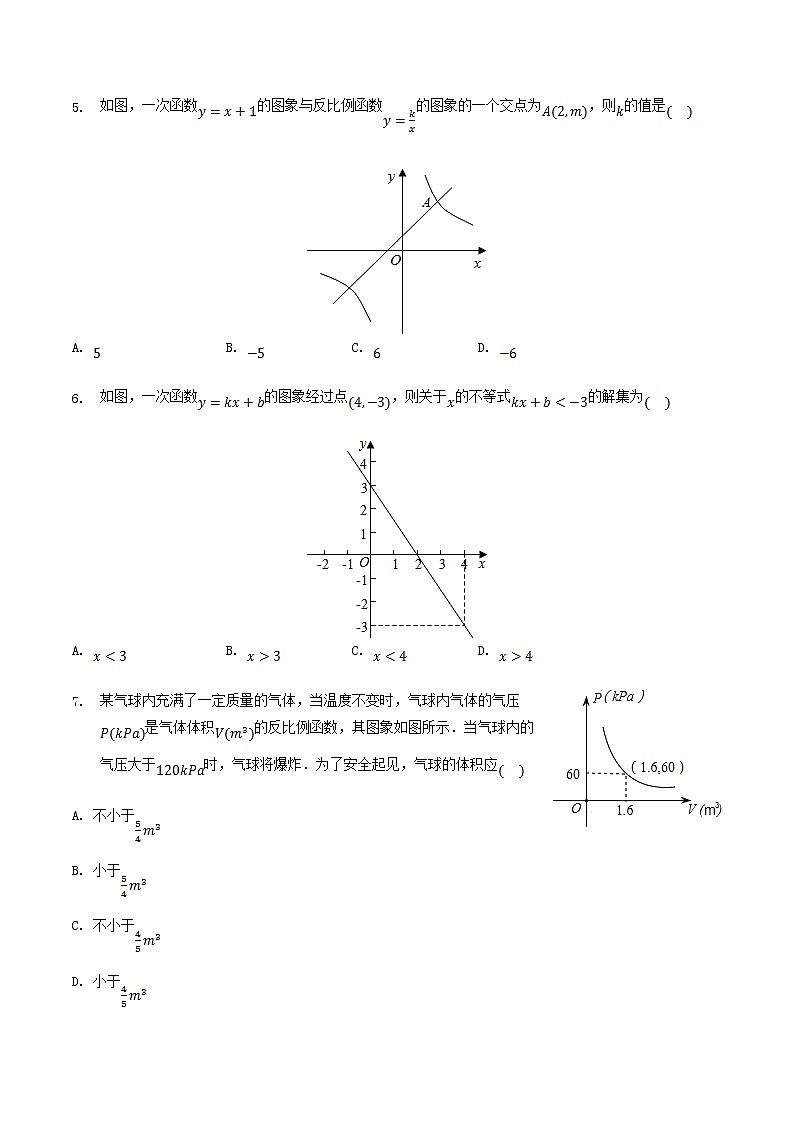
如图,一次函数的图象与反比例函数的图象的一个交点为,则的值是
A. B. C. D.
如图,一次函数的图象经过点,则关于的不等式的解集为
A. B. C. D.
某气球内充满了一定质量的气体,当温度不变时,气球内气体的气压是气体体积的反比例函数,其图象如图所示.当气球内的气压大于时,气球将爆炸.为了安全起见,气球的体积应
A. 不小于
B. 小于
C. 不小于
D. 小于
已知关于的一次函数的图象经过点、,则,的大小关系为
A. B. C. D.
甲、乙二人沿相同的路线由到匀速行进,,两地间的路程为他们行进的路程与甲出发后的时间之间的函数图象如图所示.根据图象信息,下列说法正确的是
A. 甲的速度是
B. 乙的速度是
C. 乙比甲晚出发
D. 甲比乙晚到地
如图,在边长为的正方形中剪去一个边长为的小正方形,动点从点出发,沿的路线,绕多边形的边匀速运动到点时停止,则的面积随着时间变化的函数图象大致是
A.
B.
C.
D.
二、填空题(本大题共5小题,共15分)
分式中的取值范围是______.
已知,,则______.
如图,点是反比例函数图象上一点,轴于点且与反比例函数的图象交于点,,连接,若的面积为,则______ .
如图,直线与轴交于点,与轴交于点,把直线沿轴的正半轴向右平移个单位长度后得到直线,则直线的函数解析式是______.
已知点、点,直线与线段总有交点,则的取值范围是______.
三、计算题(本大题共1小题,共8分)
计算:学习了分式运算后,老师布置了这样一道计算题:,甲、乙两位同学的解答过程分别如下:
甲同学:
乙同学:
老师发现这两位同学的解答过程都有错误.
请你从甲、乙两位同学中,选择一位同学的解答过程,帮助他分析错因,并加以改正.
我选择______同学的解答过程进行分析.填“甲”或“乙”
该同学的解答从第______步开始出现错误填序号,错误的原因是______;
请写出正确解答过程.
四、解答题(本大题共7小题,共67分)
先化简,再求值,其中.
商场出售一批进价为元的贺卡,在市场营销中发现此商品日销售单价元与日销售量张之间有如下关系:
在出售的过程中,物价局规定此贺卡的单价不能超过元,但商场也不能赔钱出售.那么,关于的函数解析式为______;自变量的取值范围是______.
画出函数的图象;
若某日销售单价为元张,求日销量和这天的销售利润.
某服装制造厂要在开学之前赶制套校服,为了尽快完成任务,厂领导合理调配,使每天完成的校服比原计划多,结果提前天完成任务,问原计划每天能完成多少套?
在平面直角坐标系中,长方形的边,,,直线经过、两点.
求直线的表达式.
平移直线得到,并保持与长方形有公共点,求出的取值范围.
如图,,是双曲线与直线的交点,轴于,.
反比例函数解析式为______;
求一次函数的解析式.
结合图象直接写出不等式的解集.
疫苗接种,利国利民甲、乙两地分别对本地各万人接种新冠疫苗甲地在前期完成万人接种后,甲、乙两地同时以相同速度接种,甲地经过天后接种人数达到万人,由于情况变化,接种速度放缓,结果天完成接种任务,乙地天完成接种任务,在某段时间内,甲、乙两地的接种人数万人与各自接种时间天之间的关系如图所示.
直接写出乙地每天接种的人数及的值;
当甲地接种速度放缓后,求关于的函数解析式,并写出自变量的取值范围;
当乙地完成接种任务时,求甲地未接种疫苗的人数.
23.如图,在平面直角坐标系中,直线:与轴交于点,与直线:交于点,点为轴上一个动点.
求直线的解析式;
若点的坐标为,过点作轴的垂线,分别交直线、于点、,求的面积;
若以点、、为顶点的三角形为直角三角形,直接写出点的坐标.
答案和解析
1.【答案】
解:,,
.
故选:.
根据分式的值为零的条件:分子等于且分母不等于即可得出答案.
本题考查了分式的值为零的条件,掌握分式的值为零的条件:分子等于且分母不等于是解题的关键.
2.【答案】
解:、,故A不符合题意.
B、,故B符合题意.
C、,故C不符合题意.
D、,故D不符合题意.
故选:.
根据分式的基本性质即可求出答案.
本题考查分式的基本性质,解题的关键是熟练运用分式的基本性质,本题属于基础题型.
3.【答案】
解:.
故选:.
直接利用分式的性质结合乘方运算法则化简得出答案.
此题主要考查了分式的乘除法,正确掌握相关运算法则是解题关键.
4.【答案】
解:
故选:.
绝对值小于的正数也可以利用科学记数法表示,一般形式为,与较大数的科学记数法不同的是其所使用的是负整数指数幂,指数由原数左边起第一个不为零的数字前面的的个数所决定.
本题考查用科学记数法表示较小的数,一般形式为,其中,为由原数左边起第一个不为零的数字前面的的个数所决定.
5.【答案】
解:把代入得,,
解得,
所以,点的坐标为,
所以,,
解得.
故选:.
把点的坐标代入一次函数解析式求出的值,再把点的坐标代入反比例函数,计算即可得到的值.
本题考查了反比例函数与一次函数的交点问题,先把点的坐标代入一次函数求出的值是解题的关键.
6.【答案】
解:一次函数的图象经过,
时,,
又随的增大而减小,
关于的不等式的解集是.
故选:.
由一次函数的图象经过,以及随的增大而减小,可得关于的不等式的解集.
本题考查了一次函数与一元一次不等式的关系,根据图象直接得出答案.
7.【答案】
解:设球内气体的气压和气体体积的关系式为,
图象过点
即在第一象限内,随的增大而减小,
当时,.
故选:.
根据题意可知温度不变时,气球内气体的气压是气体体积的反比例函数,且过点故;故当,可判断.
根据图象上的已知点的坐标,利用待定系数法求出函数解析式.
8.【答案】
解:,
,
随的增大而增大.
又,
.
故选:.
利用偶次方的非负性可得出,利用一次函数的性质可得出随的增大而增大,再结合即可得出.
本题考查了一次函数的性质,牢记“,随的增大而增大;,随的增大而减小”是解题的关键.
9.【答案】
解:由图可知,
甲用小时走完全程,可得速度为,故A错误;
乙比甲晚出发一小时,用小时走完全程,可得速度为,故B错误;
乙比甲晚出发,故C正确;
甲比乙晚到地,故D错误.
故选:.
由图可得,该图象是路程与时间的关系,乙比甲晚出发一小时且乙的速度比甲的速度快,根据图象一一判断即可.
此题主要考查函数的图象,考查学生的读图获取信息的能力,要注意分析其中的“关键点”,还要善于分析各图象的变化趋势.
10.【答案】
解:当点在上运动时,;
当点在上运动时,;
当点在上运动时,;
当点在上运动时,同理;
当点在上运动时,同理可得:函数的表达式为一次函数,图象为线段;
故选:.
用面积公式计算出点在线段运动的函数表达式,即可求解.
本题是运动型综合题,解题关键是深刻理解动点的函数图象,了解图象中关键点所代表的实际意义,理解动点的完整运动过程.
11.【答案】
解:,
.
故答案为:.
根据分式的分母不等于即可得出答案.
本题考查了分式有意义的条件,掌握分式的分母不等于是解题的关键.
12.【答案】
解:,,
,
故答案为:.
先通分,再根据完全平方公式进行变形,最后代入求出答案即可.
本题考查了分式的化简求值和完全平方公式,能正确根据完全平方公式进行变形是解此题的关键.
13.【答案】
解:,,,
,
,
又,,,,
,,
,
故答案为:.
由的面积为,可求出的面积为,进而求出的面积为,再根据反比例函数系数的几何意义可求出,,进而得出答案.
本题考查反比例函数系数的几何意义,掌握反比例函数系数的几何意义是正确解答的关键.
14.【答案】
解:把直线:沿轴的正半轴向右平移个单位长度后得到直线,
则直线的函数解析式是:,即.
故答案是:.
利用“左加右减”的规律解答.
本题主要考查了一次函数图象与几何变换,难度不大,掌握平移规律“左加右减,上加下减”即可.
15.【答案】或
解:在中,令,得:
,
直线恒过点,
将点代入直线,得:
,
解得:,
将点代入直线,得:
,
解得:,
直线与线段总有交点,
或,
故答案为:或.
将点,点坐标分别代入一次函数解析式,分别求出的值,即可求解.
本题考查一次函数图象与系数的关系,一次函数图象上点的坐标特征等知识点,解题的关键是熟练掌握一次函数图象位置与系数的关系.
16.【答案】甲 通分时,第二个分式,根据分式的基本性质,分式的分子也应该乘以
解:选择甲同学或乙同学均可;
故答案为:甲答案不唯一,也可以填乙;
甲同学从第步开始出现错误,
其错误原因是:通分时,第二个分式,根据分式的基本性质,分式的分子也应该乘以;
故答案为:,通分时,第二个分式,根据分式的基本性质,分式的分子也应该乘以;
乙同学从第步开始出现错误,
其错误原因是:同分母分式相减,分母不变,把分子相减;
故答案为:,同分母分式相减,分母不变,把分子相减;
原式
.
分析甲或乙同学的解答过程均可;
根据分式的基本性质分析甲同学的错误,根据同分母分式加减法运算法则分析乙同学的错误;
先通分,然后再计算.
本题考查异分母分式的加减,掌握通分和约分的技巧是解题关键.
17.【答案】解:原式
,
当时,原式.
【解析】先计算括号内的减法,然后计算括号外的除法,再将代入化简后的式子计算即可.
本题考查分式的化简求值,解答本题的关键是明确分式减法和除法的运算法则.
18.【答案】
解:由表格可得,
,
,
物价局规定此贺卡的单价不能超过元,但商场也不能赔钱出售,
,
故答案为:,;
函数图象如下所示:
;
把代入中,
得,
利润为:元,
答:日销售量为张,销售利润为元.
根据表格中的数据,可以写出与的函数关系式,再根据物价局规定此贺卡的单价不能超过元,但商场也不能赔钱出售,可以得到的取值范围;
根据表格中的数据,可以画出相应的函数图象;
将代入中的函数解析式求出相应的的值,然后即可计算出相应的利润.
本题考查反比例函数的应用,解答本题的关键是明确题意,写出相应的函数解析式.
19.【答案】解:设原计划每天能完成套,则实际每天能完成套,
依题意得:,
解得:,
经检验,是原方程的解,且符合题意.
答:原计划每天能完成套.
【解析】设原计划每天能完成套,则实际每天能完成套,利用工作时间工作总量工作效率,结合实际比原计划提前天完成任务,即可得出关于的分式方程,解之经检验后即可得出结论.
本题考查了分式方程的应用,找准等量关系,正确列出分式方程是解题的关键.
20.【答案】解:,,
,
设直线的解析式为,
把时和时代入上式得,
解得,
直线的解析式为;
把,代入中,得,
把,代入中得,
的范围是.
【解析】利用矩形的性质,得出点坐标,进一步利用待定系数法求得函数解析式;
分别把点、点的坐标代入,是中数值知,未知求得的数值即可.
此题考查待定系数法求一次函数解析式,矩形的性质,一次函数图象上点的坐标特征,以及函数平移的特点,图象上点的坐标适合解析式是解题的关键.
21.【答案】
解:而,
,
反比例函数的关系式为,
故答案为:;
,是双曲线与直线的交点,
,,
,,
把,代入得,
,
解得,
一次函数解析式为;
由一次函数与双曲线的图象可得,
不等式的解集为 或.
根据反比例函数系数的几何意义,即可求出的值,进而确定反比例函数关系式;
确定点、点坐标,利用待定系数法求出一次函数的关系式;
根据两个函数的图形直观得出答案.
本题考查一次函数与反比例函数的交点坐标,理解一次函数、反比例函数图象上点的坐标特征是正确解答的前提.
22.【答案】解:乙地接种速度为万人天,
,
解得.
设,将,代入解析式得:
,
解得,
.
把代入得,
万人.
【解析】由接种速度接种人数接种天数求解.
利用待定系数法求解.
将代入问中解析式得出,然后由.
本题考查一次函数的应用,解题关键是熟练掌握待定系数法求解.
23.【答案】解:将代入中得,
,
,
将代入中,
,
解得,
直线解析式为;
当时,,
,
当时,,
,
,
;
当时,,
当时,
,
,
,
,
,
由题意知不可能为,
综上可得,或.
【解析】首先求出点的坐标,再将代入,解方程即可;
求出,的坐标,从而得出的长度,代入三角形面积公式;
分或或,由直角三角形的性质进行计算即可.
本题是一次函数综合题,主要考查了两直线的交点问题,待定系数法求函数解析式,三角形的面积,直角三角形的性质等知识,运用分类讨论思想是解题的关键.
元
张
河南省南阳市新野县2023-2024学年八年级下学期期中数学试题模拟练习: 这是一份河南省南阳市新野县2023-2024学年八年级下学期期中数学试题模拟练习,共21页。试卷主要包含了单选题,填空题,解答题等内容,欢迎下载使用。
河南省南阳市新野县2023-2024学年八年级下学期期中数学试题: 这是一份河南省南阳市新野县2023-2024学年八年级下学期期中数学试题,共9页。试卷主要包含了四象限内D.若,则,解答题等内容,欢迎下载使用。
河南省南阳市新野县2022-2023学年八年级上学期期中数学试题(含答案): 这是一份河南省南阳市新野县2022-2023学年八年级上学期期中数学试题(含答案),共10页。试卷主要包含了下列说法错误的是,下列运算正确的是,已知,则的值为,若是完全平方式,则k的值是等内容,欢迎下载使用。

