- 3.2分式的约分 分层作业(无答案)-【教学评一体化】2024-2025学年8上数学同步精品备课系列(青岛版) 试卷 0 次下载
- 3.3分式的乘法与除法课件-【教学评一体化】2024-2025学年8上数学同步精品备课系列(青岛版) 课件 0 次下载
- 3.4分式的通分 课件-【教学评一体化】2024-2025学年8上数学同步精品备课系列(青岛版) 课件 0 次下载
- 3.4分式的通分 分层作业(无答案)-【教学评一体化】2024-2025学年8上数学同步精品备课系列(青岛版) 试卷 0 次下载
- 3.5分式的加法与减法课件-【教学评一体化】2024-2025学年8上数学同步精品备课系列(青岛版) 课件 0 次下载
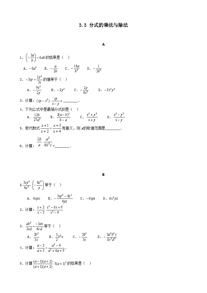
青岛版八年级上册3.3 分式的乘法与除法精品复习练习题
展开A
1.的结果是( )
A. B. C. D.
2.的值等于( )
A. B. C. D.
3.计算:________.
4.下列公式中是最简分式的是( )
A. B. C. D.
5.若代数式有意义,则x的取值范围是________.
6.计算:=________.
B
1.等于( )
A. B. C. D.
2.计算:
3.等于( )
A. B. C. D.
4.计算:.
5.计算的结果是( )
A. B. C. D.
6.计算.
[来源:Z#xx#k.Cm]
C
1.若等于它的倒数,则的值是( )
A. B. C. D.0
2.已知,则等于( )
A.1 B. C.0 D.2
3.已知,则代数式的值是( )
A.1999 B.2000 C.2001 D.2002
4.使代数式有意义的的值是( )
A.且 B.且
C.且 D.且且
5.先化简,再求值
(1),其中x=-.
[来源:学.科.网]
(2),其中x=8,y=11.
6.王强到超市买了千克香蕉,用了元钱,又买了千克鲜橙,也用了元钱,若他要买3千克香蕉2千克鲜橙,共需多少钱?(列代数式表示).
初中第2章 图形的轴对称2.6 等腰三角形精品第3课时课后练习题: 这是一份初中<a href="/sx/tb_c92985_t7/?tag_id=28" target="_blank">第2章 图形的轴对称2.6 等腰三角形精品第3课时课后练习题</a>,共3页。试卷主要包含了等腰三角形的对称轴是等内容,欢迎下载使用。
青岛版八年级上册第2章 图形的轴对称2.6 等腰三角形精品第2课时达标测试: 这是一份青岛版八年级上册<a href="/sx/tb_c92985_t7/?tag_id=28" target="_blank">第2章 图形的轴对称2.6 等腰三角形精品第2课时达标测试</a>,共3页。
初中数学青岛版八年级上册第2章 图形的轴对称2.6 等腰三角形优秀第1课时练习: 这是一份初中数学青岛版八年级上册<a href="/sx/tb_c92985_t7/?tag_id=28" target="_blank">第2章 图形的轴对称2.6 等腰三角形优秀第1课时练习</a>,共3页。试卷主要包含了填空等内容,欢迎下载使用。

