高中数学压轴题小题专项训练专题14三角恒等变换问题含解析答案
展开一、单选题
1.已知,则( )
A.B.C.D.
2.已知,则( )
A.B.C.D.
3.如图,斜三棱柱中,底面是正三角形,分别是侧棱上的点,且,设直线与平面所成的角分别为,平面与底面所成的锐二面角为,则( )
A.
B.
C.
D.
4.使得不等式成立的一个充分不必要条件是( )
A.B.
C.D.
5.已知,则( )
A.B.-1C.D.
6.已知,,则( )
A.B.C.D.
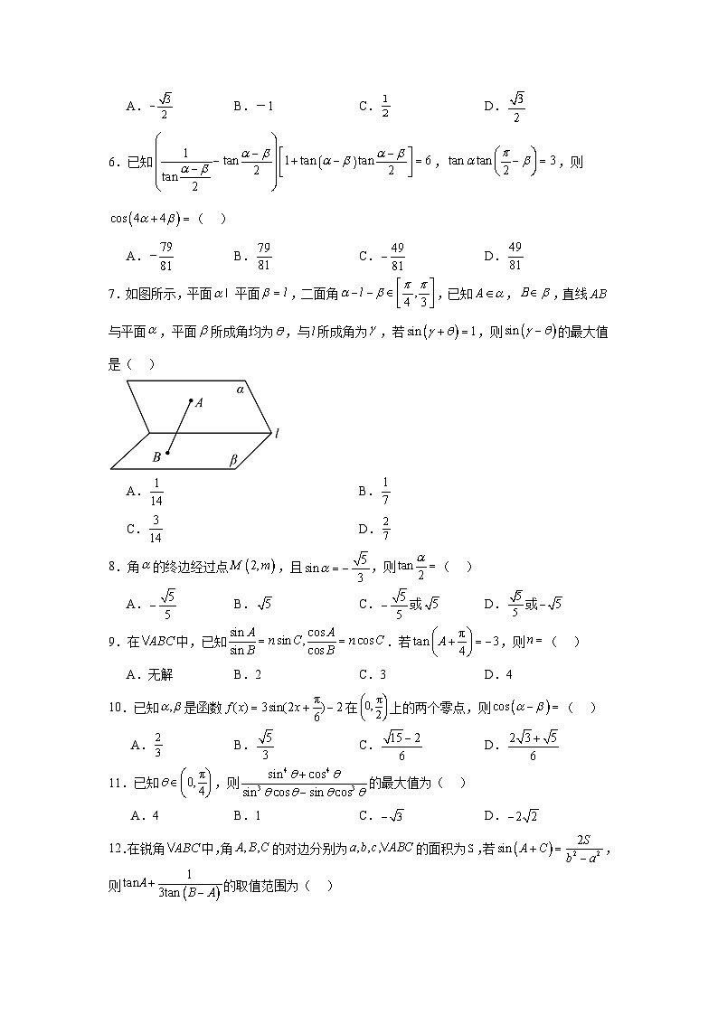
7.如图所示,平面平面,二面角,已知,,直线与平面,平面所成角均为,与所成角为,若,则的最大值是( )
A.B.
C.D.
8.角的终边经过点,且,则( )
A.B.C.或D.或
9.在中,已知.若,则( )
A.无解B.2C.3D.4
10.已知是函数在上的两个零点,则( )
A.B.C.D.
11.已知,则的最大值为( )
A.4B.1C.D.
12.在锐角中,角的对边分别为的面积为,若,则的取值范围为( )
A.B.C.D.
13.已知角的顶点与坐标原点重合,始边与轴的非负半轴重合,且终边上一点的坐标为,则( )
A.B.C.D.
14.在三棱锥中,顶点P在底面的射影为的垂心O(O在内部),且PO中点为M,过AM作平行于BC的截面,过BM作平行于AC的截面,记,与底面ABC所成的锐二面角分别为,,若,则下列说法错误的是( )
A.若,则
B.若,则
C.可能值为
D.当取值最大时,
二、多选题
15.如图,在矩形ABCD中,,,M是AD的中点,将沿着直线BM翻折得到.记二面角的平面角为,当的值在区间范围内变化时,下列说法正确的有( )
A.存在,使得
B.存在,使得
C.若四棱锥的体积最大时,点B到平面的距离为
D.若直线与BC所成的角为,则
三、填空题
16.已知,则当取得最大值时, .
17.记的内角A,B,C的对边分别为a,b,c,已知,若,则 ;若为锐角三角形,则的取值范围是 .
18.在数1和2之间插入个正数,使得这个数构成递增等比数列,将这个数的乘积记为,令,, .
19.已知函数,若关于的方程在区间上有两个不同实根,则的最小值为 .
20.记的内角,,,已知,求的取值范围为 .
21.已知为三角形的两个内角,,则= .
22.已知在中,成等差数列,则的最小值是 .
23.已知且,则实数的值为 .
24.已知,则 .
25.已知的角A,B,C满足,其中符号表示不大于x的最大整数,若,则 .
26.已知正实数,满足,则的最小值是 .
参考答案:
1.D
【分析】应用诱导公式及已知有,再由及差角余弦公式得,最后由和角正弦公式有,即可求结果.
【详解】因为,结合题设,
所以,而,
所以,
即,所以,
所以.
故选:D
2.B
【分析】根据余弦两角和公式将展开成角与的两角和形式与与的两角和形式,建立等式关系结合已知等式即可得结论.
【详解】因为,
又,
所以,
因为,
则.
故选:B.
3.B
【分析】先在图中作出直线与平面所成的角,平面与底面所成的锐二面角,可得,同理得,再由和差化积公式得到,即可判断A、C选项;再通过三角恒等变换得到,进而得到,即,即可判断B、D选项.
【详解】
如图:延长EF,AB交于M,延长EG,AC交于N,延长FG,BC交于D,易得MN为平面ABC和平面EFG的交线,
又D在平面ABC和平面EFG上,则D在直线MN上,即M,N,D三点共线,由外角定理可得.
过A作面EFG,垂足为P,过A作,垂足为Q,连接,易得即为直线与平面所成的角,
则,又面EFG,面EFG,则,又,面,,
所以面,面,则,则即为平面与底面所成的锐二面角,则,
又,则,同理可得,则,
又由,
,
则,
故,A,C错误;
故,由可知,所以,
即,整理可得,
即,即,
故,又,故,B正确,D错误.
故选:B.
4.C
【分析】换元,利用二倍角公式和两角和的余弦公式的逆用将题干不等式转化为关于t的不等式,解出t满足的关系进而排除得到正确选项.
【详解】令,
则,
所以已知不等式化为.
,故原不等式的解分两段:
①得,原不等式化为,即.
②得,原不等式化为,即.
四个选项对应的取值范围分别为,
当时,由②不符合题意,排除A、B;
当时,由①不符合题意,排除D;
时易验证满足①,
故选:C.
5.C
【分析】应用诱导公式、商数关系可得,再由和角正切公式展开求得,最后由求值即可.
【详解】由,
所以,则,
所以,则,故,
由.
故选:C
6.A
【分析】结合二倍角公式和两角和差公式化简即可求得.
【详解】,.
,
,,
,,
又因为,所以,
则,所以
.
.
故选:A
7.B
【分析】由题意知,作辅助线找到,及二面角,四边形为正方形进而得到为等腰三角形,利用所得直角三角形用边表示、,即有它们的等量关系,利用结合二面角,即可求的最大值;
【详解】直线与平面,平面所成角均为,与所成角为,而,,又,可知: ,
若令二面角为,作于,于;过作,过作与交于点;
∴面,又,,故面,面,即;
过作,过作与交于点;
∴面,又,,故面,面,即;
作于,于,连接、,即有,且;
∵,即,作有四边形为正方形,即,
∴,有,故为等腰三角形且,
令,,则,有,而,
∴,,又,
∴当时等号成立
故选:B
【点睛】本题考查了应用辅助线,根据已知条件以及线面角、线线角、面面角的性质,得到它们的三角函数间等量关系,并化简目标三角函数式,结合二面角的范围求目标式的最值;
8.A
【分析】根据角的终边经过点,列方程得到,然后正切的二倍角公式列方程求解即可.
【详解】因为角的终边经过点,,所以,解得,
所以,.
故选:A.
9.A
【分析】由可得,进而得到,借助三角形内角和与两角和的正切公式可得,设,有,可得该方程无解,故不存在这样的.
【详解】由,即,则,
由,知,
则,则,
又,
故,设,则,
有,即,,
即该方程无解,故不存在这样三角形,即无解.
故选:A.
10.A
【分析】根据三角函数的对称性可得,进而代入化简,结合诱导公式即可求解.
【详解】令,得,
,,
因为是函数在上的两个零点,
则是在上的两个根,
故,故,
则
.
故选:A.
【点睛】关键点点睛:本题解决的关键是利用三角函数的对称性得到的关系,从而得解.
11.D
【分析】由,得,将已知三角式弦化切,化简变形得到,再由基本不等式即可得到结果.
【详解】,,故,
,当且仅当,即时,等号成立.
故选:D.
12.C
【分析】由面积公式与正余弦定理化简后得出关系后求解
【详解】由题意,而,
所以,由余弦定理得,
故,
又由正弦定理得,
整理得,
故或(舍去),得,
因为是锐角三角形,
故,
解得,故,
.
故选:C.
【点睛】关键点点睛:关键是适当结合正弦定理、余弦定理进行边角转换由此即可顺利得解.
13.B
【分析】根据三角函数的定义求出,,再由二倍角公式及两角和的正弦公式求出,,,最后由诱导公式计算可得.
【详解】因为角终边上一点的坐标为,
所以,,
所以,
,
所以
,
所以
.
故选:B
14.C
【分析】对选项A,先找到二面角的平面角,再根据边角关系证明与全等,然后根据直线垂直并平分线段即可判断;对选项B,找到角的关系和,然后分别运用正切的两角差公式解得即可;对选项C和D,均是先根据运用正切的两角差公式,然后通过换元得到一个一元二次方程,然后根据判别式即可判断.
【详解】
如图所示,连接延长交与,连接延长交与,设平面平面
顶点P在底面的射影为的垂心,平面,平面平面
则有:直线与平行
又,则
平面,则
又
则平面
从而
故为与平面的二面角,即
同理可得:
对选项A,,又,则有:
可得:与全等,则
又根据是的垂心,则,
综上可得:直线垂直并平分线段
可得:,故选项A正确;
对选项B,易知有如下角关系:
又,则有:
可得:
解得:
则,故选项B正确;
对选项C,若,则有:
则有:
化简后可得:
令,则有:
则有:,此时方程无解,故选项C错误;
对选项D,设(),则有:
可化简为:
令,则有:
则有:
解得:
故取得最大值时,,此时
同理可得:
故,且
则有:,故选项D正确;
故选:C
【点睛】二面角的问题,常见的有两种方法:一是通过二面角的定义作二面角的平面角;二是通过空间向量的方法,这两种方法需要灵活选择,如果选择不当,则很可能会大大增加计算量,本题不宜采用空间向量法
15.ACD
【分析】A选项,作出辅助线,得到即为二面角的平面角,,当时,平面,证明出线线垂直,进而得到线面垂直,得到;BCD选项,建立空间直角坐标系,写出点的坐标,利用线线角的夹角公式得到,B错误;C选项,确定当时,体积最大,利用点到平面向量距离公式进行计算;D选项,计算出.
【详解】A选项,连接,取的中点,的中点,
连接,则,
故即为二面角的平面角,即,
当时,平面,
因为平面,所以,
因为矩形ABCD中,,,M是AD的中点,
所以,故为等腰直角三角形,
故,⊥,
因为,平面,所以平面,
因为平面,所以,
存在,使得,A正确;
B选项,以为坐标原点,所在直线分别为轴,垂直于此平面的直线为轴,建立空间直角坐标系,
则,
当时,,
此时,,
故,
故不存在,使得,B错误;
C选项,当时,平面,此时四棱锥的体积最大,
此时,
设平面的法向量为,
则,
解得,令,则,故,
故点到平面的距离,C正确;
D选项,,,
故
,D正确.
故选:ACD
【点睛】结论点睛:若直线的方向向量分别为,平面的法向量分别为,则
①两异面直线所成的角为,;
②直线与平面所成的角为,;
③二面角的大小为,.
16.
【分析】设,利用二倍角的正切公式得到,再利用导数即可求出其最值时的值,再代入即可得到答案.
【详解】设,因为,则,则,
则.
设函数,
则.
当时,即,,此时单调递增;
当时,即,,此时单调递减,
所以当时,取得最大值,即取得最大值,
此时.
故答案为:.
【点睛】关键点睛:本题的关键是利用二倍角公式构造出关于的函数关系,再利用导数法求出最值即可.
17.
【分析】由正弦定理、余弦定理结合两角和与差的正弦公式化简已知等式,即可求出,结合,即可得出答案;进而可知,分别讨论或,结合题意即可求出,由正弦定理将化简为,代入即可求出答案.
【详解】因为,所以,
,
,
,由,
则,即,
代入,可得,则,且,
解得.
由,
①当时,且,若是锐角三角形,则,
所以,不成立;
②当时,且,所以,代入上式,
可得,若是锐角三角形,则,所以,即,
且
,又,
所以.
故答案为:;.
18.
【分析】由等比数列定义、等差数列求和公式得,由两角差的正切得,结合裂项相消法即可求解.
【详解】设在数和之间插入个正数,使得这个数构成递增等比数列为,
则,即为此等比数列的公比,,,
由,又,
,
,
.
故答案为:.
【点睛】关键点点睛:解决问题的关键在于得出表达式后,还要结合两角差公式变形所求式子,由此即可顺利得解.
19./
【分析】画出函数的图象,结合图象得,根据对称性把转化为,利用二倍角余弦公式、诱导公式及二次函数性质求解最值即可.
【详解】方程在上有两个不同的实根
等价于与的图象在上有两个交点,
如图为函数在上的图象:
由图中可以看出当与有两个交点时,
有,且,此时,
所以
令,因为,则,所以,
记,,因为函数开口向上,且对称轴为,所以当时,,
所以的最小值为.
故答案为:
【点睛】关键点点睛:本题以方程有根为背景考查了正弦函数的对称性及三角恒等变换、余弦型复合函数值域问题.解题的关键是把方程有根问题转化为函数交点问题,利用正弦函数对称性消元,从而转化为余弦型复合函数的最值问题,采用换元法,利用二次函数性质求解最值即可.
20.
【分析】由题意得,进一步,,由此即可求解.
【详解】因为,
所以,
所以,,
,
又因为,解得,所以,
而单调递减,
所以的取值范围为.
故答案为:.
【点睛】关键点点睛:关键是首先得到,,由此即可顺利求解.
21.
【分析】由已知数据可得和的值,而,代入值计算可得.
【详解】∵为三角形的两个内角,且,
∴,,
∵,,
,
,
,,∴.
故答案为:.
22./0.5
【分析】由等差中项结合两角和差的余弦公式即可求解.
【详解】由题意,所以,不妨设,
所以
,
所以当且仅当时,有最小值.
故答案为:.
【点睛】关键点点睛:关键是设,由此即可顺利得解.
23./
【分析】借助诱导公式与两角和与差的正弦及余弦公式计算即可得.
【详解】,
则
又,
即,
即,
故,即.
故答案为:.
24./
【分析】首先由已知结合平方关系、角的范围得出,,然后由二倍角公式、平方关系依次得的值,由两角和的正弦公式即可求解.
【详解】因为,所以,
所以,这意味着,也就是,且,
所以,解得,
即,所以,
所以.
故答案为:.
25.1
【分析】先证得,结合条件得必为整数,分为钝角三角形与锐角三角形讨论求得的值
【详解】由,
得.
记,由条件得,
因为,所以必为整数.
如果为钝角三角形,则,则、均为锐角,
从而、为正整数(),
于是,
这时有,矛盾.
于是只能是锐角三角形,则.
又.
若,则,从而不能成立;
若,则,由,得;
若,则,由,得,与矛盾.
所以,即,
所以.
故答案为:1
【点睛】关键点点睛:解题关键是由推得必为整数,再结合求解.
26.
【分析】由题意可得P(x,y)表示线段AB上的点,表示P到y轴距离d与到O的距离PO之和,由对称性解出O(0,0)关于直线的对称点为O′的坐标,数形结合可得.
【详解】解:∵实数x,y满足,∴P(x,y)表示线段AB上的点,
设O(0,0)关于直线的对称点为O′(a,b),
则由对称性可得解得
故表示P到y轴距离d与到O的距离PO之和.
由对称性可得PO′=PO,故原式=PO′+d,
结合图象可知当PO′与y轴垂直时上式取最小值,
故答案为: .
【点睛】本题考查式子的最值,由式子的几何意义转化为数形结合是解决问题的关键,属中档题.
高中数学压轴题小题专项训练专题8函数新定义问题含解析答案: 这是一份高中数学压轴题小题专项训练专题8函数新定义问题含解析答案,共63页。试卷主要包含了单选题,多选题,填空题等内容,欢迎下载使用。
高中数学压轴题小题专项训练专题7嵌套函数与函数迭代问题含解析答案: 这是一份高中数学压轴题小题专项训练专题7嵌套函数与函数迭代问题含解析答案,共54页。试卷主要包含了单选题,多选题,填空题等内容,欢迎下载使用。
高中数学压轴题小题专项训练专题6函数的零点问题含解析答案: 这是一份高中数学压轴题小题专项训练专题6函数的零点问题含解析答案,共68页。试卷主要包含了单选题,多选题,填空题等内容,欢迎下载使用。

