所属成套资源:新高考数学二轮复习易错点 (2份打包,原卷版+含解析)
新高考数学二轮复习易错点08 数列(2份打包,原卷版+含解析)
展开
这是一份新高考数学二轮复习易错点08 数列(2份打包,原卷版+含解析),文件包含新高考数学二轮复习易错点08数列原卷版doc、新高考数学二轮复习易错点08数列含解析doc等2份试卷配套教学资源,其中试卷共23页, 欢迎下载使用。
已知数列{an}的前n项和Sn,求通项an与Sn的关系中,an=Sn-Sn-1,成立的条件是n≥2,求出的an中不一定包括a1,而a1应由a1=S1求出,然后再检验a1是否在an中,这是一个典型的易错点.
易错题【02】利用等比数列求和忽略 SKIPIF 1 < 0 的情况
注意等比数列的求和公式是分段表示的: SKIPIF 1 < 0 ,所以在利用等比数列求和公式求和时要先判断公比是否可能为1,,若公比未知,则要注意分两种情况q=1和q≠1讨论.
易错题【03】裂项求和剩余项出错
用裂项相消法求和时,裂项后可以产生连续相互抵消的项,但是要注意抵消后并不一定只剩下第一项和最后一项,也有可能前面剩两项,后面也剩两项,一般来说前面剩余几项后面也剩余几项,若前面剩余的正数项,则后面剩余的是负数项.
易错题【04】混淆数列与函数的区别
数列是一种特殊的函数,在求解数列问题时有时可以利用函数的性质,但是在利用函数单调性求解数列问题,要注意 SKIPIF 1 < 0 的取值不是连续实数,忽略这一点很容易出错。
01
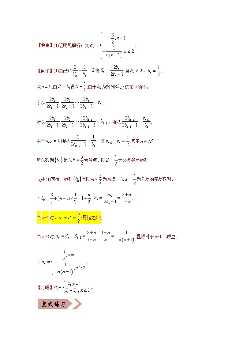
(2021年高考全国乙卷理科)记 SKIPIF 1 < 0 为数列 SKIPIF 1 < 0 的前n项和, SKIPIF 1 < 0 为数列 SKIPIF 1 < 0 的前n项积,
已知 SKIPIF 1 < 0 .
(1)证明:数列 SKIPIF 1 < 0 是等差数列;
(2)求 SKIPIF 1 < 0 的通项公式.
1.(2022届安徽省六安一中、阜阳一中、合肥八中等校高三上学期联考)数列 SKIPIF 1 < 0 中的前n项和 SKIPIF 1 < 0 ,数列 SKIPIF 1 < 0 的前n项和为 SKIPIF 1 < 0 ,则 SKIPIF 1 < 0 ( ).
A.190B.192C.180D.182
2. 已知各项均为正数的数列 SKIPIF 1 < 0 的前 SKIPIF 1 < 0 项和为 SKIPIF 1 < 0 ,其中 SKIPIF 1 < 0 为常数.
(1)证明: SKIPIF 1 < 0 ;
(2)是否存在实数 SKIPIF 1 < 0 ,使得数列 SKIPIF 1 < 0 为等比数列?若存在,求出 SKIPIF 1 < 0 ;若不存在,请说明理由.
02
【例4】求数列 SKIPIF 1 < 0 的前n项和.
2.(2022届辽宁省大连市高三上学期期中)等比数列 SKIPIF 1 < 0 的前 SKIPIF 1 < 0 项和为 SKIPIF 1 < 0 ,若 SKIPIF 1 < 0 ,则 SKIPIF 1 < 0 ( )
A.2B.-2C.1D.-1
2.(2022届黑龙江省哈尔滨市高三上学期测试)已知数列 SKIPIF 1 < 0 是公比为 SKIPIF 1 < 0 的等比数列, SKIPIF 1 < 0 是其前 SKIPIF 1 < 0 和,若 SKIPIF 1 < 0 恒成立,则实数 SKIPIF 1 < 0 的取值范围是( )
A. SKIPIF 1 < 0 B. SKIPIF 1 < 0
C. SKIPIF 1 < 0 D. SKIPIF 1 < 0
03
【例5】求和: SKIPIF 1 < 0 ________.
1.(2022届广东省仲元七校高三上学期11月月考)设数列 SKIPIF 1 < 0 的前n项和 SKIPIF 1 < 0 , SKIPIF 1 < 0 , SKIPIF 1 < 0 , SKIPIF 1 < 0 成等比数列.
(1)求数列 SKIPIF 1 < 0 的通项;
(2)数列 SKIPIF 1 < 0 的前n项和为 SKIPIF 1 < 0 ,求数列 SKIPIF 1 < 0 的前n项和为 SKIPIF 1 < 0 .
2. 在① SKIPIF 1 < 0 ,② SKIPIF 1 < 0 ,③ SKIPIF 1 < 0 这三个条件中任选一个,补充在下面问题中,并解答.已知公差不为0的等差数列 SKIPIF 1 < 0 的前 SKIPIF 1 < 0 项和为 SKIPIF 1 < 0 , SKIPIF 1 < 0 是 SKIPIF 1 < 0 与 SKIPIF 1 < 0 的等比中项,______.
(1)求 SKIPIF 1 < 0 的通项公式;
(2)若 SKIPIF 1 < 0 ,求数列 SKIPIF 1 < 0 的前 SKIPIF 1 < 0 项和 SKIPIF 1 < 0 .
注:如果选择多个条件分别解答,按第一个解答计分.
04
已知 SKIPIF 1 < 0 ,若数列 SKIPIF 1 < 0 是递增数列,则 SKIPIF 1 < 0 的取值范围是 .
1.(2022届山东省枣庄市滕州市高三上学期期中)已知数列 SKIPIF 1 < 0 , SKIPIF 1 < 0 ,则下列说法正确的是( )
A.此数列没有最大项B.此数列的最大项是 SKIPIF 1 < 0
C.此数列没有最小项D.此数列的最小项是 SKIPIF 1 < 0
2. (2022届黑龙江省实验中学高三上学期月考)已知数列 SKIPIF 1 < 0 的前 SKIPIF 1 < 0 项和为 SKIPIF 1 < 0 , SKIPIF 1 < 0 ,数列 SKIPIF 1 < 0 满足 SKIPIF 1 < 0 , SKIPIF 1 < 0 .
(1)求数列 SKIPIF 1 < 0 和 SKIPIF 1 < 0 的通项公式;
(2)设数列 SKIPIF 1 < 0 的前 SKIPIF 1 < 0 项和为 SKIPIF 1 < 0 ,若不等式 SKIPIF 1 < 0 恒成立,求实数 SKIPIF 1 < 0 的取值范围.
错
1.(2022届江苏省徐州市高三上学期期中)已知等比数列 SKIPIF 1 < 0 的前 SKIPIF 1 < 0 项和 SKIPIF 1 < 0 ,数列 SKIPIF 1 < 0 的前 SKIPIF 1 < 0 项和为 SKIPIF 1 < 0 ,若数列 SKIPIF 1 < 0 是等差数列,则非零实数 SKIPIF 1 < 0 的值是( )
A. SKIPIF 1 < 0 B. SKIPIF 1 < 0 C.3D.4
2.(2022届黑龙江省哈尔滨市高三上学期期中)数列 SKIPIF 1 < 0 的前 SKIPIF 1 < 0 项和为 SKIPIF 1 < 0 ,若 SKIPIF 1 < 0 , SKIPIF 1 < 0 ,则( )
A.数列 SKIPIF 1 < 0 是公比为2的等比数列B. SKIPIF 1 < 0
C. SKIPIF 1 < 0 既无最大值也无最小值D. SKIPIF 1 < 0
3.(多选题)()若 SKIPIF 1 < 0 是公比为 SKIPIF 1 < 0 的等比数列,记 SKIPIF 1 < 0 为 SKIPIF 1 < 0 的前 SKIPIF 1 < 0 项和,则下列说法正确的是( )
A.若 SKIPIF 1 < 0 ,则 SKIPIF 1 < 0 为递减数列
B.若 SKIPIF 1 < 0 ,则 SKIPIF 1 < 0 为递增数列
C.若 SKIPIF 1 < 0 ,则 SKIPIF 1 < 0
D.若 SKIPIF 1 < 0 ,则 SKIPIF 1 < 0 是等比数列
4.(多选题)(2022届江苏省新高考基地学校高三上学期联考)设数列 SKIPIF 1 < 0 的前n项和为 SKIPIF 1 < 0 ,若 SKIPIF 1 < 0 与 SKIPIF 1 < 0 的等差中项为常数t( SKIPIF 1 < 0 ),则( )
A.数列 SKIPIF 1 < 0 是等比数列 B. SKIPIF 1 < 0
C.数列 SKIPIF 1 < 0 是递增数列 D.当且仅当t
相关试卷
这是一份新高考数学二轮复习易错点07 平面向量(2份打包,原卷版+含解析),文件包含新高考数学二轮复习易错点07平面向量原卷版doc、新高考数学二轮复习易错点07平面向量含解析doc等2份试卷配套教学资源,其中试卷共17页, 欢迎下载使用。
这是一份新高考数学二轮复习易错点06 解三角形(2份打包,原卷版+含解析),文件包含新高考数学二轮复习易错点06解三角形原卷版doc、新高考数学二轮复习易错点06解三角形含解析doc等2份试卷配套教学资源,其中试卷共17页, 欢迎下载使用。
这是一份新高考数学二轮复习易错点05 三角变换及三角函数的性质(2份打包,原卷版+含解析),文件包含新高考数学二轮复习易错点05三角变换及三角函数的性质原卷版doc、新高考数学二轮复习易错点05三角变换及三角函数的性质含解析doc等2份试卷配套教学资源,其中试卷共21页, 欢迎下载使用。

