- 2024-2025学年高中数学人教A版必修一4.2.1 指数函数的概念课件PPT+导学案+分层作业(学生版+教师版)+教案(教学设计) 课件 16 次下载
- 2024-2025学年高中数学人教A版必修一4.2.2 指数函数的图象和性质课件PPT+导学案+分层作业(学生版+教师版)+教案(教学设计) 课件 16 次下载
- 2024-2025学年高中数学人教A版必修一4.3.2对数的运算课件PPT+导学案+分层作业(学生版+教师版)+教案(教学设计) 课件 16 次下载
- 2024-2025学年高中数学人教A版必修一4.4.1对数函数的概念课件PPT+导学案+分层作业(学生版+教师版)+教案(教学设计) 课件 14 次下载
- 2024-2025学年高中数学人教A版必修一4.4.2对数函数的图像与性质课件PPT+导学案+分层作业(学生版+教师版)+教案(教学设计) 课件 14 次下载
高中数学人教A版 (2019)必修 第一册4.3.1 对数的概念精品教学作业课件ppt
展开4.3 对数4.3.1 对数的概念第四章 小结:1.对数的概念;2.指对互换.作业:课本P123 练习1--3题
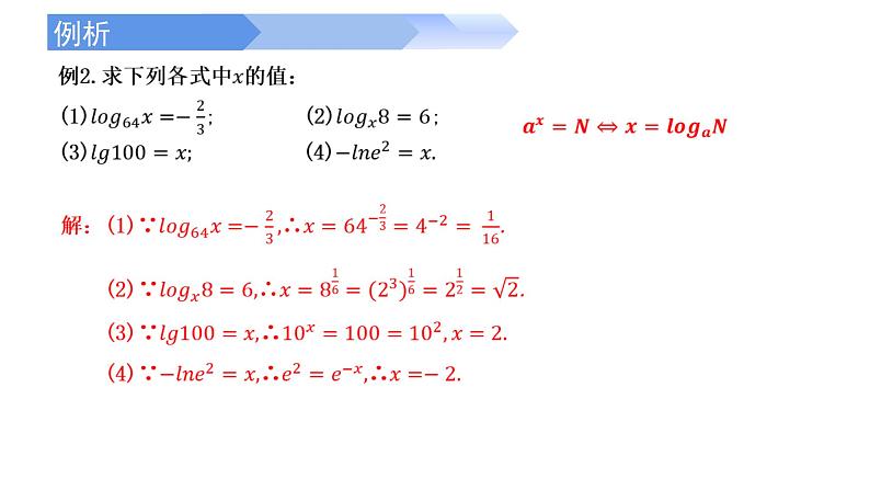
高中数学人教A版 (2019)必修 第一册4.3.2 对数的运算完整版教学作业课件ppt: 这是一份高中数学人教A版 (2019)必修 第一册<a href="/sx/tb_c4053119_t3/?tag_id=26" target="_blank">4.3.2 对数的运算完整版教学作业课件ppt</a>,文件包含2024-2025学年高中数学人教A版必修一432对数的运算PPTpptx、2024-2025学年高中数学人教A版必修一432对数的运算教案教学设计docx、2024-2025学年高中数学人教A版必修一432对数的运算分层作业教师版doc、2024-2025学年高中数学人教A版必修一432对数的运算分层作业doc、2024-2025学年高中数学人教A版必修一432对数的运算导学案doc等5份课件配套教学资源,其中PPT共23页, 欢迎下载使用。
人教A版 (2019)必修 第一册4.2.1 指数函数的概念优秀教学作业ppt课件: 这是一份人教A版 (2019)必修 第一册<a href="/sx/tb_c4053116_t3/?tag_id=26" target="_blank">4.2.1 指数函数的概念优秀教学作业ppt课件</a>,文件包含2024-2025学年高中数学人教A版必修一421指数函数的概念PPTpptx、2024-2025学年高中数学人教A版必修一42指数函数第1课时教案教学设计docx、2024-2025学年高中数学人教A版必修一421指数函数的概念分层作业教师版doc、2024-2025学年高中数学人教A版必修一421指数函数的概念分层作业doc、2024-2025学年高中数学人教A版必修一421指数函数的概念导学案doc等5份课件配套教学资源,其中PPT共21页, 欢迎下载使用。
高中数学人教A版 (2019)必修 第一册4.4.1 对数函数的概念公开课教学作业课件ppt: 这是一份高中数学人教A版 (2019)必修 第一册<a href="/sx/tb_c4053120_t3/?tag_id=26" target="_blank">4.4.1 对数函数的概念公开课教学作业课件ppt</a>,文件包含2024-2025学年高中数学人教A版必修一441对数函数的概念PPTpptx、2024-2025学年高中数学人教A版必修一441对数函数的概念教案教学设计docx、2024-2025学年高中数学人教A版必修一441对数函数的概念分层作业教师版docx、2024-2025学年高中数学人教A版必修一441对数函数的概念分层作业docx、2024-2025学年高中数学人教A版必修一441对数函数的概念导学案docx等5份课件配套教学资源,其中PPT共21页, 欢迎下载使用。

