数学3.4 分式的通分教课ppt课件
展开1.(2023山东淄博张店期中)分式 与 的最简公分母是 ( )A.x(x+5) B.(x+5)(x-5) C.x(x-5) D.x(x+5)(x-5)
2.(2024山东烟台莱州期中)分式 , , 的最简公分母是 .
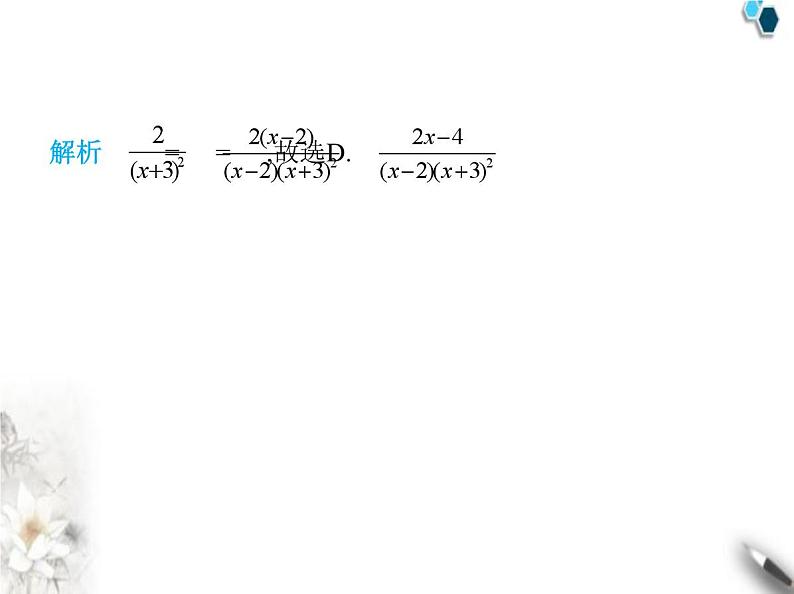
3.在 , , 通分的过程中,下列选项不正确的是 ( )A.最简公分母是(x-2)(x+3)2B. = C. = D. =
解析 = = ,故选D.
4.通分.(1) , ;(2) , ;(3)x-y, .
解析 (1)最简公分母是abc,所以 = , = .(2)最简公分母是2(x+3)(x-3),所以 = , = .(3)最简公分母是x+y,所以x-y= , = .
5.(2024山东菏泽巨野期中,11,★☆☆)以下三个分式 , , 的最简公分母是 .
2x(x+1)(x-1)
6.(2022河北张家口宣化期中,17,★☆☆)若将分式 与分式 通分后,分式 的分母变为2(x+y)(x-y),则分式 的分子应变为 .
7.(运算能力)若P= ,Q= ,且a>b>0,试比较P与Q的大小.
解析 因为P和Q的最简公分母是(a+b)(a-b)2,所以P= = = ,Q= = ,因为a>b>0,所以2 022(a+b)>2 022(a-b),a+b>0,所以 < ,即P
初中数学青岛版八年级上册3.4 分式的通分课前预习课件ppt: 这是一份初中数学青岛版八年级上册<a href="/sx/tb_c75253_t3/?tag_id=26" target="_blank">3.4 分式的通分课前预习课件ppt</a>,共15页。PPT课件主要包含了学习目标,分式的基本性质,最小公倍数,分数的通分,1求分式,的最简公分母,1系数,2因式,3因式的指数,分式通分基本步骤等内容,欢迎下载使用。
初中数学青岛版八年级上册3.4 分式的通分教案配套课件ppt: 这是一份初中数学青岛版八年级上册3.4 分式的通分教案配套课件ppt,共16页。PPT课件主要包含了问题导入,合作探究,xx-4,更简便,ab2,例题讲解,分式的基本性质,两个或两个以上,使分式化简,异分母化为同分母等内容,欢迎下载使用。
八年级上册3.4 分式的通分优质课件ppt: 这是一份八年级上册3.4 分式的通分优质课件ppt,共21页。PPT课件主要包含了思考1,通分的关键是,找最简公分母,思考2,例1通分,完成习题34等内容,欢迎下载使用。

