2025高考数学一轮课时作业第二章函数2.1函数的概念及其表示(附解析)
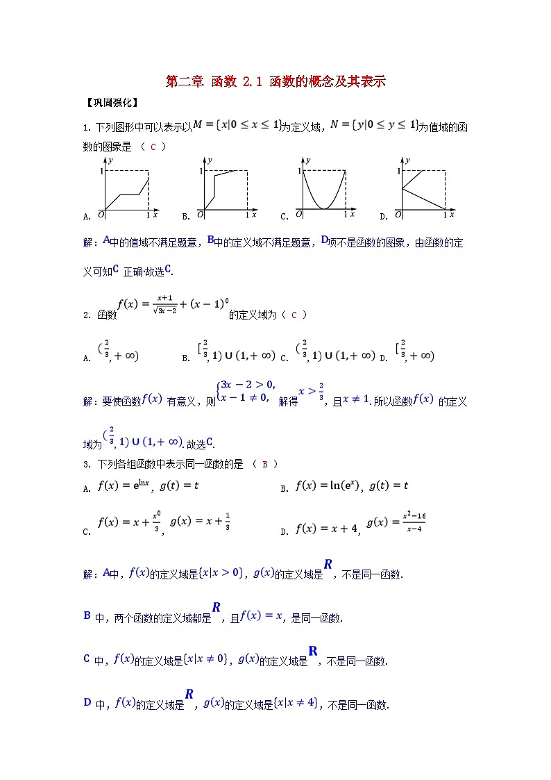
展开1. 下列图形中可以表示以为定义域,为值域的函数的图象是 ( C )
A. B. C. D.
解:中的值域不满足题意,中的定义域不满足题意,项不是函数的图象,由函数的定义可知 正确故选.
2. 函数的定义域为( C )
A. ,B. ,C. ,D. ,
解:要使函数 有意义,则 解得,且.所以函数 的定义域为,.故选.
3. 下列各组函数中表示同一函数的是 ( B )
A. ,B. ,
C. ,D. ,
解:中,的定义域是,的定义域是,不是同一函数.
中,两个函数的定义域都是,且,是同一函数.
中,的定义域是,的定义域是,不是同一函数.
中,的定义域是,的定义域是,不是同一函数.
故选.
4. 【多选题】已知函数则下列结论正确的是( BD )
A. 的定义域为B. 的值域为
C. D. 若,则
解:对于,易知 的定义域为,错误.
对于,当 时,;当 时,.所以 的值域为,正确.
对于,,错误.
对于,当 时,由,得,解得(舍去);当 时,由,得,解得 或(舍去).综上,,正确.故选.
5. 【多选题】已知函数的定义域和值域均为,则( ABC )
A. 函数的定义域为B. 函数的定义域为
C. 函数的值域为D. 函数的值域为
解:函数 中,,解得,故函数 的定义域为,正确.
函数 中,解得,故函数 的定义域为,正确.
函数 和 的值域都为,正确,错误.故选.
6. 已知则( B )
A. B. 4C. 2D.
解:因为,,所以.故选.
7. 已知函数 若,则实数 .
解:当 时,,所以 (舍去).当 时,,所以,符合题意.故填.
8. 求函数的解析式:
(1) 是二次函数,且满足,;
解:设所求的二次函数为.
因为,所以.
又,
所以,
即.
由恒等式性质,得 所以
所以.
(2) 满足.
[答案]
因为,
所以.
,得,
故.
【综合运用】
9. 若,则( A )
A. 8B. 3C. 1D. 30
解:(方法一)令,得,则.
则.
(方法二)令,得,故.
故选.
10. 若函数的值域为,则的取值范围为( B )
A. ,B. ,C. ,D. ,
解:当 时,,.
当 时,,.
因为函数 的值域为,
所以 即,.故选.
11. 已知函数则关于的不等式的解集为,..
解:由题意,可得 或 解得 或.
故不等式的解集为,.故填,.
12. 已知函数,,.
(1) 在同一直角坐标系中,分别画出函数,的图象;
解:函数 和 的图象如图1所示.
图1
(2) ,用表示,中的最小者,记为,,请分别用图象法和解析法表示函数.
[答案]
联立 整理得,解得 或.
结合图1,得当 时,,.
当 时,,.
当 时,,.
所以函数 的解析式为
函数 的图象如图2所示.
图2
【拓广探索】
高斯是德国著名的数学家,近代数学奠基者之一,享有“数学王子”的称号.设,用表示不超过的最大整数,则称为高斯函数.例如:
,.已知函数,则函数的值域为 (B)
A. B. ,C. D.
解:因为,,
所以 是 上的奇函数.
当 时,,
所以当 时,,.
从而 的值域为,.故选.
2024年数学高考大一轮复习第二章 §2.1 函数的概念及其表示: 这是一份2024年数学高考大一轮复习第二章 §2.1 函数的概念及其表示,共3页。试卷主要包含了已知f=lg x,则f的值为等内容,欢迎下载使用。
2024年数学高考大一轮复习第二章 §2.1 函数的概念及其表示: 这是一份2024年数学高考大一轮复习第二章 §2.1 函数的概念及其表示,共4页。试卷主要包含了1 函数的概念及其表示,了解函数的含义等内容,欢迎下载使用。
2024年数学高考大一轮复习第二章 §2.1 函数的概念及其表示(附答单独案解析): 这是一份2024年数学高考大一轮复习第二章 §2.1 函数的概念及其表示(附答单独案解析),共3页。试卷主要包含了已知f=lg x,则f的值为等内容,欢迎下载使用。

