数学(选拔卷03)-2024年小升初模拟卷(通用版)
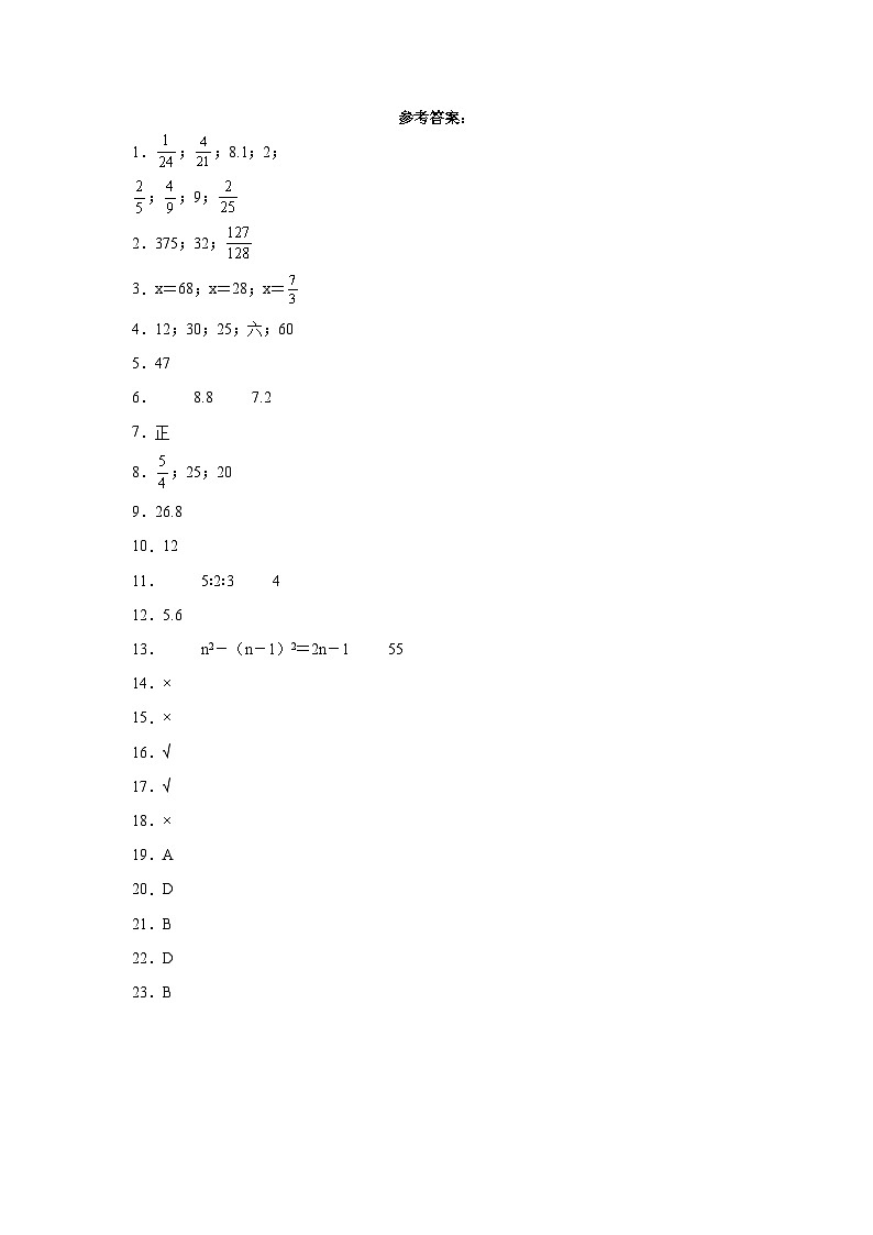
展开;;9;
2.375;32;
3.x=68;x=28;x=
4.12;30;25;六;60
5.47
6. 8.8 7.2
7.正
8.;25;20
9.26.8
10.12
11. 5∶2∶3 4
12.5.6
13. n2-(n-1)2=2n-1 55
14.×
15.×
16.√
17.√
18.×
19.A
20.D
21.B
22.D
23.B
24.
25.96千克;240千克
26.8元
27.243块
28.1000米
29.3人
30.39
浓度问题—小升初数学选拔专项复习卷(通用版): 这是一份浓度问题—小升初数学选拔专项复习卷(通用版),共34页。试卷主要包含了下面糖水中,最甜的是等内容,欢迎下载使用。
【小升初模拟卷】2023年小升初数学模拟卷3(通用版选拔卷): 这是一份【小升初模拟卷】2023年小升初数学模拟卷3(通用版选拔卷),文件包含A4原卷学易金卷2023年小升初数学模拟卷三重点校通用版docx、A3原卷学易金卷2023年小升初数学模拟卷三重点校通用版docx、A4解析学易金卷2023年小升初数学模拟卷三重点校通用版docx、答题卡学易金卷2023年小升初数学模拟卷三重点校通用版pdf等4份试卷配套教学资源,其中试卷共47页, 欢迎下载使用。
小升初数学模拟卷(通用版)选拔卷04: 这是一份小升初数学模拟卷(通用版)选拔卷04,共11页。试卷主要包含了选择题,填空题,计算题,应用题等内容,欢迎下载使用。

