2023-2024学年宁夏吴忠市高一上学期第二次月考数学模拟试题(含答案)
展开45,宁夏吴忠市吴忠中学2023-2024学年高二上学期期末数学试题: 这是一份45,宁夏吴忠市吴忠中学2023-2024学年高二上学期期末数学试题,共18页。
2023-2024学年山东省新泰市高一上学期第二次月考数学模拟试题(含答案): 这是一份2023-2024学年山东省新泰市高一上学期第二次月考数学模拟试题(含答案),共11页。
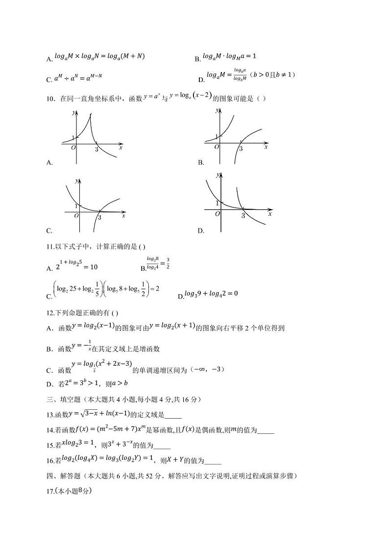
2023-2024学年宁夏石嘴山市平罗中学高一上学期第二次月考数学试题含答案: 这是一份2023-2024学年宁夏石嘴山市平罗中学高一上学期第二次月考数学试题含答案,共14页。试卷主要包含了单选题,多选题,单空题,填空题,计算题,作图题,问答题,证明题等内容,欢迎下载使用。

