所属成套资源:全套高考数学一轮复习课时分层作业含答案
高考数学一轮复习课时分层作业31平面向量的数量积及其应用含答案
展开
这是一份高考数学一轮复习课时分层作业31平面向量的数量积及其应用含答案,文件包含高考数学一轮复习课时分层作业31参考答案docx、高考数学一轮复习课时分层作业31平面向量的数量积及其应用含答案docx等2份试卷配套教学资源,其中试卷共12页, 欢迎下载使用。
一、选择题
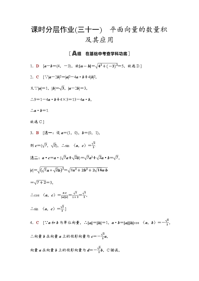
1.已知向量a=(2,1),b=(-2,4),则|a-b|=( )
A.2 B.3
C.4 D.5
2.(2022·全国乙卷)已知向量a,b满足|a|=1,|b|=3,|a-2b|=3,则a·b=( )
A.-2 B.-1
C.1 D.2
3.已知单位向量a,b满足a·b=0,若向量c=7a+2b,则sin 〈a,c〉等于( )
A.73 B.23
C.79 D.29
4.已知非零单位向量a和b,若a·b=-33,向量b在向量a上的投影向量为c,向量a在向量b上的投影向量为d,则下列结论错误的是( )
A.c=d B.a·b=a·c
C.d=33b D.c·d=-39
5.(多选)(2023·湖北天门模拟)已知向量a=(-2,1),b=(-1,t),则下列说法正确的是( )
A.若a⊥b,则t的值为-2
B.若a∥b,则t的值为12
C.若0<t<2,则a与b的夹角为锐角
D.若(a+b)⊥(a-b),则|a+b|=|a-b|
6.(多选)(2021·新高考Ⅰ卷)已知O为坐标原点,点P1(cs α,sin α),P2(cs β,-sin β),P3(cs (α+β),sin (α+β)),A(1,0),则( )
A.|OP1|=|OP2|
B.|AP1|=|AP2|
C.OA·OP3=OP1·OP2
D.OA·OP1=OP2·OP3
二、填空题
7.(2021·全国甲卷)已知向量a=(3,1),b=(1,0),c=a+kb.若a⊥c,则k=________.
8.(2020·全国Ⅰ卷)设a,b为单位向量,且|a+b|=1,则|a-b|=________.
9.(2021·新高考Ⅱ卷)已知向量a+b+c=0,|a|=1,|b|=|c|=2,则a·b+b·c+c·a=________.
三、解答题
10.已知|a|=4,|b|=3,(2a-3b)·(2a+b)=61.
(1)求a与b的夹角θ;
(2)求|a+b|;
(3)若AB=a,BC=b,求△ABC的面积.
11.已知向量a=sinx,34,b=(cs x,-1).
(1)当a∥b时,求cs2x-sin2x的值;
(2)设函数f(x)=2(a+b)·b,已知在△ABC中,内角A,B,C的对边分别为a,b,c,若a=3,b=2,sin B=63,求f(x)+4cs 2A+π6x∈0,π3的取值范围.
12.在△ABC中,已知ABAB+ACAC·BC=0,且ABAB·ACAC=12,则△ABC为( )
A.等边三角形
B.直角三角形
C.等腰三角形
D.三边均不相等的三角形
13.在△ABC中,∠A=90°,AB=AC=2,点M为边AB的中点,点P在边BC上,则MP·CP的最小值为________.
14.已知a,b是单位向量,a·b=0.若向量c满足|c-a-b|=1,则|c|的最大值是________.
15.已知△ABC的面积S满足3≤2S≤3,且AB·BC=3,AB与BC的夹角为θ.求AB与BC夹角的取值范围.
相关试卷
这是一份高考数学一轮复习课时分层作业49椭圆及其性质含答案,文件包含高考数学一轮复习课时分层作业49参考答案docx、高考数学一轮复习课时分层作业49椭圆及其性质含答案docx等2份试卷配套教学资源,其中试卷共12页, 欢迎下载使用。
这是一份高考数学一轮复习课时分层作业42空间向量的运算及其应用含答案,文件包含高考数学一轮复习课时分层作业42参考答案docx、高考数学一轮复习课时分层作业42空间向量的运算及其应用含答案docx等2份试卷配套教学资源,其中试卷共15页, 欢迎下载使用。
这是一份高考数学一轮复习课时分层作业14函数模型的应用含答案,文件包含高考数学一轮复习课时分层作业14函数模型的应用含答案docx、高考数学一轮复习课时分层作业14参考答案docx等2份试卷配套教学资源,其中试卷共11页, 欢迎下载使用。

