还剩22页未读,
继续阅读
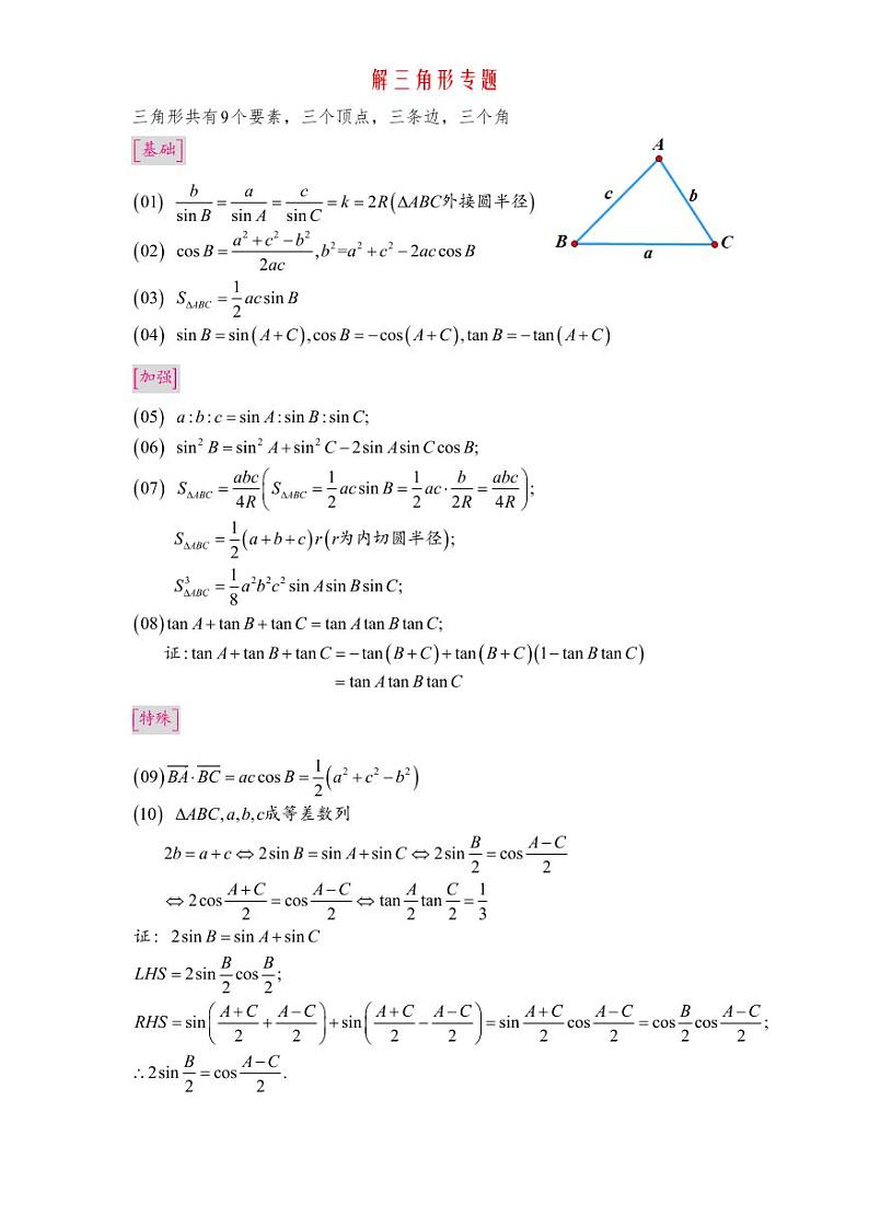
2024年数学重难点——解三角形专题(清北班教师版)
展开
这是一份2024年数学重难点——解三角形专题(清北班教师版),共25页。
相关试卷
衡水中学【高三清北F班】二轮冲刺数学讲义:
这是一份衡水中学【高三清北F班】二轮冲刺数学讲义,共20页。
高考数学专题-解三角形清北班讲义含解析:
这是一份高考数学专题-解三角形清北班讲义含解析,文件包含解三角形清北班教师版pdf、解三角形清北班学生版pdf等2份试卷配套教学资源,其中试卷共50页, 欢迎下载使用。
清北教育高考数学二轮专题精练教师版3:
这是一份清北教育高考数学二轮专题精练教师版3,共201页。试卷主要包含了线面垂直的性质等内容,欢迎下载使用。

