人教A版 (2019)选择性必修 第一册3.1 椭圆课文ppt课件
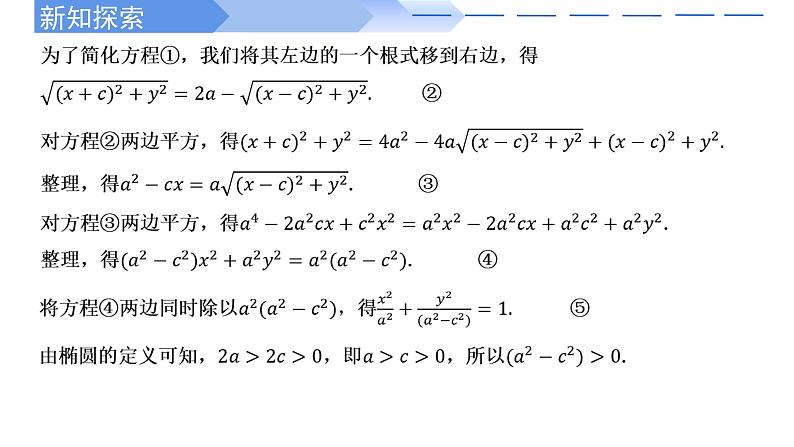
展开下面我们根据椭圆的几何特征,选择适当的坐标系,建立椭圆的方程.
高中3.1 椭圆教课ppt课件: 这是一份高中3.1 椭圆教课ppt课件,共21页。PPT课件主要包含了知识点1椭圆的定义,椭圆标准方程,a2b2+c2等内容,欢迎下载使用。
高中数学人教A版 (2019)选择性必修 第一册3.1 椭圆精品课件ppt: 这是一份高中数学人教A版 (2019)选择性必修 第一册3.1 椭圆精品课件ppt,共31页。PPT课件主要包含了学习目标,自主学习,小试牛刀,经典例题,当堂达标等内容,欢迎下载使用。
2021学年3.1 椭圆课前预习ppt课件: 这是一份2021学年3.1 椭圆课前预习ppt课件,共17页。PPT课件主要包含了创设情景提出问题,天体的运行,生活中的椭圆,由椭圆定义可知,整理得,两边再平方得,移项再平方,也是椭圆的标准方程,焦点在y轴,焦点在x轴等内容,欢迎下载使用。

