重庆市巴蜀中学校2022-2023学年高一上学期10月月考数学试题及参考答案
展开重庆市巴蜀中学校2022-2023学年高一上学期期中数学试题: 这是一份重庆市巴蜀中学校2022-2023学年高一上学期期中数学试题,文件包含重庆市巴蜀中学校2022-2023学年高一上学期期中数学试题教师版含解析docx、重庆市巴蜀中学校2022-2023学年高一上学期期中数学试题学生版docx等2份试卷配套教学资源,其中试卷共26页, 欢迎下载使用。
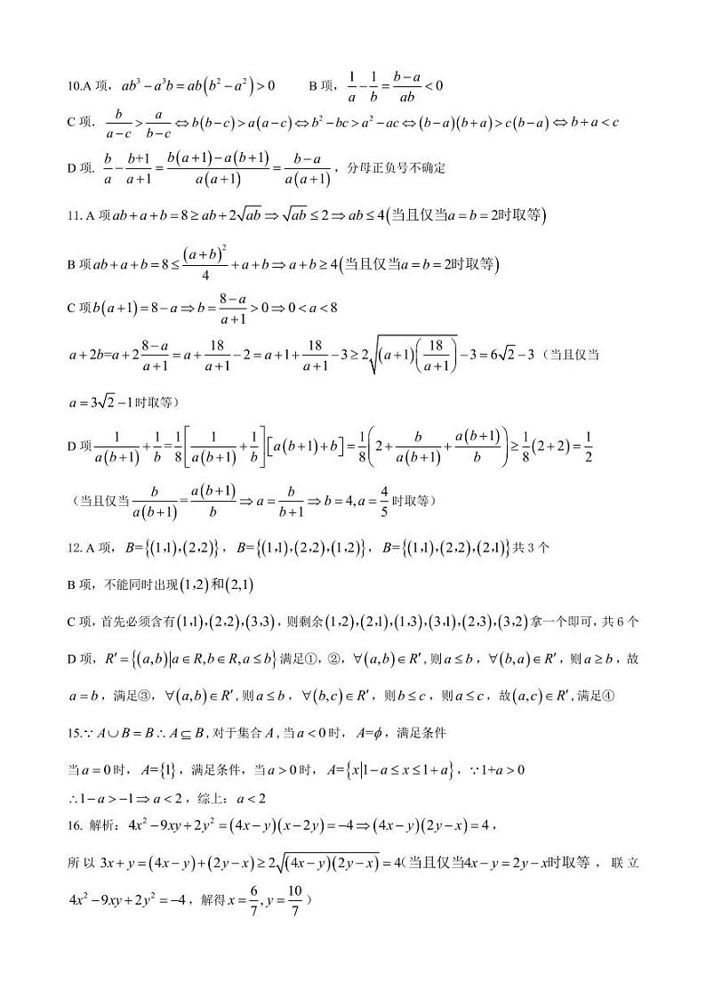
重庆市巴蜀中学校2022-2023学年高一上学期期中数学试题(学生版): 这是一份重庆市巴蜀中学校2022-2023学年高一上学期期中数学试题(学生版),共5页。试卷主要包含了 已知,则, 函数的最小值为, 下列条件中能使成立的有等内容,欢迎下载使用。
重庆市巴蜀中学校2022-2023学年高一上学期期末考试数学试题: 这是一份重庆市巴蜀中学校2022-2023学年高一上学期期末考试数学试题,共8页。试卷主要包含了 下列不等式一定成立的是, 已知定义在R上的函数满足, 已知集合,则有, 已知函数,则等内容,欢迎下载使用。

