中考数学二轮压轴培优专题 二次函数与角的关系综合问题(2份打包,教师版+原卷版)
展开
这是一份中考数学二轮压轴培优专题 二次函数与角的关系综合问题(2份打包,教师版+原卷版),文件包含中考数学二轮压轴培优专题二次函数与角的关系综合问题教师版doc、中考数学二轮压轴培优专题二次函数与角的关系综合问题原卷版doc等2份试卷配套教学资源,其中试卷共32页, 欢迎下载使用。
如图,直线y=mx+n与抛物线y=﹣x2+bx+c交于A(﹣2,0),B(2,2)两点,直线AB与y轴交于点C.
(1)求抛物线与直线AB的解析式;
(2)点P在抛物线上,直线PC交x轴于Q,连接PB,当△PBC的面积是△ACQ面积的2倍时,求点P的坐标;
(3)点M为坐标轴上的动点,当∠AMB=45°时,直接写出点M的坐标.
【答案解析】解:(1)将A(﹣2,0),B(2,2)代入y=﹣x2+bx+c得
,解得,
∴抛物线解析式为y=﹣x2+eq \f(1,2)x+5.
将A(﹣2,0),B(2,2)代入y=mx+n得
,解得,
∴直线AB解析式为y=eq \f(1,2)x+1.
(2)①点P在x轴上方是,过点P作x轴平行线,交y轴于点F,交直线AB于点E,
将x=0代入y=eq \f(1,2)x+1得y=1,
∴点C坐标为(0,1),
∵A(﹣2,0),B(2,2),
∴C为AB中点,即AC=BC,
∴当△PBC的面积是△ACQ面积的2倍时,点P到BC的距离是点Q到AC的距离的2倍,
∵PE∥OA,
∴△EPC∽△AQC,
∴=2,
∵PF∥OA,
∴△PFC∽△OQC,
∴==2,
∴点P纵坐标为FC+OC=3OC=3,
将y=3代入y=﹣x2+eq \f(1,2)x+5得3=﹣x2+eq \f(1,2)x+5,
解得x1=﹣,x2=+,
∴点P坐标为(﹣,3)或(+,3).
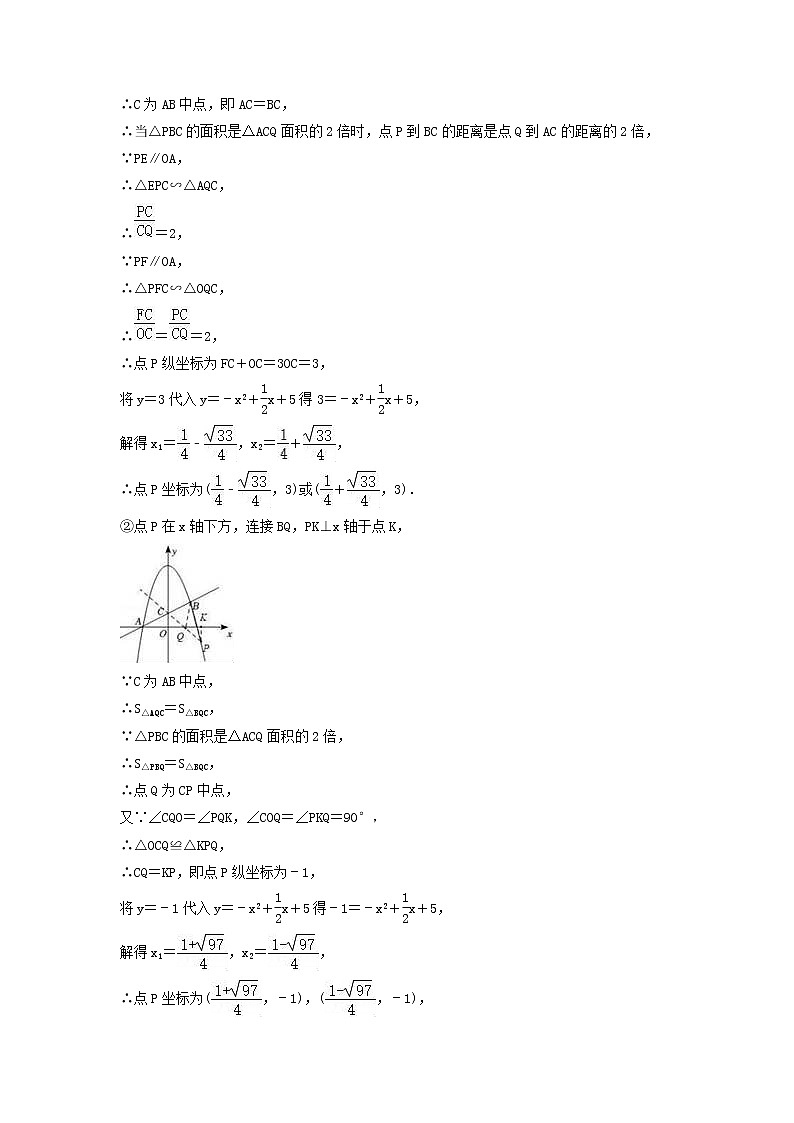
②点P在x轴下方,连接BQ,PK⊥x轴于点K,
∵C为AB中点,
∴S△AQC=S△BQC,
∵△PBC的面积是△ACQ面积的2倍,
∴S△PBQ=S△BQC,
∴点Q为CP中点,
又∵∠CQO=∠PQK,∠COQ=∠PKQ=90°,
∴△OCQ≌△KPQ,
∴CQ=KP,即点P纵坐标为﹣1,
将y=﹣1代入y=﹣x2+eq \f(1,2)x+5得﹣1=﹣x2+eq \f(1,2)x+5,
解得x1=,x2=,
∴点P坐标为(,﹣1),(,﹣1),
综上所述,点P坐标为(﹣,3)或(+,3)或(,﹣1)或(,﹣1),
(3)①点M在x轴正半轴上,作BN⊥x轴于点N,
∵∠AMB=45°,
∴△BNM为等腰直角三角形,
∴BN=NM=2,
∴OM=ON+NM=4,
∴点M坐标为(4,0).
②如图,点M在y轴负半轴,作AG⊥BM于点G,
∵AB长度不变,∠AMB=45°,
∴点A,B,C在同一个圆上,
∵∠AGB=2∠AMB=90°,
∴点G为△AMB外接圆圆心,
∴GA=GM=GB,即△AMB为等腰直角三角形,
∴AM=AB=2eq \r(5),
在Rt△AOM中,由勾股定理得OM=4,
∴点M坐标为(0,﹣4),
③点M1与点M关于点C对称,则四边形AMBM1为平行四边形,∠AM1B=45°,
∴点M1坐标为(0,6).
∴点M坐标为(4,0)或(0,﹣4)或(0,6).
如图1,在平面直角坐标系中,点O为坐标原点,抛物线y=ax2+bx+4与x轴交于点A、B(点A在点B左侧),与y轴交于点C,直线y=﹣x+4经过B、C两点,OB=4OA.
(1)求抛物线的解析式;
(2)如图2,点P为第四象限抛物线上一点,过点P作PD⊥x轴交BC于点D,垂足为N,连接PC交x轴于点E,设点P的横坐标为t,△PCD的面积为S,求S与t的函数关系式;
(3)在(2)的条件下,如图3,过点P作PF⊥PC交y轴于点F,PF=PE.点G在抛物线上,连接PG,∠CPG=45°,连接BG,求直线BG的解析式.
【答案解析】解:(1)在直线y=﹣x+4中,令x=0,则y=4,
∴C(0,4),
令y=0,则x=4,
∴B(4,0),
∴OB=4,
∵OB=4OA,
∴OA=1,
∴A(1,0),
将A(1,0),B(4,0)代入y=ax2+bx+4,
∴,解得,
∴y=x2﹣5x+4;
(2)∵点P的横坐标为t,
∴P(t,t2﹣5t+4)(1<t<4),
∵PD⊥x轴,
∴D(t,﹣t+4),
∴PD=﹣t+4﹣t2+5t﹣4=﹣t2+4t,
∴S=eq \f(1,2)×t×(﹣t2+4t)=﹣eq \f(1,2)t3+2t2;
(3)过点P作PM⊥y轴交于M,
∵PN⊥x轴,
∴∠NPM=90°,
∵PF⊥PC,
∴∠FPE=90°,
∴∠FPM=∠EPN,
∵PE=PF,
∴△PFM≌△PEN(ASA),
∴PM=PN,
∴t=﹣(t2﹣5t+4),
解得t=2,
∴P(2,﹣2),
∵PD∥OC,
∴∠OCA=∠CPD,
∵∠OCB=∠CPG=45°,
∴∠PCB=∠DPG,
又∵PD∥OC,
∴=,即=,解得EN=,
∴BE=2+=,过点E作EK⊥BC交于K,
∵∠OBC=45°,
∴EK=BK=,∴CK=4﹣=,
∴tan∠ECB==,
过点G作GH⊥PD交PD的延长线于点H,
设G(m,m2﹣5m+4),
∴=,
解得m=2(舍)或m=5,
∴G(5,4),
设直线BG的解析式为y=kx+n,
∴,解得,
∴y=4x﹣16.
如图,已知抛物线y=﹣eq \f(1,8)x2+bx+c经过点A(0,2),B(8,0),点D是第一象限抛物线上的一点,CD⊥AB于点C.
(1)直接写出抛物线的表达式 ;
(2)如图1,当CD取得最大值时,求点D的坐标,并求CD的最大值;
(3)如图2,点D满足(2)的条件,点P在x轴上,且∠APD=45°,直接写出点P的横坐标 .
【答案解析】解:(1)将x=0,y=2代入抛物线的表达式得:c=2,
将x=8,y=0代入得,﹣eq \f(1,8)×82+8b+2=0,∴b=eq \f(3,4),
∴y=﹣eq \f(1,8)x2+eq \f(3,4)x+2,
(2)如图1,
作DF⊥OB于F,交AB于E,
∴∠DCE=∠BFE=90°,
∵∠CED=∠BEF,
∴∠D=∠ABO,
∴△DCE∽△BOA,
∴,
∵OB=8,AB=2eq \r(17),
∴,∴CD=DE,设D(m,﹣eq \f(1,8)m2+eq \f(3,4)m+2),
∵A(0,2),B(8,0),
∴直线AB的表达式为:y=﹣eq \f(1,4)x+2,
∴E(m,﹣eq \f(1,4)m+2),
∴DE=(﹣eq \f(1,8)m2+eq \f(3,4)m+2)﹣(﹣eq \f(1,4)m+2)=﹣eq \f(1,8)(m﹣4)2+2,
∴当m=4时,DE最大=2,
∴CD最大=,
当x=4时,y=3,∴D(4,3);
(3)如图2,作△APD的外接圆I,连接AI,DI,
∴∠AID=2∠APD=90°,设I(a,b),P(n,0),
作IR⊥y轴于R,作DT⊥RI,交RI的延长线于T,
∴∠ARI=∠T=90°,
∴∠AIR+∠RAI=90°,
∵∠AID=90°,
∴∠AIR+∠DIT=90°,、
∴∠RAI=∠DIT,
∵AI=DI,
∴△ARI≌△ITD(AAS),
∴AR=IT=2﹣b,RI=DT=a,
∵DT=3﹣b,
∴a=3﹣b,
∵RI+IT=4,
∴a+2﹣b=4,
∴a=eq \f(5,2),b=eq \f(1,2),∴I(eq \f(5,2),eq \f(1,2)),
由PI2=AI2得,(n﹣eq \f(5,2))2+(eq \f(1,2))2=(eq \f(5,2))2+(2﹣eq \f(1,2))2,
∴n=,∴P点横坐标为:或.
如图,抛物线y=mx2+(m2+3)x﹣(6m+9)与x轴交于点A,B,与y轴交于点C,已知点B(3,0).
(1)求直线BC及抛物线的函数表达式;
(2)P为x轴上方抛物线上一点.
①若S△PBC=S△ABC,请直接写出点P的坐标;
②如图,PD∥y轴交BC于点D,DE∥x轴交AC于点E,求PD+DE的最大值;
(3)Q为抛物线上一点,若∠ACQ=45°,求点Q的坐标.
【答案解析】解:(1)将点B(3,0)代入y=mx2+(m2+3)x﹣(6m+9),
∴m2+m=0,
解得m=0(舍)或m=﹣1,
∴y=﹣x2+4x﹣3,
令x=0,则y=﹣3,
∴C(0,﹣3),
设直线BC的函数表达式为y=kx+b,
将点B(3,0),C(0,﹣3)代入,
得,解得,
∴y=x﹣3;
(2)①如图1,过点A作AP∥BC,则S△PBC=S△ABC,
∵直线BC的解析式为y=x﹣3,
∴直线AP的表达式为y=x﹣1.
联立.解得 (舍)或,
∴P(2,1);
②由(1)知直线BC的表达式为y=x﹣3,
设直线AC的解析式为y=k'x+b',
∴,解得,
∴y=3x﹣3,
设点P(t,﹣t2+4t﹣3),则点D(t,t﹣3),,
∴PD=﹣t2+4t﹣3﹣(t﹣3)=﹣t2+3t,,
∴=﹣(t﹣)2+,
∴当时,PD+DE取最大值;
(3)如图2,在抛物线上取点Q,使∠ACQ=45°,
过点B作BM⊥BC,交CQ的延长线于点M,过点M作MN⊥x轴于点N,
∵B(3,0),C(0,﹣3)
∴OB=OC=3,BC=3eq \r(2),
∴△OBC为等腰直角三角形,
∴△BMN为等腰直角三角形,
∵∠ACQ=45°,
∴∠OCA=∠BCM,
∵A(1,0),
∴,∴,
∵,∴,
∴BN=NM=1,
∴M(4,﹣1),
∴直线CQ的解析式为y=eq \f(1,2)x﹣3,
设点Q(n,eq \f(1,2)n﹣3),∴eq \f(1,2)x﹣3=﹣n2+4n﹣3,
整理得:n2﹣eq \f(7,2)n=0,解得n=eq \f(7,2)或n=0(舍),
∴Q(eq \f(7,2),﹣eq \f(5,4)).
如图,已知抛物线y=ax2+bx﹣8与x轴交于点A(﹣2,0),B(8,0)两点,与y轴交于点C,点P是直线BC下方抛物线上一动点,过点P作直线PE∥y轴,交直线BC于点D,交x轴于点F,以PD为斜边,在PD的右侧作等腰直角△PDF.
(1)求抛物线的表达式,并直接写出直线BC的表达式;
(2)设点P的横坐标为m(0<m<3),在点P运动的过程中,当等腰直角△PDF的面积为9时,请求出m的值;
(3)连接AC,该抛物线上是否存在一点M,使∠ACO+∠BCM=∠ABC,若存在,请直接写出所有符合条件的点M的坐标,若不存在,请说明理由.
【答案解析】解:(1)把A(﹣2,0),B(8,0)分别代入y=ax2+bx﹣8中,
则,解得,
∴抛物线的表达式为y=eq \f(1,2)x2﹣3x﹣8;
令x=0.则y=﹣8,
∴C(0,﹣8),
设直线BC解析式为y=kx﹣8(k≠0),
把B(8,0)代入解析式得,8k﹣8=0,
解得:k=1,
∴直线BC解析式为y=x﹣8;
(2)∵点P的横坐标为m(0<m<3),
∴P(m,eq \f(1,2)m2﹣3m﹣8),D(m,m﹣8),
∴PD=(m﹣8)﹣(eq \f(1,2)m2﹣3m﹣8)=﹣eq \f(1,2)m2+4m,过点P作PN⊥PD于N,
∵△PDF是等腰直角三角形,PD为斜边,
∴PN=DN,
∴FN=eq \f(1,2)PD,
∴S△PDF=eq \f(1,2)PDFN=eq \f(1,4)PD2=9,
∴PD=6,
∴﹣eq \f(1,2)m2+4m=6,解得:m1=6,m2=2,
又∵0<m<3,
∴m=2;
(3)存在,理由如下:由(2)得△BOC为等腰直角三角形,
∴∠ACO+∠BCM=∠ABC=∠BCO=45°,
①如图,当点M在BC的上方时,设CM与x轴交于一点D,
∵∠ACO+∠BCD=∠ABC=∠BCO=∠OCD+∠BCD,
∴∠ACO=∠DCO,
∵OC⊥AD,OC=OC,
∴△AOC≌△COD(ASA),
∴OD=OA=2,
∴D(2,0),
设直线CM解析式为y=nx﹣8(n≠0),
则2n﹣8=0,解得:n=4,
∴直线CM解析式为y=4x﹣8,
则,解得:或 (舍去),
∴此时点M的坐标为(14,48);
②如图,当点M在BC的下方时,
过B作x轴的垂线,过C作y轴的垂线,两条垂线交于一点H,作∠HCK=∠ACO,CK交抛物线与点M,
由(2)得△BOC为等腰直角三角形,
∴∠ABC=∠BCO=45°,
∴∠BCH=45°,
即∠BCM+∠MCH﹣45°,
∵∠ACO+∠BCM=∠ABC=45°,
∴∠ACQ=∠MCH,
又∵∠AOC=∠KHC=90°,
∵OB=OC.∠COB=∠OCH=∠OBH=90°,
∴四边形OCHB正方形,
∵OC=OH,
∴△AOC≌△KHC(ASA),
∴KH=OA=2,
∴BK=BH﹣KH=8﹣2=6,
∴K(8,﹣6),
设直线CK的解析式为y=ex﹣8(e≠0),
∴﹣6=8e﹣8,解得:e=eq \f(1,4),
∴直线CK的解析式为y=eq \f(1,4)x﹣8,
则,解得或 (舍去),∴M(,﹣);
综上所述,点M坐标为(14,48)或(,﹣).
已知二次函数y=x2+(k﹣2)x﹣2k.
(1)当此二次函数的图象与x轴只有一个交点时,求该二次函数的解析式;
(2)当k>0时,直线y=kx十2交抛物线于A,B两点(点A在点B的左侧),点P在线段AB上,过点P做PM垂直x轴于点M,交抛物线于点N.
①求PN的最大值(用含k的代数式表示);
②若抛物线与x轴交于E,F两点,点E在点F的左侧.在直线y=kx+2上是否存在唯一一点Q,使得∠EQO=90°?若存在,请求出此时k的值;若不存在,请说明理由.
【答案解析】解:(1)当y=0时,x2+2(k﹣2)x﹣2k=0,
∴(x﹣2)(x+k)=0,
∴x1=2,x2=﹣k,
∵二次函数的图象与x轴只有一个交点,
∴k=﹣2,
∴该二次函数的解析式为y=x2﹣4x+4;
(2)①设点P的坐标为(m,km+2),则点N的坐标为(m,m2+(k﹣2)m﹣2k),
∴PN=km+2﹣[m2+(k﹣2)m﹣2k]=﹣m2+2m+2+2k=﹣(m﹣1)2+3+2k,
∴当m=1时,PN取得最大值,最大值为3+2k;
②如图,存在唯一的Q点,使∠EQO=90°:设直线y=kx+2交x周于G,交y轴于H,OE的中点记作I,作IQ⊥GH于Q,连接IH,
当IQ=eq \f(1,2)OE,∠EQO=90°且有唯一的点Q,
当y=0时,kx+2=0,
∴x=﹣,∴OG=,
当x=0时,y=2,
∴OH=2,
∴GH=,
由(1)知:OE=k,∴OI=IQ=,
∵S△GOH=S△HOI+S△GIH,
∴,
∴2×=2×+,
∴k=eq \f(4,3).
在平面直角坐标系中,点O为坐标系的原点,经过点B(3,6)的抛物线y=-eq \f(1,2)x2+bx与x轴的正半轴交于点A.
(1)求抛物线的解析式;
(2)如图1,点P为第一象限抛物线上的一点,且点P在抛物线对称轴的右侧,连接OP,AP,设点P的横坐标为t,△OPA的面积为S,求S与t的函数解析式(不要求写出自变量t的取值范围);
(3)如图2,在(2)的条件下,当S=17.5时,连接BP,点C为线段OA上的一点,过点C作x轴的垂线交BP的延长线于点D,连接OD,BC,若∠ODB-eq \f(1,2)∠CBD=∠AOP,求点C的坐标.
【答案解析】解:(1)根据题意得:6=﹣eq \f(1,2)×32+3b,解得:b=eq \f(7,2),
∴抛物线的解析式为:y=﹣eq \f(1,2)x2+eq \f(7,2)x;
(2)过点P作PE⊥x轴,垂足为点E,如图:
∵点P在抛物线y=﹣eq \f(1,2)x2+eq \f(7,2)x上,点P的横坐标为t,
∴P(t,﹣eq \f(1,2)t2+eq \f(7,2)t),∴PE=﹣eq \f(1,2)t2+eq \f(7,2)t,
在y=﹣eq \f(1,2)x2+eq \f(7,2)x中,令y=0,得﹣eq \f(1,2)x2+eq \f(7,2)x=0,解得x1=0,x2=7,
∴点A的坐标为(7,0),∴S=eq \f(1,2)OAPE=eq \f(1,2)×7(﹣eq \f(1,2)t2+eq \f(7,2)t)=﹣eq \f(7,4)t2+12.25t;
答:S与t的函数解析式为S=﹣eq \f(7,4)t2+12.25t;
(3)过点P作PE⊥x轴,垂足为点E,过点B作FG⊥y轴,垂足为点F,FG交EP的延长线于点G,取OD的中点M,连接BM,CM,延长BM交x轴于点N,延长CM至点H,如图:,
当S=17.5时,17.5=﹣t2+12.25t,
解得t1=2,t2=5,
∵抛物线y=﹣eq \f(1,2)x2+eq \f(7,2)x的对称轴为直线x=eq \f(7,2),点P在对称轴的右侧,
∴t=5,
∴点P的坐标为(5,5),
∵FG⊥y轴,
∴∠BFO=∠PEA=90°,
又∵∠FOA=90°,
∴∠BFO+∠FOA=180°,
∴FG∥OA,
∴∠G=∠PEA=90°,
∵点P的坐标为(5,5),
∴PE=OE,
∴∠POE=∠OPE=45°,
∵B(3,6),
∴BG=2,PG=1,
在Rt△OBF中,,
在Rt△PBG中,,
∴tan∠BOF=tan∠PBG,
∴∠BOF=∠PBG,
又∵∠BOF+∠OBF=90°,
∴∠PBG+∠OBF=90°,
∴∠OBP=90°,
设∠CBD=2α,
∵∠ODB-eq \f(1,2)∠CBD=∠AOP,
∴∠ODB=eq \f(1,2)∠CBD+POA=α+45°,
∵∠OBD=∠OCD=90°,
∴BM=OM=DM=CM,
∴∠MBD=∠BDM=α+45°,
∴∠MCB=∠MBC=α+45°﹣2α=45°﹣α,∠OMN=∠BMD=180°﹣2(α+45°)=90°﹣2α,∠BMO=2α+90°,
∴∠BMH=∠MCB+∠MBC=90°﹣2α,
∴∠OMH=∠BMO﹣∠BMH=(2α+90°)﹣(90°﹣2α)=4α,
∴∠CMN=180°﹣∠OMH﹣∠OMN=180°﹣4α﹣(90°﹣2α)=90°﹣2α=∠OMN,
∵OM=CM,
∴BN⊥x轴,CN=ON,
∴CN=ON=3,
∴OC=6,
∴点C的坐标为(6,0).
已知抛物线y=ax2+bx+c(a<0)过点A(﹣1,0)和C(0,3),与x轴交于另一点B,顶点为D.
(1)求a、b满足的关系式;
(2)对于抛物线上的任意两点P1(x1,y1),P2(x2,y2),当y1=y2时,恒有|x1﹣1|=|x2﹣1|.
①求抛物线解析式;
②AC与BD的延长线交于点H,在x轴上方的抛物线上是否存在点P,使得∠OPB=∠AHB.若存在,求出一个符合条件的点P的坐标;若不存在,请说明理由.
【答案解析】解:(1)∵抛物线y=ax2+bx+c(a<0)过点A(﹣1,0)和C(0,3),
∴,∴a﹣b+3=0,
∴a﹣b=﹣3;
(2)①∵对于抛物线上的任意两点P1(x1,y1),P2(x2,y2),当y1=y2时,恒有|x1﹣1|=|x2﹣1|,
∴该抛物线的对称轴为直线x=1.
∴=1.
∴b=﹣2a.
∵a﹣b=﹣3,
∴a﹣(﹣2a)=﹣3,
∴a=﹣1.
∴b=﹣2a=2.
∴抛物线解析式为y=﹣x2+2x+3;
②在x轴上方的抛物线上存在点P,使得∠OPB=∠AHB,符合条件的点P的坐标为(0,3).理由:
令y=0,则﹣x2+2x+3=0,解:x=3或﹣1,
∴B(3,0).
∵y=﹣x2+2x+3=﹣(x﹣1)2+4,
∴D(1,4).
设直线AC的解析式为y=dx+e,
∴,解得:,
∴直线AC的解析式为y=3x+3.
设直线BD的解析式为y=kx+n,
,解得:.
∴直线BD的解析式为y=﹣2x+6.
∴,解得:,
∴H(eq \f(3,5),eq \f(24,5)).
过点H作HE⊥OB于点E,过点A作AF⊥HB于点F,如图,
则HE=eq \f(24,5),OE=eq \f(3,5).∵B(3,0),A(﹣1,0),C(0,3),
∴OB=3,OC=3,OA=1.
∴BE=OB﹣OE=eq \f(12,5),AB=OA+OB=4.
∴BH=eq \f(12,5)eq \r(5).
∵∠HEB=∠OFB=90°,∠HBE=∠OBF,
∴△HEB∽△OFB,
∴,∴,
∴BF=eq \f(4\r(5),5),AF=eq \f(8\r(5),5).
∴HF=HB﹣BF=eq \f(8\r(5),5),
∴AF=HF,
∵AF⊥BD,
∴△AFH为等腰直角三角形,
∴∠AHB=45°.
∵OB=OC=3,∠COB=90°,
∴∠OCB=∠OBC=45°,
∴当点P与点C重合时,满足∠OPB=∠AHB=45°,
∴在x轴上方的抛物线上存在点P,使得∠OPB=∠AHB,符合条件的点P的坐标为(0,3).
抛物线y=﹣x2+bx+c经过点A(﹣1,0)和点B(3,0),与y轴交于点C.
(1)求该抛物线的函数表达式;
(2)如图1,点M是第一象限内抛物线上一动点,过点M作MF⊥x轴于点F,作ME⊥y轴于点E,当矩形MEOF周长最大时,求M点坐标.
(3)如图2,点P是该抛物线上一动点,连接PC,AC,直接写出使得∠PCB=∠ACO时点P的坐标.
【答案解析】解:(1)把点A(﹣1,0)和点B(3,0)代入y=﹣x2+bx+c得,
,∴该抛物线的函数表达式为y=﹣x2+2x+3;
(2)∵点M是第一象限内抛物线上一动点,
∴设M(m,﹣m2+2m+3),
∵MF⊥x轴于点F,作ME⊥y轴于点E,
∴F(m,0),E(0,﹣m2+2m+3),
∵四边形MEOF是矩形,
∴EM=OF=m,OE=MF=﹣m2+2m+3,
∴矩形MEOF的周长=2m+2(﹣m2+2m+3)=﹣2m2+6m+6=﹣2(m﹣eq \f(3,2))2+eq \f(21,2),
∴当m=eq \f(3,2)时,矩形MEOF周长最大,∴M点坐标为(eq \f(3,2),eq \f(15,4));
(3)在y=﹣x2+2x+3中,令x=0,则y=3,
∴C(0,3),
∵B(3,0),
∴OC=3,OB=3,
∴BC=3eq \r(2),
如图2,在CP上找一点Q,作QB⊥CB,QH⊥x轴
∴∠CBQ=∠BHQ=90°,
∵∠PCB=∠ACO,∠AOC=∠CBQ=90°,
∴△AOC∽△QBC,
∴BC:BQ=CO:AO=3:1,
∴BQ=eq \r(2),
∵∠OCB+∠CBO=∠CBO+∠QBH=90°,
∴∠OCB=∠QBH,
∴△COB∽△BHQ,
∴,∴==,
∴BH=QH=1,∴Q(4,1)或(2,﹣1),
则直线CQ函数为y=﹣eq \f(1,2)x+3或y=﹣2x+3,
解或,得或,
∴P坐标为(eq \f(5,2),eq \f(7,4))或(4,﹣5).
抛物线y=x2﹣4x+c与直线I:y=kx交于点G(1,m)和点H,﹣1≤m<0,直线x=m﹣1交直线l于点A,交抛物线于点B.
(1)求c和k的值(用含m的代数式表示);
(2)过点A作x轴的平行线交抛物线于M,N两点(M在N的左侧),交y轴于点C.求的取值范围;
(3)在(2)的条件下,过点B作x轴的平行线,与抛物线另一个交点为D,若点E是线段BD的中点,探究∠MEN与∠ABC的数量关系,并说明理由.
【答案解析】解:(1)∵抛物线y=x2﹣4x+c与直线I:y=kx交于点G(1,m),
∴m=12﹣4×1+c,m=k×1,
∴c=m+3,k=m;
(2)∵直线x=m﹣1交直线l于点A,
∴y=m(m﹣1)=m2﹣m,
∴A(m﹣1,m2﹣m),
∵直线x=m﹣1交抛物线于点B,
∴y=x2﹣4x+m+3=(m﹣1)2﹣4(m﹣1)+m+3=m2﹣5m+8,
∴B(m﹣1,m2﹣5m+8),
∴AB=﹣4m+8,
∵过点A作x轴的平行线交抛物线于M,N两点(M在N的左侧),交y轴于点C,
∴C(0,m2﹣m),点M的纵坐标与点A的纵坐标相等,
∴m2﹣m=x2﹣4x+m+3,
解得:x1=m+1,x2=﹣m+3,
∴M(m+1,m2﹣m),N(﹣m+3,m2﹣m),
∴AM=m+1﹣(m﹣1)=2,
∴==﹣2m+4,
∵﹣2<0,且﹣1≤m<0,
∴的值随着m的增大而减小,
当m=﹣1时,=﹣2×(﹣1)+4=6,
当m=0时,=﹣2×0+4=4,
∴4≤≤6;
(3)∠MEN=2∠ABC.理由如下:
∵BD∥x轴,
∴点D的纵坐标与点B的纵坐标相等,
∴m2﹣5m+8=x2﹣4x+m+3,解得:x1=m﹣1,x2=﹣m+5,
∴D(﹣m+5,m2﹣5m+8),
∵点E是线段BD的中点,
∴E(2,m2﹣5m+8),
如图,设直线x=2交直线MN于点F,则F(2,m2﹣m),
∴MF=NF=﹣m+1,EF=m2﹣5m+8﹣(m2﹣m)=﹣4m+8,
∵AC=0﹣(m﹣1)=﹣m+1,AB=﹣4m+8,
∴tan∠ABC==,
∵tan∠MEF==,tan∠NEF==,
∴∠MEF=∠NEF=∠ABC,
∴∠MEN=2∠ABC.
相关试卷
这是一份中考数学二轮压轴培优专题 二次函数的计算与证明综合问题(2份打包,教师版+原卷版),文件包含中考数学二轮压轴培优专题二次函数的计算与证明综合问题教师版doc、中考数学二轮压轴培优专题二次函数的计算与证明综合问题原卷版doc等2份试卷配套教学资源,其中试卷共24页, 欢迎下载使用。
这是一份中考数学二轮压轴培优专题 二次函数与旋转变换综合问题(2份打包,教师版+原卷版),文件包含中考数学二轮压轴培优专题二次函数与旋转变换综合问题教师版doc、中考数学二轮压轴培优专题二次函数与旋转变换综合问题原卷版doc等2份试卷配套教学资源,其中试卷共30页, 欢迎下载使用。
这是一份中考数学二轮压轴培优专题 二次函数与新定义综合问题(2份打包,教师版+原卷版),文件包含中考数学二轮压轴培优专题二次函数与新定义综合问题教师版doc、中考数学二轮压轴培优专题二次函数与新定义综合问题原卷版doc等2份试卷配套教学资源,其中试卷共28页, 欢迎下载使用。

