高考数学三轮冲刺小题必练14 函数的图象与性质(2份打包,教师版+原卷版)
展开1.了解构成函数的要素,会求一些简单函数的定义域和值域;了解映射的概念.
2.在实际情境中,会根据不同的需要选择恰当的方法(如图象法、列表法、解析法)表示函数.
3.了解简单的分段函数,并能简单应用.
4.理解函数的单调性、最大值、最小值及其几何意义;结合具体函数,了解函数奇偶性的含义.
5.会运用函数图象理解和研究函数的性质.
1.【2019高考全国I卷文科】函数在的图象大致为( )
A. B.
C. D.
【答案】D
【解析】∵,
∴为奇函数,排除A;
又,排除C;
,排除B,故选D.
【点睛】先判断函数的奇偶性,得是奇函数,排除A,再注意到选项的区别,利用特殊值得正确答案.
2.【2020高考全国II卷文科】设函数,则( )
A.是奇函数,且在单调递增 B.是奇函数,且在单调递减
C.是偶函数,且在单调递增 D.是偶函数,且在单调递减
【答案】A
【解析】因为,所以,
所以函数是奇函数.
又因为由函数(在单调递增)加上函数(在上单调递增)得到,所以函数在单调递增,故选A.
判断单调性时也可以这样处理:因为当,,
所以在上是单调递增的.
【点睛】根据函数的解析式可知函数的定义域为,利用定义可得出函数为奇函数,
再根据函数的单调性法则,即可解出.
一、选择题.
1.已知,则等于( )
A. B. C. D.
【答案】B
【解析】因为,所以,故选B.
2.函数是( )
A.奇函数,且值域为 B.奇函数,且值域为
C.偶函数,且值域为 D.偶函数,且值域为
【答案】B
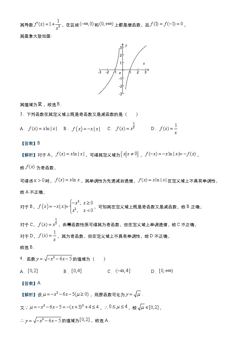
【解析】根据题意,函数,其定义域为,
有,即函数为奇函数,
其导数,在区间和上都是增函数,且,
其图象大致如图:
其值域为,故选B.
3.下列函数在其定义域上既是奇函数又是减函数的是( )
A. B. C. D.
【答案】B
【解析】对于A,,可得其定义域为,,
故为奇函数,
可得当时,,其单调性为先递减后递增,在定义域上不具有单调性,
故A不正确;
对于B,,可知其在定义域上既是奇函数又是减函数,故B正确;
对于C,,由幂函数性质可得其为奇函数,但在定义域上单调递增,故C不正确;
对于D,,其为奇函数,但在定义域上不具有单调性,故D不正确,
故选B.
4.函数的值域为( )
A. B. C. D.
【答案】A
【解析】设,则原函数可化为.
又∵,∴,故,
∴的值域为,故选A.
5.若函数是定义在上的奇函数,且,则( )
A. B. C. D.
【答案】A
【解析】∵是上的奇函数,∴,
∵,∴,
∴函数的周期为,
∴,故选A.
6.函数的图象大致是( )
A. B.
C. D.
【答案】C
【解析】由,可知为奇函数,所以图象关于原点对称,排除A,B;
令,可知,可知图象与轴只有一个交点,排除D,
故选C.
7.为定义在上周期为的奇函数,则函数在上零点的个数为( )
A. B. C. D.
【答案】C
【解析】因为为定义在上周期为的奇函数,
所以,,
所以,,,,
所以,
所以,即,
所以,,,,.
所以函数在上零点的个数为,故选C.
8.若函数,是定义在上的减函数,则的取值范围为( )
A. B. C. D.
【答案】A
【解析】因为函数是定义在上的减函数,所以,解得,
故选A.
9.若定义在的奇函数在单调递减,且,则满足的的取值范围
是( )
A. B.
C. D.
【答案】D
【解析】因为定义在上的奇函数在上单调递减,且,
所以在上也是单调递减,且,,
所以当时,;当时,,
所以由可得:或或,
解得或,
所以满足的的取值范围是,故选D.
10.函数的图象大致是( )
A. B.
C. D.
【答案】B
【解析】由,知是偶函数,可排除A,C;
当时,,
即当且仅当时,,可排除D,
故选B.
11.已知函数,则( )
A. B. C. D.
【答案】D
【解析】设,则,即为奇函数,
所以,
所以,故选D.
12.已知函数的定义域为,且是偶函数,是奇函数,在上单调递增,则( )
A. B.
C. D.
【答案】B
【解析】是偶函数,得,即,
是奇函数,得,即,
,得函数周期,
由是奇函数,得,
因为在上单调递增,所以,
,,
所以,故选B.
二、填空题.
13.函数的定义域是________.
【答案】
【解析】因为恒成立,所以,故答案为.
14.已知函数,则______.
【答案】
【解析】,故答案为.
15.已知函数是定义在上的偶函数,当时,,则_________.
【答案】
【解析】根据题意,当时,,则,
又由是定义在上的偶函数,则.
16.已知偶函数定义在上,且在上单调递增.若不等式成立,则实数的取值范围是___________.
【答案】
【解析】偶函数在上单调递增,
在上单调递减,
等价于,解得,
实数的取值范围是.
新高考数学三轮冲刺“小题速练”14(2份打包,教师版+原卷版): 这是一份新高考数学三轮冲刺“小题速练”14(2份打包,教师版+原卷版),文件包含新高考数学三轮冲刺“小题速练”14教师版doc、新高考数学三轮冲刺“小题速练”14学生版doc等2份试卷配套教学资源,其中试卷共15页, 欢迎下载使用。
高考数学三轮冲刺小题必练11 圆锥曲线(2份打包,教师版+原卷版): 这是一份高考数学三轮冲刺小题必练11 圆锥曲线(2份打包,教师版+原卷版),文件包含高考数学三轮冲刺小题必练11圆锥曲线教师版doc、高考数学三轮冲刺小题必练11圆锥曲线原卷版doc等2份试卷配套教学资源,其中试卷共19页, 欢迎下载使用。
高考数学三轮冲刺小题必练8 三视图(2份打包,教师版+原卷版): 这是一份高考数学三轮冲刺小题必练8 三视图(2份打包,教师版+原卷版),文件包含高考数学三轮冲刺小题必练8三视图原卷版doc、高考数学三轮冲刺小题必练8三视图教师版doc等2份试卷配套教学资源,其中试卷共25页, 欢迎下载使用。

