高考数学三轮冲刺压轴小题08 平面向量中范围、最值等综合问题 (2份打包,解析版+原卷版)
展开
平面向量中范围、最值等综合问题
一.方法综述
平面向量中的范围、最值问题是热点问题,也是难点问题,此类问题综合性强,体现了高考在知识点交汇处命题的思想,是高考的热点,也是难点,其基本题型是根据已知条件求某个变量的范围、最值,比如向量的模、数量积、向量夹角、系数的范围的等,解决思路是建立目标函数的函数解析式,转化为求函数(二次函数、三角函数)的最值或应用基本不等式,同时向量兼顾“数”与“形”的双重身份,所以解决平面向量的范围、最值问题的另外一种思路是数形结合,应用图形的几何性质.
二.解题策略
类型一 与向量的模有关的最值问题
【例1】已知向量,,满足,,,,则的最大值为( )
A. B. C. D.
【答案】A
【详解】∵,
而,
∴,又,,,,∴,而,
若令,则,即,
∴,可知的最大值为,
故选:A
【举一反三】
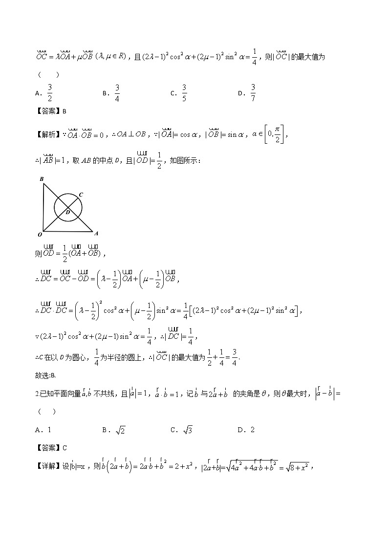
1.平面上的两个向量和,,,,若向量,且,则的最大值为( )
A. B. C. D.
【答案】B
【解析】∵,∴,∵,,,
∴,取的中点D,且,如图所示:
则,
∴,
∴,
∵,∴,
∴C在以D为圆心,为半径的圆上,∴的最大值为.
故选:B.
2.已知平面向量不共线,且,,记与 的夹角是,则最大时,( )
A. B. C. D.
【答案】C
【详解】设,则,,
所以.易得,
,
当时,取得最小值,取得最大值,
此时.故选C.
3.已知向量满足 与的夹角为,,则的最大值为 .
【分析】根据已知条件可建立直角坐标系,用坐标表示有关点(向量),确定变量满足的等式和目标函数的解析式,结合平面几何知识求最值或范围.
【解析】设;
以OA所在直线为x,O为坐标原点建立平面直角坐标系,
∵ 与的夹角为,则A(4,0),B(2,2),设C(x,y)
∵,∴x2+y2-6x-2y+9=0,
即(x-3)2+(y-1)2=1表示以(3,1)为圆心,以1为半径的圆,
表示点A,C的距离即圆上的点与点A(4,0)的距离;
∵圆心到B的距离为,
∴的最大值为.
类型二 与向量夹角有关的范围问题
【例2】已知向量与的夹角为,时取得最小值,当时,夹角的取值范围为________________.[来源:学+科+网]
【分析】将表示为变量的二次函数,转化为求二次函数的最小值问题,当时,取最小值,由已知条件,得关于夹角的不等式,解不等式得解.
【解析】由题意知,,,所以
,由二次函数的图像及其性质知,当上式取最小值时,.由题意可得,,求得,所以.
【举一反三】
1.已知非零向量满足 ,若函数 在R 上存在极值,则和夹角的取值范围为
【答案】
【解析】,设和夹角为,因为有极值,所以,即,即,所以.
2.非零向量满足=,,则的夹角的最小值是 .
【答案】
【解析】由题意得,,整理得,即
,,夹角的最小值为.
3.已知向量与的夹角为,,,,,在时取得最小值若,则夹角的取值范围是______.
【答案】
【解析】,,
,,在时取得最小值,
解可得:,则夹角的取值范围
类型三 与向量投影有关的最值问题
【例3】设, , ,且,则在上的投影的取值范围( )
A. B. C. D. [来源:Z#xx#k.Com]
【答案】D
当时,
当
故当时, 取得最小值为,即
当时, ,即
,综上所述故答案选
【举一反三】
设,,,且,则向量在上的投影的取值范围( )
A. B. C. D.
【答案】A
【解析】因为,,,建立以点为原点的直角坐标系,
设,,则,,
即有.
设向量与的夹角为,所以向量在上的投影为.
当时,;
当时,,由可得,,
即,所以;
当时,,由可得,,
即,所以.
综上可知,向量在上的投影的取值范围为.
故选:A.
2.在同一平面内,已知A为动点,B,C为定点,且∠BAC=,,BC=1,P为BC中点.过点P作PQ⊥BC交AC所在直线于Q,则在方向上投影的最大值是( )
A. B. C. D.
【答案】C
建立如图所示的平面直角坐标系,则B(-,0),C(,0),P(0,0),
由可知,ABC三点在一个定圆上,且弦BC所对的圆周角为,所以圆心角为.圆心在BC的中垂线即轴上,且圆心到直线BC的距离为,即圆心为,
半径为.
所以点A的轨迹方程为:,则 ,则 ,
由在方向上投影的几何意义可得:在方向上投影为|DP|=|x|,
则在方向上投影的最大值是,故选C.
类型四 与平面向量数量积有关的最值问题
【例4】已知边长为2的菱形中,点为上一动点,点满足,,则的最小值为( )
A. B. C. D.
【答案】D
【详解】由题意知:,设
以与交点为原点,为轴,为轴建立如下图所示的平面直角坐标系:
,,设 则,
当时,,本题正确选项:
【举一反三】
1.已知是边长为的正三角形,为的外接圆的一条直径,为的边上的动点,则的最大值为( )
A.3 B.4 C.5 D.6
【答案】A
【详解】
如图所示,以边所在直线为轴,以其中点为坐标原点建立平面直角坐标系,因为该正三角形的边长为,,当点在边上时,设点,则 的最大值为;当点在边上时,因为直线的斜率为,所以直线的方程为:,设点,则, ,
的最大值为;当点在边上时,因为直线的斜率为,所以直线的方程为:,设点,则的最大值为;综上,最大值为,故选A.
2、)中,,,,且,则的最小值等于
A. B. C. D.
【答案】C
【解析】由题意知,向量,且,
可得点D在边BC上,,
所以,则,即,
所以时以C为直角的直角三角形.
如图建立平面直角坐标系,设,则,
则,,当时,则最小,最小值为.
故选:C.
3.如图,是以直径的圆上的动点,已知,则的最大值是
A. B. C. D.
【答案】A
【解析】如图,先将C视为定点,设∠CAB=θ,θ∈[0,),则AC=2cosθ,
连接CB,则CBAC,
过O作AC的平行线交圆于E,交BC于M,且M为垂足,
又知当D、C在AB同侧时,取最大值,
设D在OE的投影为N,
当C确定时,M为定点,则当N落在E处时,MN最大,此时取最大值,
由向量的几何意义可知,=,最大时为,
又OM=cosθ, ∴cosθ,
∴最大为2cosθ,当且仅当cosθ=时等号成立,即θ=,
∴ 的最大值为.
故选A.
类型五 平面向量系数的取值范围问题[来源:学+科+网
【例5】在中,点满足,过点的直线与,所在直线分别交于点,,若,,则的最小值为( )
A.3 B.4 C. D.
【答案】A
【解析】分析:用,表示出,根据三点共线得出的关系,利用基本不等式得出的最小值.
三点共线,
则
当且仅当即时等号成立.故选A.
【举一反三】
1.已知是的重心,过点作直线与,交于点,且,,,则的最小值是( )
A. B. C. D.
【答案】D
【解析】
如图 三点共线,
∵是的重心,
解得, 结合图象可知
令
故
故
当且仅当等号成立,故选D
2.在中,已知,,的面积为6,若为线段上的点(点不与点,点重合),且,则的最小值为( )
A.9 B. C. D.
【答案】C
【解析】因为,所以,
因为的面积为,所以,所以,
所以,,,由于,所以,所以,
所以由余弦定理得:,即.
所以,
因为为线段上的点(点不与点,点重合),所以,根据题意得
所以所以
,
当且仅当,即时等号成立,所以.
故选:C.
3.已知正方形ABCD的边长为1,动点P满足,若,则的最大值为
A. B. C. D.
【答案】C
【解析】
解:以A为原点建立如图所示的直角坐标系:
则,,,,设, ,则由得,化简得:,又,,,,表示圆上的点到原点的距离得平方,其最大值等于圆心到原点的距离加半径的平方,即,
故选:C.
类型六 平面向量与三角形四心的结合:学+科+网
【例6】如图所示,已知点是的重心,过点作直线与两边分别交于两点,且,则的最小值为( )
C
M
N
A
B
G
Q
A.2 B. C. D.
【答案】C
【解析】由题意得:,又,所以,因此,当且仅当时取等号,所以选C.
【指点迷津】平面向量中有关范围最值问题的求解通常有两种思路:①“形化”,即利用平面向量的几何意义将问题转化为平面几何中的最值或范围问题,然后根据平面图形的特征直接进行判断;②“数化”,即利用平面向量的坐标运算,把问题转化为代数中的函数最值与值域、不等式的解集、方程有解等问题,然后利用函数、不等式、方程的有关知识来解决.
【举一反三】
1.如图,为的外心,为钝角,是边的中点,则的值为
【答案】5
2.已知O是所在平面上的一点,若(其中P是所在平面内任意一点),则O点是的( )
A.外心 B.内心 C.重心 D.垂心
【答案】B
【解析】因为
则,即
移项可得
即
则
因为
所以
化简可得,即
设为方向上的单位向量,为方向上的单位向量
所以,
则
所以
则在的角平分线上
同理可知 在的角平分线上
因而为的内心
故选:B
3.已知点是锐角三角形的外心,若(, ),则( )
A. B. C. D.
【答案】C
【解析】∵O是锐角△ABC的外心,
∴O在三角形内部,不妨设锐角△ABC的外接圆的半径为1,
又,
∴||=| |,
可得=++2mn⋅,
而⋅=||⋅||cos∠A0B<||⋅||=1.
∴1=++2mn⋅<+2mn,
∴ <−1或 >1,如果 >1则O在三角形外部,三角形不是锐角三角形,
∴ <−1,故选:C.
三.强化训练
1.已知是边长为4的等边三角形,为平面内一点,则的最小值是( )
A. B. C. D.
【答案】D
【解析】建立直角坐标系如图:
则A(0,2),B(﹣2,0),C(2,0),设P(x,y),则=(﹣x,2﹣y),
=(﹣2﹣x,﹣y),=(2﹣x,﹣y),
所以•(+)=﹣x•(﹣2x)+(2﹣y)•(﹣2y)=2x2﹣4y+2y2=2[x2+(y﹣)2﹣3];
所以当x=0,y=时,•(+)取得最小值为2×(﹣3)=﹣6.
故选:D.
2.已知向量满足,设,,若,,则的最大值为( )
A. B. C. D.
【答案】D
【解析】,不妨设,设,
,,
,整理可得,
则在以为圆心,半径的圆上,设,
,,
又,则,
则可得或,
将代入可得,
则在以为圆心,半径的圆上,
,,
,
则可得,
同理,若,则可得,则由于对称性,可得最大值也为,
综上,的最大值为.
故选:D.
3.如图所示,两个不共线向量的夹角为,分别为与的中点,点在直线上,且,则的最小值为( )
A. B. C. D.
【答案】B
【解析】由题意,设,则==,所以,所以,则当时,取得最小值,故选B.
4.已知两点,,若直线上存在点满足,则实数的取值范围是( )
A. B.
C. D.
【答案】C
【详解】设,则
由得,因在直线上,故圆心到直线的距离
,故,故选C.
5.如图,在△中,点是线段上两个动点,且 ,则的最小值为( )
A. B. C. D.
【答案】D
【详解】如图可知x,y均为正,设,
共线, ,
,则,
,
则的最小值为,故选D.
6、如图,矩形中边的长为,边的长为,矩形位于第一象限,且顶点分别位于轴、轴的正半轴上(含原点)滑动,则的最大值为( )
A. B. C. D.
【答案】B
【解析】
如图,设,
则因为所以
则
所以的最大值为 所以选B
7.已知△ABC中,.点P为BC边上的动点,则的最小值为( )
A.2 B. C. D.
【答案】D
【详解】以BC的中点为坐标原点,建立如图的直角坐标系,
可得,设,由,
可得,即,
则
,
当时,的最小值为.故选D.
8.已知圆:,:,动圆满足与外切且与内切,若为上的动点,且,则的最小值为( )
A. B. C. D.
【答案】A
【解析】
∵圆:,圆:,
动圆满足与外切且与内切,设圆的半径为 ,
由题意得
∴则的轨迹是以( 为焦点,长轴长为16的椭圆,
∴其方程为 因为,即为圆 的切线,要的最小,只要最小,设,则
,选A.
9.已知是边长为的正三角形,且.设函数,当函数的最大值为时,( )
A. B. C. D.
【答案】D
【详解】,
因为是边长为的正三角形,且,
所以
又因,代入得
所以当时,取得最大,最大值为
所以,解得,舍去负根.故选D项.
10.如图,在中,、分别是、的中点,若(,),且点落在四边形内(含边界),则的取值范围是( )
A. B. C. D.
【答案】C
详解:由题意,当在线段上时,,当点在线段上时,,∴当在四边形内(含边界)时,(*),又,作出不等式组(*)表示的可行域,如图,
表示可行域内点与连线的斜率,由图形知,,即,∴,,故选C.
11.已知向量,满足,,若,且,则的最大值为( )
A.3 B.2 C. D.
【答案】D
【解析】如图:令,,则,故.
因为,所以,记的中点为,所以点在以为直径的圆上.
设,连接,因为,所以点在直线上.
因为,所以,即,所以.
结合图形可知,当时,即取得最大值,且.
故选:D
12.若的外接圆半径为2,且,则的取值范围是( )
A. B. C. D.
【答案】A
【解析】如图设的外接圆圆心为O,
的边,的外接圆半径为2,
为正三角形,且,
则
,,
故选:A
13.已知的边,的外接圆半径为2,则的取值范围是( )
A. B. C. D.
【答案】A
【解析】如图设的外接圆圆心为,
的边,的外接圆半径为2,是等边三角形.
则
,
其中,则,于是,
故选:A.
14.均为单位向量,且它们的夹角为45°,设,满足,则的最小值为( )
A. B. C. D.
【答案】C
【解析】设,
以所在直线为轴,垂直于所在直线为轴,建立平面直角坐标系
均为单位向量,且它们的夹角为45°,则,
,设满足
,设,故 ,
则,则的最小值为圆上的点到直线距离的最小值其最小值为
故选:C.
15.在中,,,点,为所在平面内的一点,且满足,,若,则的最大值为( )
A. B. C. D.
【答案】A
【解析】由题意,以原点,,所直线为轴,轴建立直角坐标系,
则,,,,,
设,因为,所以点满足,
则可设点,则由,得,
所以,则的最大值为.
故选:A.
16.如图,在中,,,点为边上的一动点,则的最小值为( )
A.0 B. C. D.
【答案】C
【解析】如图所示,作
,,,
可得,即,
利用向量的三角形法则,可知
若与O重合,则若在O左侧,即在上时,
若在O右侧,即在上时,,显然此时最小,利用基本不等式(当且仅当,即为中点时取等号)
故选:C.
17.若是垂心,且,则( )
A. B. C. D.
【答案】D
【解析】在中,,由,
得,连接并延长交于,
因为是的垂心,所以,,
所以同乘以得,
因为,所以
由正弦定理可得
又,所以有,
而,所以,
所以得到,而,所以得到,
故选:D.
18.如图,在平面四边形中,,,,,,若点F为边上的动点,则的最小值为( )
A.1 B. C. D.2
【答案】B
【解析】以为原点建立如图所示平面直角.
依题意,,,
在三角形中,由余弦定理得
.
所以,所以.
而,所以.
在三角形中,由余弦定理得.
所以,所以.
在三角形中,,所以三角形是等边三角形,
所以.
所以,设
依题意令,即,
所以,所以,
所以.
对于二次函数,其对称轴为,开口向上,所以当时,有最小值,也即有最小值为.
故选:B
19.已知非零平面向量,,.满足,,且,则的最小值是( )
A. B. C.2 D.3
【答案】A
【解析】如图1:
令,,,不妨设
取中点,由,可得,由极化恒等式得;
要求的最小值,即最小时取到;显然,此时,,三点共线,如图2:
设此时,因为
由余弦定理可知:
所以,即.
故选:A.
20.在同一平面内,已知A为动点,B,C为定点,且∠BAC=,,BC=1,P为BC中点.过点P作PQ⊥BC交AC所在直线于Q,则在方向上投影的最大值是( )
A. B. C. D.
【来源】广东省广州、深圳市学调联盟2019-2020学年高三下学期第二次调研数学(理)试题
【答案】C
【解析】
建立如图所示的平面直角坐标系,则B(-,0),C(,0),P(0,0),
由可知,ABC三点在一个定圆上,且弦BC所对的圆周角为,所以圆心角为.圆心在BC的中垂线即轴上,且圆心到直线BC的距离为,即圆心为,半径为.
所以点A的轨迹方程为:,则 ,则 ,
由在方向上投影的几何意义可得:在方向上投影为|DP|=|x|,
则在方向上投影的最大值是,故选C.
21.已知,,是空间单位向量,且满足,若向量.则在方向上的投影的最大值为( )
A. B. C. D.
【来源】浙江省杭州高中2020届高三下学期5月高考质检数学试题
【答案】D
【解析】因为,
∴,
,
∴①,因为要求最大值,故不妨取,
令,则,代入①式得②,
令,故②式小于等于.
故选:D.
22.若,,平面内一点,满足,的最大值是( )
A. B. C. D.
【答案】C
【解析】
由,可得
因为,所以,即是角平分线
所以由角平分线的性质可得
设,则,由可得
因为
当且仅当,即时等号成立,即的最小值为
所以的最大值是
故选:C
23.已知的外接圆的圆心为,半径为2,且,则向量在向量方向上的投影为
【答案】
24.在中,,,点是所在平面内的一点,则当取得最小值时,
【答案】
【解析】【分析】由题意结合平面向量的定义可得,建立平面直角坐标系,结合平面向量的坐标运算法则确定当取得最小值时点P的坐标,然后求解的值即可.
【详解】,,
,,以A为坐标原点建如图所示的平面直角坐标系,
则,设,
则
,
所以当x=2,y=1时取最小值,
此时.故选:B.
25.已知非零向量满足,若函数在R 上存在极值,则和夹角的取值范围为
【答案】
【解析】设和的夹角为
∵在上存在极值
∴有两个不同的实根,即
∵∴,即
∵∴
26.已知向量满足:,则在上的投影长度的取值范围是
【答案】
【解析】试题分析:由,可得,整理得,根据则在上的投影长度为,而其投影肯定会不大于,所以其范围为.
27.(2020上海市金山区一模)正方形ABCD的边长为2,对角线AC、BD相交于点O,动点P满足,若,其中m、nÎR,则的最大值是________
【答案】1
【解析】建立如图所示的直角坐标系,则A(﹣1,﹣1),B(1,﹣1),D(﹣1,1),P(,),所以(1,sinθ+1),(2,0),(0,2),
又,所以,则,
其几何意义为过点E(﹣3,﹣2)与点P(sinθ,cosθ)的直线的斜率,
设直线方程为y+2k(x+3),点P的轨迹方程为x2+y2=1,
由直线与圆的位置关系有:,
解得:,即的最大值是1,故答案为:1
28.已知向量,的夹角为,且,则的最小值为
【答案】
【解析】
由题意可设,,
因此表示直线上一动点到定点距离的和,因为关于直线的对称点为,所以
29.已知在中,角,,所对的边分别为,,,且,点为其外接圆的圆心.已知,则当角取到最大值时的面积为
【答案】
【详解】设中点为,则
,,即,
由知角为锐角,故 ,
当且仅当,即时最小,又在递减,故最大.此时,恰有,即为直角三角形, 。
30.在中,角、、所对的边分别为、、.、是线段上满足条件,的点,若,则当角为钝角时,的取值范围是
【答案】
【解析】依题意知分别是线段上的两个三等分点,
则有, ,
则,而,
则,得,
由为钝角知,又,
则有.
高考数学三轮冲刺压轴小题20 解析几何中的定值与定点问题 (2份打包,解析版+原卷版): 这是一份高考数学三轮冲刺压轴小题20 解析几何中的定值与定点问题 (2份打包,解析版+原卷版),文件包含高考数学三轮冲刺压轴小题20解析几何中的定值与定点问题解析版doc、高考数学三轮冲刺压轴小题20解析几何中的定值与定点问题原卷版doc等2份试卷配套教学资源,其中试卷共39页, 欢迎下载使用。
高考数学三轮冲刺压轴小题19 解析几何中的范围问题 (2份打包,解析版+原卷版): 这是一份高考数学三轮冲刺压轴小题19 解析几何中的范围问题 (2份打包,解析版+原卷版),文件包含高考数学三轮冲刺压轴小题19解析几何中的范围问题解析版doc、高考数学三轮冲刺压轴小题19解析几何中的范围问题原卷版doc等2份试卷配套教学资源,其中试卷共37页, 欢迎下载使用。
高考数学三轮冲刺压轴小题17 求解曲线的离心率的值或范围问题 (2份打包,解析版+原卷版): 这是一份高考数学三轮冲刺压轴小题17 求解曲线的离心率的值或范围问题 (2份打包,解析版+原卷版),文件包含高考数学三轮冲刺压轴小题17求解曲线的离心率的值或范围问题解析版doc、高考数学三轮冲刺压轴小题17求解曲线的离心率的值或范围问题原卷版doc等2份试卷配套教学资源,其中试卷共44页, 欢迎下载使用。

