所属成套资源:2023年高考数学二轮复习重点基础练习
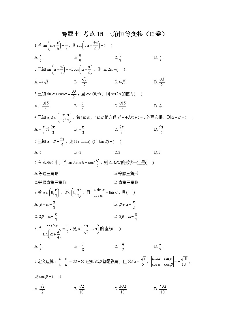
2023年高考数学二轮复习重点基础练习:专题七 考点18 三角恒等变换(C卷)
展开
这是一份2023年高考数学二轮复习重点基础练习:专题七 考点18 三角恒等变换(C卷),共6页。试卷主要包含了若,则,已知,则,已知,且,则的值为,已知,若,是方程的两实根,则,在中,若,则的形状一定是,若,,且,则,若,则的值为,定义运算等内容,欢迎下载使用。
专题七 考点18 三角恒等变换(C卷)1.若,则( )A. B. C. D.2.已知,则( )A. B. C. D.3.已知,且,则的值为( )A. B. C. D.4.已知,若,是方程的两实根,则( )A.或 B. C. D.5.已知,则( )A.-1 B.-2 C.2 D.36.在中,若,则的形状一定是( )A.等边三角形 B.等腰三角形C.等腰直角三角形 D.直角三角形7.若,,且,则( )
A. B.C. D.8.若,则的值为( )
A. B. C. D.9.定义运算:.已知都是锐角,且,,则( )A. B. C. D.10.在中,角A,B都是锐角,且,则的最大值是( )A. B. C. D.11.已知,则的值是_____________.12.已知,则的值为_____________.13.在中,若,则该三角形的形状一定是____________.14.已知,,则____________.15.已知角为第二象限角,且,则_________,________.
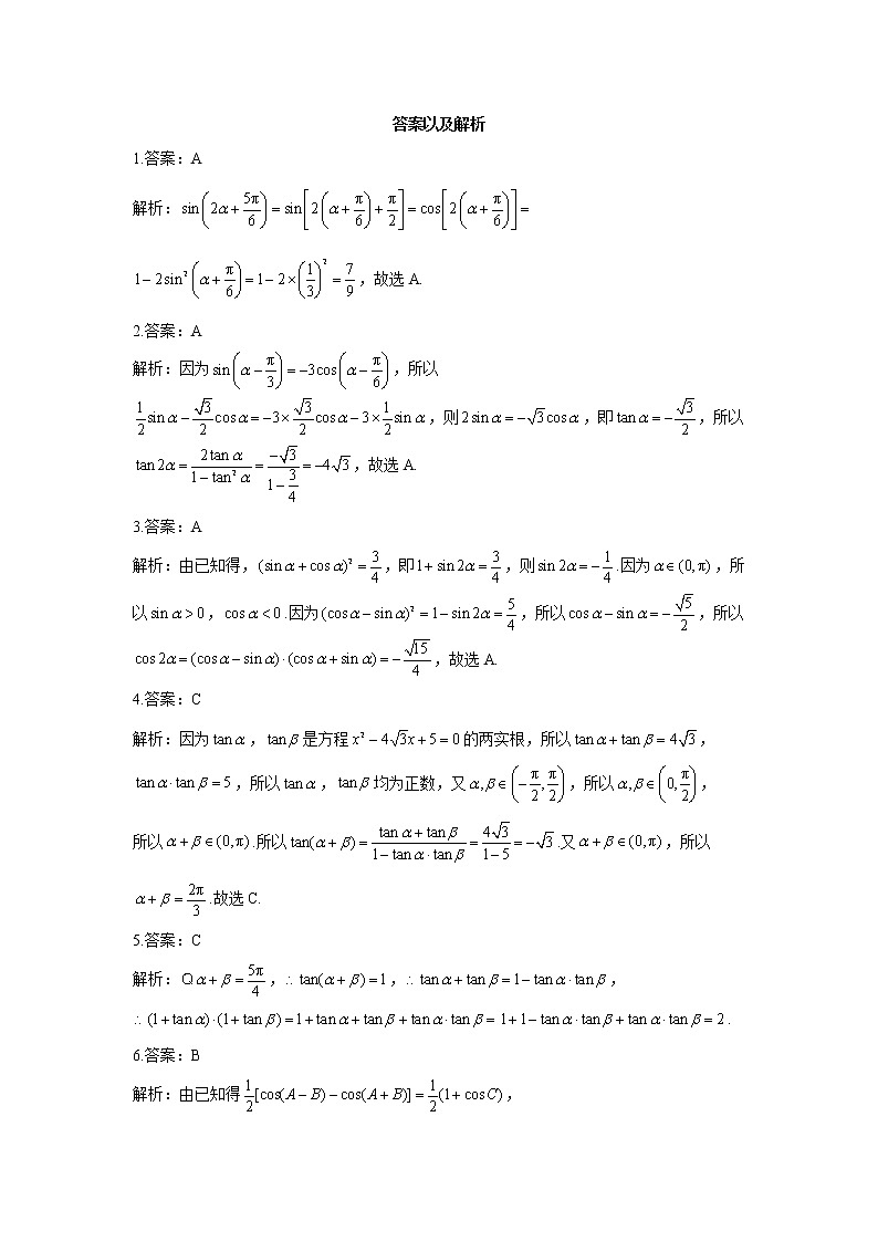
答案以及解析1.答案:A解析:,故选A.2.答案:A解析:因为,所以,则,即,所以,故选A.3.答案:A解析:由已知得,,即,则.因为,所以,.因为,所以,所以,故选A.4.答案:C解析:因为,是方程的两实根,所以,,所以,均为正数,又,所以,所以.所以.又,所以.故选C.5.答案:C解析:,,,.6.答案:B解析:由已知得,因为,所以,所以.又,所以,所以.无法判断其是不是等边三角形,也无法判断其是不是直角三角形,所以一定是等腰三角形.7.答案:C解析:因为,所以,
即.又,,
所以,即.8.答案:A解析:由,
得,,即,.9.答案:B解析:因为都是锐角,所以,,,因为,所以,即,所以,所以,所以,因为,所以,所以.故选B.10.答案:D解析:由,可得,所以,所以,即,所以,所以,因为角A,B都是锐角,所有,,所以,当且仅当即时等号成立,所以,所以的最大值是,故选D.11.答案:解析:因为,所以,即,得.12.答案:7解析:由题可知,则,所以.13.答案:等腰三角形解析:,,即,,,,,,一定为等腰三角形.14.答案:解析:由,得,由于,因此,则.15.答案:;-3解析:解法一:因为为第二象限角,且,所以,所以,,所以.解法二:因为为第二象限角,且,所以,所以.所以.
相关试卷
这是一份2023年高考数学二轮复习重点基础练习:专题七 三角恒等变换与解三角形综合练习(B卷),共8页。试卷主要包含了已知,且,则的值为,在中,,,,则,已知,则等于,已知为锐角,且,则等内容,欢迎下载使用。
这是一份2023年高考数学二轮复习重点基础练习:专题七 三角恒等变换与解三角形综合练习(A卷),共6页。试卷主要包含了已知,且,则的值为,已知,则的值为,已知,且,则等于,已知角的终边过点,则的值为等内容,欢迎下载使用。
这是一份2023年高考数学二轮复习重点基础练习:专题七 考点19 正、余弦定理及解三角形(C卷),共7页。试卷主要包含了中,,,,则的面积等于,在中,已知,外接圆半径为5等内容,欢迎下载使用。

