新高考数学二轮复习专题六培优点9圆锥曲线与圆的综合问题课件
展开随着新高考不断地推进与深入,高考对解析几何的要求也随之发生很大的变化,对圆的考查在逐渐加深,与圆相关的几何性质、最值问题、轨迹问题等都能与椭圆、双曲线及抛物线相结合,呈现别具一格的新颖试题,题型渐渐成为高考命题的热点,是一种新的命题趋势.
圆的切线与圆锥曲线的综合问题
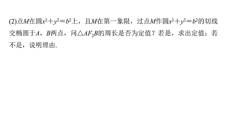
(2)点M在圆x2+y2=b2上,且M在第一象限,过点M作圆x2+y2=b2的切线交椭圆于A,B两点,问△AF2B的周长是否为定值?若是,求出定值;若不是,说明理由.
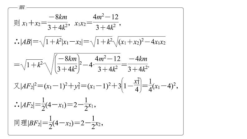
是定值.由题意,设AB的方程为y=kx+m(k<0,m>0),∵AB与圆x2+y2=3相切,
整理得(3+4k2)x2+8kmx+4m2-12=0,
设A(x1,y1),B(x2,y2),
处理圆的切线与圆锥曲线综合问题,主要就是巧设直线方程,利用圆的切线性质(圆心到直线的距离等于半径)找到直线的参数之间的关系或者转化为直线斜率的一元二次方程,利用根与系数的关系求解.
在平面直角坐标系中,F为抛物线C:x2=2py(p>0)的焦点,D为抛物线C上第一象限内任意一点,△FOD外接圆的圆心为Q,且圆心Q到抛物线C的准线的距离为 .(1)求抛物线C的方程;
由抛物线C方程x2=2py,
(2)设点P(x0,y0)(x0>1)为抛物线C上第一象限内任意一点,过点P作圆x2+(y-1)2=1的两条切线l1,l2且与y轴分别相交于A,B两点,求△PAB面积的最小值.
设过点P(x0,y0)的直线l的方程为y-y0=k(x-x0),
设直线l1,l2在y轴上的截距分别为y1,y2,则y1=y0-k1x0,y2=y0-k2x0,
|AB|=|y1-y2|=|k1-k2|·x0
圆锥曲线中的四点共圆综合问题
(1)求动点P的轨迹方程;
方程①的判别式为Δ=4(2-m2),
由①得x1+x2=-2m,x1x2=2m2-2.
所以|MA|·|MB|=|MC|·|MD|.所以A,B,C,D四点共圆.
处理共圆问题,主要抓住弦长及弦的中点的关系并结合圆的垂径定理,综合寻求关系.
(1)求椭圆C的方程;
(2)若A,M,B,O四点共圆,求直线AB的斜率.
因为直线AB的斜率存在,所以设直线AB的方程为y=kx+m,A(x1,y1),B(x2,y2).
消去y得(4k2+1)x2+8kmx+4m2-4=0,
因为平行四边形AMBO,
因为点M在椭圆C上,所以将点M的坐标代入椭圆C的方程,化得4m2=4k2+1.①因为A,M,B,O四点共圆,所以平行四边形AMBO是矩形,且OA⊥OB,
因为y1y2=(kx1+m)(kx2+m)
化得5m2=4k2+4.②
1.已知双曲线x2-y2=1的左、右顶点分别为A1,A2,动直线l:y=kx+m与圆x2+y2=1相切,且与双曲线左、右两支的交点分别为P1(x1,y1),P2(x2,y2).(1)求k的取值范围;
∴k2<1,∴-1
由已知可得A1,A2的坐标分别为(-1,0),(1,0),
由①得m2-k2=1,
2.(2022·泸州模拟)从抛物线y2=4x上各点向x轴作垂线段,记垂线段中点的轨迹为曲线P.(1)求曲线P的方程,并说明曲线P是什么曲线;
设抛物线y2=4x上的任意点为S(x0,y0),垂线段的中点为(x,y),
得曲线P的方程为y2=x,
(2)过点M(2,0)的直线l交曲线P于两点A,B,线段AB的垂直平分线交曲线P于两点C,D,探究是否存在直线l使A,B,C,D四点共圆?若能,请求出圆的方程;若不能,请说明理由.
若直线l与x轴重合,则直线l与曲线P只有一个交点,不符合题意.设直线l的方程为x=ty+2,根据题意知t≠0,设A(x1,y1),B(x2,y2),
则y1+y2=t,y1·y2=-2,
因为直线CD为线段AB的垂直平分线,
设C(x3,y3),D(x4,y4),
假设A,B,C,D四点共圆,则弦AB的中垂线与弦CD的中垂线的交点必为圆心,
因为CD为线段AB的中垂线,
在Rt△AMN中,|AN|2=|AM|2+|MN|2,
新高考版高考数学二轮复习(新高考版) 第1部分 专题突破 专题6 培优点9 圆锥曲线与圆的综合问题课件PPT: 这是一份新高考版高考数学二轮复习(新高考版) 第1部分 专题突破 专题6 培优点9 圆锥曲线与圆的综合问题课件PPT,共44页。PPT课件主要包含了高考数学二轮复习策略,专题强化练等内容,欢迎下载使用。
新高考数学二轮复习专题六培优点8隐圆(阿波罗尼斯圆)问题课件: 这是一份新高考数学二轮复习专题六培优点8隐圆(阿波罗尼斯圆)问题课件,共55页。PPT课件主要包含了考点一,规律方法,考点二,-11,阿波罗尼斯圆,考点三,专题强化练,x+y+1=0等内容,欢迎下载使用。
2023届高考数学二轮复习专题六解析几何第4讲圆锥曲线中的综合问题课件: 这是一份2023届高考数学二轮复习专题六解析几何第4讲圆锥曲线中的综合问题课件,共43页。PPT课件主要包含了1求E的方程,1求C的方程,考向1范围问题,考向2最值问题,考向1定点问题,考向2定值问题,考向1存在性问题,考向2证明问题等内容,欢迎下载使用。

