|课件下载
终身会员
搜索
    上传资料 赚现金
    新高考数学二轮复习专题一培优点4极值点偏移问题课件
    立即下载
    加入资料篮
    新高考数学二轮复习专题一培优点4极值点偏移问题课件01
    新高考数学二轮复习专题一培优点4极值点偏移问题课件02
    新高考数学二轮复习专题一培优点4极值点偏移问题课件03
    新高考数学二轮复习专题一培优点4极值点偏移问题课件04
    新高考数学二轮复习专题一培优点4极值点偏移问题课件05
    新高考数学二轮复习专题一培优点4极值点偏移问题课件06
    新高考数学二轮复习专题一培优点4极值点偏移问题课件07
    新高考数学二轮复习专题一培优点4极值点偏移问题课件08
    还剩37页未读, 继续阅读
    下载需要10学贝 1学贝=0.1元
    使用下载券免费下载
    加入资料篮
    立即下载

    新高考数学二轮复习专题一培优点4极值点偏移问题课件

    展开
    这是一份新高考数学二轮复习专题一培优点4极值点偏移问题课件

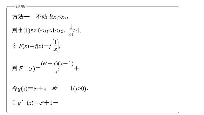
    培优点4 极值点偏移问题专题一 函数与导数  极值点偏移是指函数在极值点左右的增减速度不一样,导致函数图象不具有对称性,极值点偏移问题常常出现在高考数学的压轴题中,这类题往往对思维要求较高,过程较为烦琐,计算量较大,解决极值点偏移问题,有对称化构造函数法和比值代换法,二者各有千秋,独具特色.内容索引对称化构造函数 考点一 (2022·全国甲卷)已知函数f(x)= -ln x+x-a.(1)若f(x)≥0,求a的取值范围;由题意知函数f(x)的定义域为(0,+∞).可得函数f(x)在(0,1)上单调递减,在(1,+∞)上单调递增,所以f(x)min=f(1)=e+1-a.又f(x)≥0,所以e+1-a≥0,解得a≤e+1,所以a的取值范围为(-∞,e+1].(2)证明:若f(x)有两个零点x1,x2,则x1x2<1.方法一 不妨设x10),则g′(x)=ex+1-所以当x∈(0,1)时,g′(x)>0,所以当x∈(0,1)时,g(x)0,所以F(x)在(0,1)上单调递增,所以F(x)0),所以函数g(x)在(0,+∞)上单调递增,所以当x>1时,g(x)>g(1)=0,所以h(x)在(0,1)上单调递减,规律方法(1)求f(x)的极值和单调区间;令f′(x)>0得x>2,令f′(x)<0得02)的两个零点为x1,x2,证明:x1+x2>4.由题意知,g(x1)=g(x2).不妨设x14等价于x2>4-x1,又因为4-x1>2,x2>2,g(x)在(2,+∞)上单调递增,因此证明不等式等价于证明g(x2)>g(4-x1),即证明g(x1)>g(4-x1),所以h(x)在(0,2)上单调递减,所以h(x)>h(2)=1+ln 2-1-ln 2=0,比值代换 考点二 (2022·六安模拟)已知函数f(x)=xln x-ax2+x(a∈R).若f(x)有两个零点x1,x2,且x2>2x1,证明:若f(x)有两个零点x1,x2,因为x2>2x1>0,令x2=tx1(t>2),所以ln(x1x2)=ln x1+ln x2则h(t)在(2,+∞)上单调递增,比值代换法是指通过代数变形将所证的双变量不等式通过代换t= 化为单变量的函数不等式,利用函数单调性证明.规律方法   (2022·湖北圆创联考)已知f(x)=x2-2aln x,a∈R.若y=f(x)有两个零点x1,x2(x10,(2)若x0是y=f(x)的极值点,求证:x1+3x2>4x0.由a>0,t>1,只需证(3t+1)2ln t-8t2+8>0,令h(t)=(3t+1)2ln t-8t2+8,故n(t)在(1,+∞)上单调递增,n(t)>n(1)=0,故h(t)在(1,+∞)上单调递增,h(t)>h(1)=0,所以x1+3x2>4x0.专题强化练 1.(2022·佛山质检)已知a是实数,函数f(x)=aln x-x.(1)讨论f(x)的单调性;1212f(x)的定义域为(0,+∞),当a≤0时,f′(x)<0恒成立,故f(x)在(0,+∞)上单调递减;当a>0时,令f′(x)>0,得x∈(0,a);令f′(x)<0,得x∈(a,+∞),故f(x)在(0,a)上单调递增,在(a,+∞)上单调递减.综上,当a≤0时,f(x)在(0,+∞)上单调递减;当a>0时,f(x)在(0,a)上单调递增,在(a,+∞)上单调递减.(2)若f(x)有两个相异的零点x1,x2且x1>x2>0,求证:x1x2>e2.1212由(1)可知,要想f(x)有两个相异的零点x1,x2,则a>0,因为f(x1)=f(x2)=0,所以aln x1-x1=0,aln x2-x2=0,所以x1-x2=a(ln x1-ln x2),要证x1x2>e2,即证ln x1+ln x2>2,1212所以g(t)在(1,+∞)上单调递增,所以x1x2>e2,结论得证.2.(2021·新高考全国Ⅰ)已知函数f(x)=x(1-ln x).(1)讨论f(x)的单调性;1212因为f(x)=x(1-ln x),所以f(x)的定义域为(0,+∞),当x∈(0,1)时,f′(x)>0;当x∈(1,+∞)时,f′(x)<0.所以函数f(x)在(0,1)上单调递增,在(1,+∞)上单调递减.1212由题意知,a,b是两个不相等的正数,且bln a-aln b=a-b,由(1)知f(x)在(0,1)上单调递增,在(1,+∞)上单调递减,且当00,当x>e时,f(x)<0,不妨设x12,要证x1+x2>2,即证x2>2-x1,因为02-x1>1,又f(x)在(1,+∞)上单调递减,所以即证f(x2)0,即当00,所以F(x)在(0,1)上单调递增,所以当02成立.再证x1+x2x,直线y=x与直线y=m的交点坐标为(m,m),则x10,所以函数h(x)在(1,e)上单调递增,所以当1
    相关课件

    专题一 培优点4 极值点偏移问题--高三高考数学复习-PPT: 这是一份专题一 培优点4 极值点偏移问题--高三高考数学复习-PPT,共49页。PPT课件主要包含了内容索引,考点一,考点二,对称化构造函数,比值代换,专题强化练,规律方法等内容,欢迎下载使用。

    新高考数学二轮复习考点突破课件 第1部分 专题突破 专题1 培优点4 极值点偏移问题(含解析): 这是一份新高考数学二轮复习考点突破课件 第1部分 专题突破 专题1 培优点4 极值点偏移问题(含解析),共45页。PPT课件主要包含了内容索引,对称化构造函数,考点一,规律方法,比值代换,考点二,专题强化练等内容,欢迎下载使用。

    新高考版高考数学二轮复习(新高考版) 第1部分 专题突破 专题1 培优点4 极值点偏移问题课件PPT: 这是一份新高考版高考数学二轮复习(新高考版) 第1部分 专题突破 专题1 培优点4 极值点偏移问题课件PPT,共47页。PPT课件主要包含了高考数学二轮复习策略,对称化构造函数,比值代换,专题强化练等内容,欢迎下载使用。

    免费资料下载额度不足,请先充值

    每充值一元即可获得5份免费资料下载额度

    今日免费资料下载份数已用完,请明天再来。

    充值学贝或者加入云校通,全网资料任意下。

    提示

    您所在的“深圳市第一中学”云校通为试用账号,试用账号每位老师每日最多可下载 10 份资料 (今日还可下载 0 份),请取消部分资料后重试或选择从个人账户扣费下载。

    您所在的“深深圳市第一中学”云校通为试用账号,试用账号每位老师每日最多可下载10份资料,您的当日额度已用完,请明天再来,或选择从个人账户扣费下载。

    您所在的“深圳市第一中学”云校通余额已不足,请提醒校管理员续费或选择从个人账户扣费下载。

    重新选择
    明天再来
    个人账户下载
    下载确认
    您当前为教习网VIP用户,下载已享8.5折优惠
    您当前为云校通用户,下载免费
    下载需要:
    本次下载:免费
    账户余额:0 学贝
    首次下载后60天内可免费重复下载
    立即下载
    即将下载:资料
    资料售价:学贝 账户剩余:学贝
    选择教习网的4大理由
    • 更专业
      地区版本全覆盖, 同步最新教材, 公开课⾸选;1200+名校合作, 5600+⼀线名师供稿
    • 更丰富
      涵盖课件/教案/试卷/素材等各种教学资源;900万+优选资源 ⽇更新5000+
    • 更便捷
      课件/教案/试卷配套, 打包下载;手机/电脑随时随地浏览;⽆⽔印, 下载即可⽤
    • 真低价
      超⾼性价⽐, 让优质资源普惠更多师⽣
    VIP权益介绍
    • 充值学贝下载 本单免费 90%的用户选择
    • 扫码直接下载
    元开通VIP,立享充值加送10%学贝及全站85折下载
    您当前为VIP用户,已享全站下载85折优惠,充值学贝可获10%赠送
      充值到账1学贝=0.1元
      0学贝
      本次充值学贝
      0学贝
      VIP充值赠送
      0学贝
      下载消耗
      0学贝
      资料原价
      100学贝
      VIP下载优惠
      0学贝
      0学贝
      下载后剩余学贝永久有效
      0学贝
      • 微信
      • 支付宝
      支付:¥
      元开通VIP,立享充值加送10%学贝及全站85折下载
      您当前为VIP用户,已享全站下载85折优惠,充值学贝可获10%赠送
      扫码支付0直接下载
      • 微信
      • 支付宝
      微信扫码支付
      充值学贝下载,立省60% 充值学贝下载,本次下载免费
        下载成功

        Ctrl + Shift + J 查看文件保存位置

        若下载不成功,可重新下载,或查看 资料下载帮助

        本资源来自成套资源

        更多精品资料

        正在打包资料,请稍候…

        预计需要约10秒钟,请勿关闭页面

        服务器繁忙,打包失败

        请联系右侧的在线客服解决

        单次下载文件已超2GB,请分批下载

        请单份下载或分批下载

        支付后60天内可免费重复下载

        我知道了
        正在提交订单

        欢迎来到教习网

        • 900万优选资源,让备课更轻松
        • 600万优选试题,支持自由组卷
        • 高质量可编辑,日均更新2000+
        • 百万教师选择,专业更值得信赖
        微信扫码注册
        qrcode
        二维码已过期
        刷新

        微信扫码,快速注册

        还可免费领教师专享福利「樊登读书VIP」

        手机号注册
        手机号码

        手机号格式错误

        手机验证码 获取验证码

        手机验证码已经成功发送,5分钟内有效

        设置密码

        6-20个字符,数字、字母或符号

        注册即视为同意教习网「注册协议」「隐私条款」
        QQ注册
        手机号注册
        微信注册

        注册成功

        下载确认

        下载需要:0 张下载券

        账户可用:0 张下载券

        立即下载
        账户可用下载券不足,请取消部分资料或者使用学贝继续下载 学贝支付

        如何免费获得下载券?

        加入教习网教师福利群,群内会不定期免费赠送下载券及各种教学资源, 立即入群

        即将下载

        新高考数学二轮复习专题一培优点4极值点偏移问题课件
        该资料来自成套资源,打包下载更省心 该专辑正在参与特惠活动,低至4折起
        [共10份]
        浏览全套
          立即下载(共1份)
          返回
          顶部
          Baidu
          map