新高考数学二轮复习专题六培优点8隐圆(阿波罗尼斯圆)问题课件
展开隐圆问题近几年在高考题和各地模拟题中都出现过,难度为中高档,在题设中没有明确给出圆的相关信息,而是隐含在题目中,要通过分析、转化、发现圆(或圆的方程),从而最终利用圆的知识来求解,我们称这类问题为“隐圆问题”.
利用圆的定义、方程确定隐形圆
(1)(2022·滁州模拟)已知A,B为圆C:x2+y2-2x-4y+3=0上的两个动点,P为弦AB的中点,若∠ACB=90°,则点P的轨迹方程为
所以点P的轨迹方程为(x-1)2+(y-2)2=1.
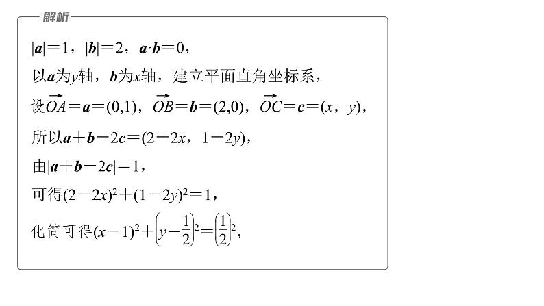
(2)(2022·茂名模拟)已知向量a,b满足|a|=1,|b|=2,a·b=0,若向量c满足|a+b-2c|=1,则|c|的取值范围是
|a|=1,|b|=2,a·b=0,以a为y轴,b为x轴,建立平面直角坐标系,
所以a+b-2c=(2-2x,1-2y),由|a+b-2c|=1,可得(2-2x)2+(1-2y)2=1,
对于动点的轨迹问题,一是利用曲线(圆、椭圆、双曲线、抛物线等)的定义识别动点的轨迹,二是利用直接法求出方程,通过方程识别轨迹.
设线段MN的中点为D,
所以|CD|=1,故点D的轨迹是以C为圆心,半径为1的圆,设点D的轨迹为圆D,
由圆周角的性质确定隐形圆
(1)已知点P(2,t),Q(2,-t)(t>0),若圆C:(x+2)2+(y-3)2=1上存在点M,使得∠PMQ=90°,则实数t的取值范围是A.[4,6] B.(4,6)C.(0,4]∪[6,+∞) D.(0,4)∪(6,+∞)
由题意知,点P(2,t),Q(2,-t)(t>0),可得以PQ为直径的圆的方程为(x-2)2+y2=t2,则圆心C1(2,0),半径R=t,又由圆C:(x+2)2+(y-3)2=1,可得圆心C(-2,3),半径r=1,
要使得圆C:(x+2)2+(y-3)2=1上存在点M,使得∠PMQ=90°,
所以实数t的取值范围是[4,6].
(2)(2022·长沙雅礼中学质检)已知直线l:x-y+4=0上动点P,过P点作圆x2+y2=4的两条切线,切点分别为C,D,记M是CD的中点,则直线CD过定点________,点M的轨迹方程为___________________.
如图,连接PO,CO,DO,因为PD⊥DO,PC⊥CO,所以P,D,O,C在以PO为直径的圆上,设P(x0,x0+4),
化简得x2-x0x-(x0+4)y+y2=0,与x2+y2=4联立,可得CD所在直线的方程为x0x+(x0+4)y=4⇒x0(x+y)=4(1-y)
直线CD过定点Q(-1,1),又OM⊥CD,所以OM⊥MQ,所以点M在以OQ为直径的圆上,
利用圆的性质,圆周角为直角,即可得到:若PA⊥PB或∠APB=90°,则点P的轨迹是以AB为直径的圆.注意轨迹中要删除不满足条件的点.
因为CA⊥CB,所以点C的轨迹是以AB为直径的圆,
即点C轨迹的圆心在圆x′2+y′2=2上,
故点(1,1)与该圆上的点(-1,-1)的连线的距离加上圆的半径即为点C到点(1,1)的距离的最大值,
对于选项A,设P(x,y),
化简得x2+y2+8x=0,故A正确;对于选项B,由选项A可知,点P的轨迹方程为x2+y2+8x=0,即(x+4)2+y2=16,所以点P的轨迹是以(-4,0)为圆心,4为半径的圆,又|AB|=6,且点A,B在直径所在直线上,故当点P到圆的直径所在直线的距离最大时,△PAB的面积取得最大值,因为圆上的点到直径的最大距离为半径,即△PAB的高的最大值为4,
对于选项C,假设在x轴上存在异于A,B的两定点M,N,
又点P的轨迹方程为x2+y2+8x=0,
故存在异于A,B的两定点M(-6,0),N(-12,0),
所以2|PA|+|PQ|=|PB|+|PQ|,又点P在圆x2+8x+y2=0上,如图所示,所以当P,Q,B三点共线时2|PA|+|PQ|取得最小值,此时(2|PA|+|PQ|)min=|BQ|
由题意,设A(-1,0),B(1,0),P(x,y),
因为|PA|2+|PB|2=(x+1)2+y2+(x-1)2+y2=2(x2+y2+1),其中x2+y2可看作圆(x-2)2+y2=3上的点(x,y)到原点(0,0)的距离的平方,
1.已知圆O:x2+y2=1,圆M:(x-a)2+(y-2)2=2.若圆M上存在点P,过点P作圆O的两条切线,切点为A,B,使得PA⊥PB,则实数a的取值范围为
若圆M上存在这样的点P,则圆M与x2+y2=2有公共点,
2.已知点A(-5,-5)在动直线mx+ny-m-3n=0上的射影为点B,若点C(5,-1),那么|BC|的最大值为A.16 B.14 C.12 D.10
由动直线方程化为m(x-1)+n(y-3)=0,可知其恒过定点Q(1,3).又∵点A(-5,-5)在动直线mx+ny-m-3n=0上的射影为点B,∴∠ABQ=90°,则点B的轨迹是以AQ为直径的圆,
∴点C(5,-1)在圆M外,故|BC|的最大值为r+|MC|=7+5=12.
所以△AOB为等边三角形,
当PQ与x2+y2=3相切时,∠PQO最大,
以BC的中点O为坐标原点,BC,OA所在直线为x轴、y轴,建立如图所示的平面直角坐标系.设△ABC的边长为4,
也就是以AO为直径的圆,易知该圆与△ABC的三边有4个公共点.
5.(多选)已知AB为圆O:x2+y2=49的弦,且点M(4,3)为AB的中点,点C为平面内一动点,若AC2+BC2=66,则A.点C构成的图象是一条直线B.点C构成的图象是一个圆C.OC的最小值为2D.OC的最小值为3
∵点M(4,3)为AB的中点,
∴点C构成的图象是以M为圆心,3为半径的圆,故A错误,B正确;∴可得OC的最小值为|OM|-3=5-3=2,故C正确,D错误.
6.(多选)(2022·福州模拟)已知A(-3,0),B(3,0),动点C满足|CA|=2|CB|,记C的轨迹为Γ.过A的直线与Γ交于P,Q两点,直线BP与Γ的另一个交点为M,则A.Q,M关于x轴对称
整理得Γ的方程为(x-5)2+y2=16,其轨迹是以D(5,0)为圆心,半径r=4的圆.由图可知,由于AB=6,所以当DP垂直于x轴时,△PAB的面积有最大值,
因为|PA|=2|PB|,|MA|=2|MB|,
又C的轨迹Γ关于x轴对称,所以Q,M关于x轴对称,选项A正确;当∠PMQ=45°时,∠PDQ=45°×2=90°,
当直线AC与圆D相切时,CD⊥AC,此时|AD|=8=2r=2|CD|,
所以切线AC的倾斜角为30°和150°,
如图,以AB的中点O为坐标原点,AB,OC所在直线为x轴、y轴,建立平面直角坐标系,则A(-1,0),B(1,0),设P(x,y).
即为(-1-x)(1-x)+y2-2λ+1=0,化简得x2+y2=2λ(λ>0),
过点O作OM⊥AC,垂足为点M,由题意知,线段AC与圆x2+y2=2λ有两个交点,
8.已知⊙M:x2+y2-2x-2y-2=0,直线l:2x+y+2=0,P为l上的动点,过点P作⊙M的切线PA,PB,切点为A,B,当|PM|·|AB|取得最小值时,直线AB的方程为________________.
⊙M:(x-1)2+(y-1)2=4,①则圆心M(1,1),⊙M的半径为2.如图,由题意可知PM⊥AB,
当|PM|·|AB|最小时,|PM|最小,此时PM⊥l.
新高考版高考数学二轮复习(新高考版) 第1部分 专题突破 专题6 培优点8 隐圆(阿波罗尼斯圆)问题课件PPT: 这是一份新高考版高考数学二轮复习(新高考版) 第1部分 专题突破 专题6 培优点8 隐圆(阿波罗尼斯圆)问题课件PPT,共57页。PPT课件主要包含了阿波罗尼斯圆,专题强化练等内容,欢迎下载使用。
新高考数学二轮复习 第1部分 专题6 培优点18 隐圆问题(含解析)课件PPT: 这是一份新高考数学二轮复习 第1部分 专题6 培优点18 隐圆问题(含解析)课件PPT,共17页。PPT课件主要包含了所以m的最大值是6,跟踪演练等内容,欢迎下载使用。
新高考数学二轮复习专题六培优点9圆锥曲线与圆的综合问题课件: 这是一份新高考数学二轮复习专题六培优点9圆锥曲线与圆的综合问题课件,共42页。PPT课件主要包含了内容索引,考点一,1求椭圆的方程,规律方法,考点二,设Pxy,专题强化练等内容,欢迎下载使用。

