2021-2022学年广东省韶关市高一下学期期末数学试题含解析
展开2021-2022学年广东省韶关市高一下学期期末数学试题
一、单选题
1.已知集合,则( )
A. B. C. D.
【答案】C
【分析】解集合B中的一元二次不等式可得,集合A为集合的列举法,集合B为描述法,进行交集的运算即可.
【详解】由题可知,故,
故选.
2.已知角的终边过点,则( )
A. B. C. D.
【答案】B
【分析】根据三角函数的定义得,再根据诱导公式即可求解.
【详解】由题可知,
故选:B.
3.设,,,则a,b,c的大小关系正确的是( )
A. B. C. D.
【答案】A
【分析】分别判断各数与0比较大小,即可分别判断.
【详解】由题知,,,故,
故选A .
4.某社区为迎接2022农历虎年,组织了庆祝活动,已知参加活动的老年人、中年人、青年人的人数比为12:15:13,如果采用分层抽样的方法从所有人中抽取一个80人的样本进行调查,则应抽取的青年人的人数为( )
A.20 B.22 C.24 D.26
【答案】D
【分析】由分层抽样抽样比可得答案.
【详解】由分层抽样可知,抽取青年人人数为.
故选:D.
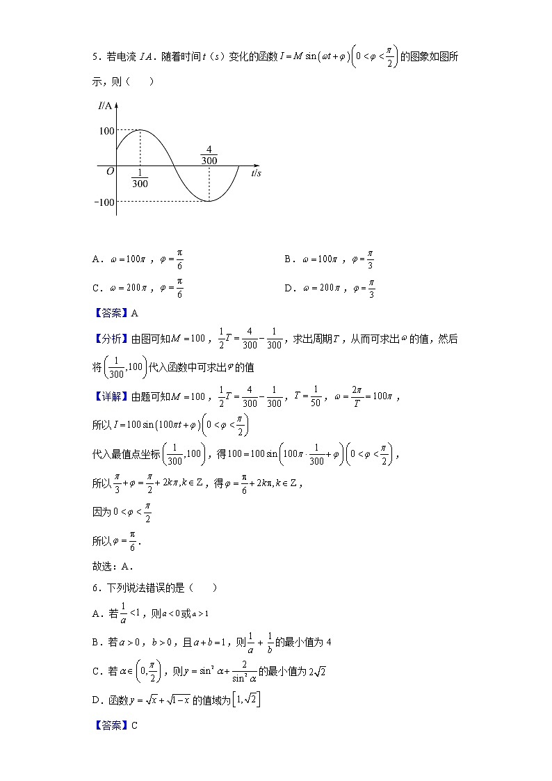
5.若电流ⅠA.随着时间t(s)变化的函数的图象如图所示,则( )
A., B.,
C., D.,
【答案】A
【分析】由图可知,,求出周期,从而可求出的值,然后将代入函数中可求出的值
【详解】由题可知,,,,
所以
代入最值点坐标,得,
所以,得,
因为
所以.
故选:A.
6.下列说法错误的是( )
A.若,则或
B.若,,且,则的最小值为4
C.若,则的最小值为
D.函数的值域为
【答案】C
【分析】对于A,直接求解分式不等式即可,对于B,由题意得,化简后利用基本不等式可求得其最小值,对于C,利用基本不等式判断,对于D,令,则,然后利用正弦函数的性质求其值域
【详解】选项A:,所以则或,故A正确;
选项B:,当且仅当时取得等号,故B正确;
选项C,,当且仅当时取得等号,而,从而上述不等式取不到等号,最小值要大于,故C错误;
选项D,可令,,则,,,,,故D正确.
故选:C.
7.如图,在等腰梯形ABCD中,,,,E为BC边上一点,且满足,若,则( )
A. B. C.4 D.8
【答案】B
【分析】由平面向量的基本定理与数量积的运算性质求解即可
【详解】由题可知,
故,从而易知.
,
.
故,
故选:B.
8.在棱长为2的正方体中,E是棱的中点,则过B、E、三点的平面截正方体所得的截面图形的面积为( )
A.5 B. C. D.
【答案】C
【分析】先作出截面图形,易知截面为菱形,再结合菱形面积公式求解即可
【详解】设平面交棱AD于F,
由正方体性质及平面与平面平行的性质定理得,,
由勾股定理可得四边形所有边长的长度为,
所以是菱形,且为的中点,
取的中点,连接,则
,
故.
故选:C.
二、多选题
9.已知i是虚数单位,若复数z满足,是复数z的共轭复数,则( )
A.z的虚部是 B.
C. D.复数z在复平面上对应的点在第一象限
【答案】ACD
【分析】根据复数的概念判定A正确,根据共轭复数的概念判断B错误,根据复数模的计算公式判断C正确,根据复数的几何意义判断D正确.
【详解】原式化简得,虚部为,A对;,B错;,C对;z在复平面上对应的点为,在第一象限,D对,
故选:ACD.
10.已知,是两个不同的平面,l,m是两条不同的直线,则下列说法正确的有( )
A.若,,则 B.若,,,则
C.若,,,则 D.若,,,则
【答案】BC
【分析】由空间中直线与直线、直线与平面的位置关系判断即可.
【详解】对于A,若,,l和m可以相交,故错误;
对于B,若,,,则,正确;
对于C,若,,则或在内,又,则正确;
对于D,若,,,可能,故不一定成立.
故选:BC.
11.已知函数,则( )
A. B.若,则或
C.函数在上单调递减 D.函数在的值域为
【答案】BD
【分析】作出函数图象,根据图象逐个分析判断即可
【详解】函数的图象如左图所示.
,故A错误;
当时,,此时方程无解;当时,或,故B正确;
由图象可得,在上单调递增,故C错误;
由图象可知当时,,,故在的值域为,D正确.
故选:BD.
12.如图,在菱形ABCD中,,,M为BC的中点,将△ABM沿直线AM翻折成,连接和,N为的中点,则( )
A.平面平面AMCD
B.线段CN的长为定值
C.当三棱锥的体积最大时,三棱锥的外接球的表面积为
D.二面角的最大值为30°
【答案】ABD
【分析】对于A,由已知可得△ABC为等边三角形,则,由翻折性质知,平面,再由面面垂直的判定可得结论,对于B,取AD中点E,由三角形中位线定理可得,,由等角定理得,然后在△NEC中由余弦定理可求出CN长,对于C,由题意可知将三棱锥的顶点放置在长宽高分别为2,,1的长方体的顶点处,从而可求出其外接球的半径,进而可求出球的表面积,对于D,过作,垂足为F,过F作,垂足为D,可和即为二面角的平面角,当时,取得最大值1,从而可求出其角度
【详解】对于A,如图所示,在菱形ABCD中,,,所以△ABC为等边三角形,又M是BC的中点,所以,由翻折性质知,又因为,平面,,所以平面,因为平面AMCD,所以平面平面AMCD,故A正确;
对于B,如图所示,取AD中点E,则,,在菱形ABCD中, ,,因为和的两边方向相同,则由等角定理得,在△NEC中,由余弦定理可得,所以,即CN长为定值,故B正确;
对于C,由题意可知当平面平面AMD时,三棱锥的体积最大,由A项已证知此时平面AMD,易知,所以,故可将三棱锥的顶点放置在长宽高分别为2,,1的长方体的顶点处,此时三棱锥的外接球即为长方体的外接球,则长方体的外接球半径,表面积为,故C错误;
对于D,如图所示,由选项A可知,平面平面AMCD,在平面中,过作,垂足为F,在平面AMCD中,过F作,垂足为,因为平面平面AMCD,,平面平面,平面,所以平面AMCD,即为二面角的平面角.,在菱形ABCD中,已知FG为定值,由平面,知,点的在以M为圆心的圆弧上,所以当时,取得最大值1,此时,因为为锐角,所以,故D正确,
故选:ABD.
三、填空题
13.已知,,则__________.
【答案】
【分析】利用同角三角函数间的关系求解即可
【详解】因为,,
所以.
故答案为:
14.已知,,则在的投影向量是__________(用坐标表示).
【答案】
【分析】由投影向量得定义求解即可
【详解】因为,,则在的投影向量是
.
故答案为:
15.如图,平面四边形ABCD中,已知,,,,则边AB的长为__________.
【答案】
【分析】根据正弦定理求得,再根据已知求得,利用余弦定理即可求得AB的长.
【详解】依题意得,在△BCD中,由正弦定理可得
即
在△ACD中,,所以,
在△ADB中,由余弦定理得,
解得.
故答案为:
四、双空题
16.已知一组样本数据分为甲、乙两小组,其中,甲小组有10个数,其平均数为60,方差为200;乙小组有40个数,其平均数为70,方差为300,则这组样本的平均数为__________,方差为__________.
【答案】 68 296
【分析】先分别求出甲、乙两小组所占的权重,然后利用平均数和方差的计算公式求解即可.
【详解】解:
.
故答案为:68;296
五、解答题
17.如图,已知正方体的棱长为2,E,F分别是AB,的中点.
(1)求直线与直线所成角的正切值;
(2)求三棱锥的体积.
【答案】(1)2
(2)1
【分析】(1)根据,可得即为直线与直线所成角,解即可得解;
(2)根据棱锥的体积公式即可得解.
【详解】(1)解:在正方体中,有,
所以即为直线与直线所成角,
在中,易知,,
所以,
所以直线与直线所成角的正切值为2.
(2)解:在正方形中,
有,
又平面.
所以,
即三棱锥的体积为1.
18.为弘扬我国优秀传统文化,某校组织了高一年级学生进行这方面的知识测试.根据测试成绩(总分100分),将所得数据按照,,,,,分成6组,其频率分布直方图如图所示.
(1)求图中a的值;
(2)试估计高一级本次知识测试成绩的平均分(同一组中的数据用该组区间的中点值作代表);
(3)该校准备对本次知识测试成绩优秀(将成绩从高到低排列,排在前15%的为优秀)的学生进行嘉奖,则受嘉奖的学生分数不低于多少?(结果保留一位小数)
【答案】(1);
(2)71;
(3)86.7
【分析】(1)直接由频率和为1求解即可;
(2)由每组区间的中点值乘该组频率,再求和即可求解;
(3)先利用频率确定受嘉奖学生最低分所在区间,再由方程求解即可.
【详解】(1)由,解得;
(2),故本次知识测试成绩的平均分为71;
(3)设受嘉奖的学生分数不低于x分,因为,对应的频率和为,对应的频率,
故,所以,解得.故受嘉奖的学生分数不低于86.7.
19.已知,.
(1)若,求的值.
(2)设,现将函数的图象向左平移个单位长度,再向上平移1个单位长度后得到函数的图象,求函数在上的值域.
【答案】(1)
(2)
【分析】(1)根据向量平行的坐标关系,可得,根据二倍角的正弦公式,展开,根据齐次式法化简,即可得答案.
(2)由题意得,根据平移原则,可得解析式,根据x的范围,可得的范围,根据正弦型函数的性质,即可得答案.
【详解】(1)因为,所以,
易知,所以.
所以.
(2)由题意得
由图象平移可知
因为,所以,
所以,
所以,即的值域为.
20.在中,内角A,B,C所对的边分别为a,b,c,现给出两个条件:
①;
②.
要求你从中选出一个条件,并以此为依据解下面问题:
(1)求A的值;
(2)若,D为BC中点,且,求的面积.
【答案】(1)任选一条件,都有
(2)
【分析】(1)若选择①,根据正弦定理边化角可得,根据两角和的正弦公式,诱导公式,化简整理,结合角A的范围,即可得答案;若选择②,根据诱导公式,两角和的正切公式,化简整理,结合角A的范围,即可得答案;
(2)由题意得,左右同时平方,结合数量积公式及题干条件,可得c值,代入面积公式,即可得答案.
【详解】(1)若选择①,由正弦定理可得,
可将已知条件转化为
即,
所以.
在中,有,
故,
所以,
又,所以,
故,
又,所以.
若选择②
在中,有,
所以
即,
所以.
又由已知条件得,
又A,B,,所以,所以
所以.
(2)因为,
故,即
代入数据得,
解得或(舍去),
所以,
即的面积为.
21.如图,在四棱锥S-ABCD中,底面ABCD是直角梯形,,,侧面底面ABCD,,,M是棱SB上靠近点S的一个三等分点.
(1)求证:平面平面SAB;
(2)求证:平面SCD;
(3)若△SAB是边长为2的等边三角形,求直线SC与平面ABCD所成角的正弦值.
【答案】(1)证明见解析
(2)证明见解析
(3)
【分析】(1)由已知面面垂直可得BC⊥平面SAB,再由面面垂直的判定定理可证得结论,
(2)取棱SC上靠近点S的一个三等分点N,连接MN,DN,则可得到四边形ADNM为平行四边形,所以,再由线面平行的判定定理可证得结论,
(3)取AB中点E,连接SE,EC,可证得SE⊥平面ABCD,所以∠SCE为直线SC与平面ABCD所成角,然后在△SCE中求解即可
【详解】(1)证明:因为平面SAB⊥平面ABCD,平面平面,平面ABCD,BC⊥AB,
所以BC⊥平面SAB.
因为平面SBC,
所以平面SBC⊥平面SAB.
(2)证明:取棱SC上靠近点S的一个三等分点N,连接MN,DN,如图所示
在平面SBC中,由得,且,
又,,
所以,,
所以四边形ADNM为平行四边形,
所以,
又平面SCD,平面SCD,
所以平面SCD.
(3)解:取AB中点E,连接SE,EC.
因为△SAB为等边三角形,所以SE⊥AB
因为平面SAB⊥平面ABCD,平面平面,
平面SAB,所以SE⊥平面ABCD
所以∠SCE为直线SC与平面ABCD所成角,
在中, ,
在梯形ABCD中,
在△SCE中,有,
所以.
即直线SC与平面ABCD所成角的正弦值为.
22.双曲函数是一类与常见的三角函数类似的函数,最基本的双曲函数是双曲正弦函数和双曲余弦函数(历史上著名的“悬链线问题”与之相关).记双曲正弦函数为,双曲余弦函数为,已知这两个最基本的双曲函数具有如下性质:
①定义域均为,且在上是增函数;
②为奇函数,为偶函数;
③(常数是自然对数的底数,).
利用上述性质,解决以下问题:
(1)求双曲正弦函数和双曲余弦函数的解析式;
(2)证明:对任意实数,为定值;
(3)已知,记函数,的最小值为,求.
【答案】(1),
(2)证明见解析
(3)
【分析】(1)利用函数奇偶性的性质可得出关于、的等式组,即可求得这两个函数的解析式;
(2)利用指数的运算性质可证得结论成立;
(3)设,可得出,问题转化为求函数,的最小值,对实数的取值进行分类讨论,分析函数在上的单调性,即可求得的表达式.
【详解】(1)解:由性质③知,所以,
由性质②知,,,所以,
即,解得,.
因为函数、均为上的增函数,故函数为上的增函数,合乎题意.
(2)证明:由(1)可得:
.
(3)解:函数,设,
由性质①,在是增函数知,当时,,
所以原函数即,,
设,,
当时,在上单调递减,此时.
当时,函数的对称轴为,
当时,则,在上单调递减,此时,
当时,即时,在上单调递减,在上单调递增,
此时.
当时,即时,在上单调递减,此时.
综上所述,.
【点睛】方法点睛:“动轴定区间”型二次函数最值的方法:
(1)根据对称轴与区间的位置关系进行分类讨论;
(2)根据二次函数的单调性,分别讨论参数在不同取值下的最值,必要时需要结合区间端点对应的函数值进行分析;
(3)将分类讨论的结果整合得到最终结果.
2022-2023学年广东省韶关市高一下学期期末数学试题(含详细答案解析): 这是一份2022-2023学年广东省韶关市高一下学期期末数学试题(含详细答案解析),共19页。试卷主要包含了单选题,多选题,填空题,解答题等内容,欢迎下载使用。
广东省韶关市2022-2023学年高二下学期期末数学试题(解析版): 这是一份广东省韶关市2022-2023学年高二下学期期末数学试题(解析版),共22页。
广东省韶关市2022-2023学年高一下学期期末数学试题(原卷版+解析版): 这是一份广东省韶关市2022-2023学年高一下学期期末数学试题(原卷版+解析版),共27页。

