苏教版 (2019)必修 第一册第5章 函数概念与性质5.1 函数的概念和图象习题ppt课件
展开进阶训练5(范围:5.1~5.4)
一、基础达标
1.若函数y=f(x)的定义域是[0,2],则函数g(x)=的定义域是( )
A.[0,2] B.[0,1)
C.[0,1)∪(1,4] D.[0,1)∪(1,2]
答案 B
解析 由于函数f(x)的定义域为[0,2],所以0≤2x≤2,即0≤x≤1,所以函数f(2x)的定义域是[0,1].又x-1≠0,即x≠1,所以函数g(x)的定义域为[0,1).故选B.
2.具有性质:f=-f(x)的函数,我们称为满足“倒负”变换的函数,下列函数中满足“倒负”变换的函数是( )
①f(x)=x-;②f(x)=x+;
③f(x)=
A.①② B.②③
C.①③ D.①
答案 C
解析 对于①,f=-x=-=-f(x),满足“倒负”变换.
对于②,f=+x=x+=f(x)≠-f(x),不满足“倒负”变换.
对于③,当0<x<1时,f=-=-x=-f(x);当x=1时,f=0=-f(x);当x>1时,f==-=-f(x),满足“倒负”变换.故选C.
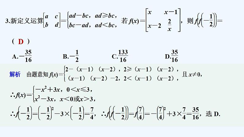
3.新定义运算=若f(x)=,则f=( )
A.- B.-
C. D.
答案 D
解析 由题意知f(x)=
且x≠0,
∴f(x)=
∴f=-3×=,
∴f=f=-+3×=,故选D.
4.若函数f(x)=的定义域为R,则实数m的取值范围是( )
A.(0,3) B.[0,3)
C.[0,2)∪(2,3) D.[0,2)∪(2,3]
答案 B
解析 由于函数f(x)的定义域为R,则mx2+2mx+3≠0恒成立.当m=0时,不等式3≠0恒成立;当m≠0时,由Δ=4m2-12m<0,解得0<m<3.综上,得实数m的取值范围是[0,3).故选B.
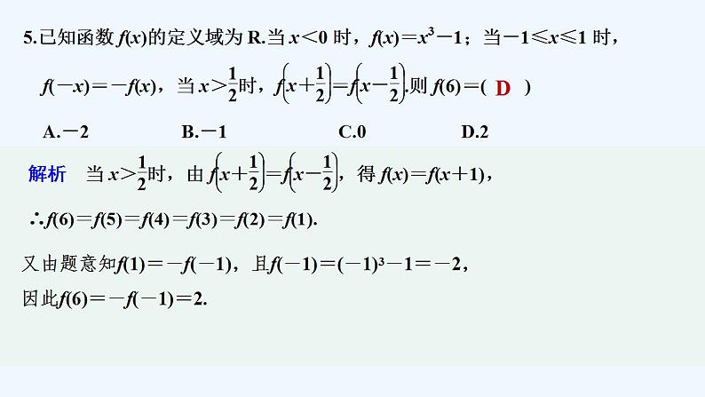
5.已知函数f(x)的定义域为R.当x<0时,f(x)=x3-1;当-1≤x≤1时,f(-x)=-f(x),当x>时,f=f.则f(6)=( )
A.-2 B.-1
C.0 D.2
答案 D
解析 当x>时,由f=f,
得f(x)=f(x+1),∴f(6)=f(5)=f(4)=f(3)=f(2)=f(1).
又由题意知f(1)=-f(-1),且f(-1)=(-1)3-1=-2,
因此f(6)=-f(-1)=2.
6.若函数f(x)=x2-2ax+3图象的对称轴为x=1,则当x∈[-1,2]时,f(x)的值域为________.
答案 [2,6]
解析 由对称轴为x=1得a=1.∴f(x)=x2-2x+3,
∴f(x)在[-1,1]上单调递减,在[1,2]上单调递增,
∴f(x)min=f(1)=2,f(x)max=f(-1)=6,
∴f(x)∈[2,6].
7.设奇函数f(x)在(0,+∞)上是增函数,且f(1)=0,则不等式x[f(x)-f(-x)]<0的解集为________.
答案 {x|-1<x<0或0<x<1}
解析 由题知f(-x)=-f(x),
∴不等式x[f(x)-f(-x)]<0可化简为xf(x)<0.
又f(1)=0,∴f(-1)=0.
∵奇函数f(x)在(0,+∞)上是增函数,
从而函数f(x)的大致图象如图所示,
则不等式x[f(x)-f(-x)]<0的解集为{x|-1<x<0或0<x<1}.
8.已知函数y=f(x)是偶函数,y=g(x)是奇函数,它们的定义域均为[-π,π],且在x∈[0,π]上的图象如图所示,则不等式<0的解集是________.
答案 ∪
解析 作出函数y=f(x)与y=g(x)在[-π,π]上的图象,如图所示.
由图象,知不等式<0的解集为∪.
9.已知函数f(x)=ax2+2(a-1)x+2.
(1)若f(x)的单调区间为(-∞,4),求实数a的值;
(2)若f(x)在区间(4,+∞)上单调递增,求实数a的取值范围.
解 (1)由题意知=4,解得a=.
(2)当a=0时,f(x)=-2x+2在(4,+∞)上单调递减,不满足题意;
当a≠0时,解得a≥.
综上,实数a的取值范围为.
10.设函数f(x)是定义在R上的偶函数,且在区间(-∞,0)上单调递增,若f(2a2+a+1)<f(3a2-2a+1),求实数a的取值范围.
解 ∵f(x)在R上是偶函数,且在区间(-∞,0)上单调递增,
∴f(x)在(0,+∞)上单调递减,
∵2a2+a+1=2+>0,3a2-2a+1=3+>0,f(2a2+a+1)<f(3a2-2a+1),∴2a2+a+1>3a2-2a+1,化简得a2-3a<0,解得0<a<3.
∴实数a的取值范围是(0,3).
二、能力提升
11.已知图象开口向上的二次函数f(x),对任意x∈R,都满足f(3-x)=f(x),若f(x)在区间(a,2a-1)上单调递减,则实数a的取值范围为( )
A. B.
C. D.(-∞,2)
答案 B
解析 由f(3-x)=f(x),得f=f,所以函数f(x)的图象的对称轴是直线x=,又f(x)的图象开口向上,故若f(x)在区间(a,2a-1)上单调递减,则解得1<a≤.故选B.
12.已知定义在R上的偶函数f(x)在[0,+∞)上单调递增,且f(2)=1,若f(x+a)≤1对x∈[-1,1]恒成立,则实数a的取值范围是________.
答案 [-1,1]
解析 由题意,知f(x+a)≤f(2)对x∈[-1,1]恒成立,即-2≤x+a≤2对x∈[-1,1]恒成立,即-2-x≤a≤2-x对x∈[-1,1]恒成立.当x∈[-1,1]时,(-2-x)max=-2-(-1)=-1,(2-x)min=2-1=1,所以-1≤a≤1,所以实数a的取值范围是[-1,1].
13.如图,在边长为6的正方形ABCD的边上有一点P,沿着折线BCDA由点B(起点)向点A(终点)运动(不包括点A,B).设点P经过的路程为x,△APB的面积为y.
(1)求y关于x的函数关系式;
(2)画出函数y=f(x)的图象.
解 (1)当点P在线段BC(不包括点B)上移动时,BP=x且0<x≤6,
S△APB=AB·BP=×6·x=3x;
当点P在线段CD(不包括点C)上移动时,6<x≤12,
S△APB=AB·6=×6×6=18;
当点P在线段DA(不包括点A,D)上移动时,12<x<18,
S△APB=AB·PA=×6(18-x)=54-3x.
综上,y=
(2)画出函数y=f(x)的图象,如图所示.
三、创新拓展
14.设函数f(x)的定义域为R,满足f(x+1)=2f(x),且当x∈(0,1]时,f(x)=x(x-1).若对任意x∈(-∞,m],都有f(x)≥-,则m的取值范围是( )
A. B.
C. D.
答案 B
解析 当x∈(0,1]时,f(x)=x(x-1)=-,所以f(x)在上单调递减,在上单调递增,所以f(x)min=f=-,
f(x)max=f(1)=0.
由f(x+1)=2f(x)知,当x≤1时,f(x)≥->-;
当x∈(1,2]时,f(x)=2f(x-1)≥2×=->-;
当x∈(2,3]时,由f(x)=4f(x-2)=4(x-2)(x-3)≥-,
解得x≤或x≥.
综上可知,当m≤时,f(x)≥-恒成立.故选B.
【最新版】高中数学(新苏教版)习题+同步课件进阶训练8(范围5.1~5.2): 这是一份【最新版】高中数学(新苏教版)习题+同步课件进阶训练8(范围5.1~5.2),文件包含进阶训练8范围51~52pptx、进阶训练8范围51~52doc等2份课件配套教学资源,其中PPT共20页, 欢迎下载使用。
【最新版】高中数学(新苏教版)习题+同步课件进阶训练7(范围4.3.1~4.3.3): 这是一份【最新版】高中数学(新苏教版)习题+同步课件进阶训练7(范围4.3.1~4.3.3),文件包含进阶训练7范围431~433pptx、进阶训练7范围431~433doc等2份课件配套教学资源,其中PPT共23页, 欢迎下载使用。
【最新版】高中数学(新苏教版)习题+同步课件进阶训练6(范围4.1~4.2): 这是一份【最新版】高中数学(新苏教版)习题+同步课件进阶训练6(范围4.1~4.2),文件包含进阶训练6范围41~42pptx、进阶训练6范围41~42doc等2份课件配套教学资源,其中PPT共21页, 欢迎下载使用。

