高考数学二轮专题训练高考大题专项练9解析几何a组课件
展开
这是一份高考数学二轮专题训练高考大题专项练9解析几何a组课件,共13页。
1.已知定点S( -2,0) ,T(2,0),动点P为平面上一个动点,且直线SP,TP的斜率之积为- .(1)求动点P的轨迹E的方程;(2)设点B为轨迹E与y轴正半轴的交点,是否存在直线l,使得l交轨迹E于M,N两点,且F(1,0)恰是△BMN的垂心?若存在,求l的方程;若不存在,说明理由.
【解析】(1)设P(x,y),由已知有 ,整理得动点P的轨迹E的方程为 =1(x≠±2).(2)由(1)知,E的方程为 =1(x≠±2),所以B(0, ),又F(1,0),所以直线BF的斜率kBF=- ,假设存在直线,使得F是△BMN的垂心,则BF⊥MN.设这条直线的斜率为k,则kBF·k=-1,所以k= .
设这条直线的方程为y= x+m,M ,N .由 得13x2+8 mx+12 =0,
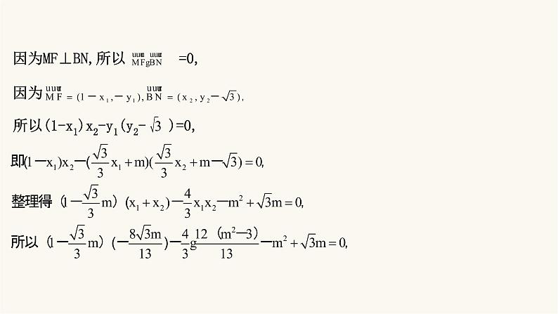
因为MF⊥BN,所以 =0,因为所以(1-x1)x2-y1(y2- )=0,
整理得21m2-5 m-48=0,解得m= 或m=- ,当m= 时,直线MN过点B,不能构成三角形,舍去;当m=- 时,满足- b>0)的长轴长为4,右焦点为F,且椭圆C上的点到点F的距离的最小值与最大值的积为1,圆O:x2+y2=1与x轴交于A,B两点.(1)求椭圆C的方程;(2)动直线l:y=kx+m与椭圆C交于P,Q两点,且直线l与圆O相切,求△APQ的面积与△BPQ的面积乘积的取值范围.
【解析】(1)设椭圆C的焦距为2c,则由已知得2a=4,(a-c)(a+c)=1,解得a=2,c= ,因为b2=a2-c2,所以b=1,所以椭圆C的方程为 +y2=1.
(2)由 得 x2+8kmx+4m2-4=0,Δ=(8km)2-4 =16 >0,
设P ,Q 则x1+x2=- ,x1x2= ,所以|PQ|=
因为直线l与圆O相切,所以点O到直线l的距离d= =1,即1+k2=m2,所以Δ=48k2,由Δ>0得k2>0,因为圆O:x2+y2=1与x轴交于A,B两点,所以A(1,0),B(-1,0),所以A,B两点到直线l的距离分别为d1= ,d2= ,
所以△APQ的面积与△BPQ的面积乘积为S△APQ·S△BPQ
相关课件
这是一份高考数学二轮专题训练高考大题专项练12解析几何d组课件,共11页。
这是一份高考数学二轮专题训练高考大题专项练14函数与导数b组课件,共9页。
这是一份高考数学二轮专题训练高考大题专项练10解析几何b组课件,共12页。

