还剩5页未读,
继续阅读
高考数学二轮专题训练高考大题专项练14函数与导数b组课件
展开
这是一份高考数学二轮专题训练高考大题专项练14函数与导数b组课件,共9页。
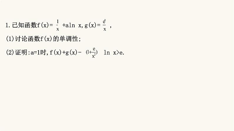
1.已知函数f(x)= +aln x,g(x)= ,(1)讨论函数f(x)的单调性;(2)证明:a=1时,f(x)+g(x)- ln x>e.
【解析】(1)f(x)= +aln x,(x∈(0,+∞)).f′(x)=- + = .当a≤0时,f′(x)0时,由f′(x) ,所以函数f(x)在 上单调递减,在 上单调递增.
(2)a=1时,要证f(x)+g(x)- ln x>e.即要证: + ln x-e>0⇔ex-ex+1> ,x∈(0,+∞).令F(x)=ex-ex+1,F′(x)=ex-e,当x∈(0,1)时,F′(x)0,此时函数F(x)单调递增.可得x=1时,函数F(x)取得最小值,F(1)=1.令G(x)= ,G′(x)= ,
当0e时,G′(x)G(x),即ex-ex+1> ,x∈(0,+∞).故原不等式成立.
2.已知函数f(x)= -2ln x的图象在x=1处的切线过点(0,2-2a),a,b∈R.(1)若a+b= ,求函数f(x)的极值点.(2)设x1,x2(x1≠x2)是函数f(x)的两个极值点,若
相关课件
高考数学二轮专题训练高考大题专项练10解析几何b组课件:
这是一份高考数学二轮专题训练高考大题专项练10解析几何b组课件,共12页。
高考数学二轮专题训练高考大题专项练16函数与导数d组课件:
这是一份高考数学二轮专题训练高考大题专项练16函数与导数d组课件,共10页。
高考数学二轮专题训练高考大题专项练15函数与导数c组课件:
这是一份高考数学二轮专题训练高考大题专项练15函数与导数c组课件,共9页。

