还剩5页未读,
继续阅读
高考数学二轮专题训练高考大题专项练16函数与导数d组课件
展开
这是一份高考数学二轮专题训练高考大题专项练16函数与导数d组课件,共10页。
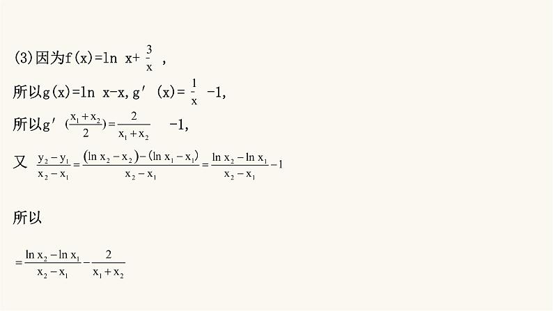
1.已知函数f(x)=ln x+ ,a∈R,且f(x)在x=1处的切线平行于直线2x+y=0.(1)求a的值;(2)求函数f(x)的单调区间;(3)已知函数g(x)=f(x)-x- 图象上不同两点A ,试比较 与g′ 的大小.
【解析】(1)f(x)=ln x+ ,a∈R.f(x)的定义域为(0,+∞),f′(x)= - ,因为f(x)在x=1处的切线平行于直线2x+y=0,所以f′(1)=1-a=-2,所以a=3.(2)由(1)知f(x)=ln x+ ,所以f′(x)= - ,所以x>3时,f′(x)>0,所以函数f(x)的单调增区间是(3,+∞),当00,所以 >0,所以 .
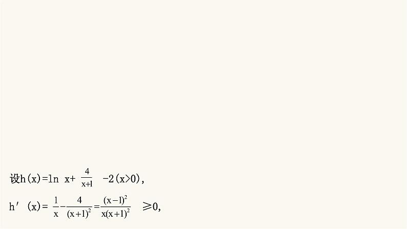
2.已知函数f(x)=ln x-mx .(1)讨论f(x)的单调性;(2)若f(x)恰有两个不同的零点x1,x2,证明:f′(x1) +f′(x2) >0.
【解析】(1)因为f(x)=ln x-mx,所以f′(x)= -m= ,当m≤0时,f′(x)>0恒成立,所以f(x)在 上单调递增,当m>0时,令f′(x)>0得00时,f(x)在 上单调递增,在 上单调递减.
相关课件
高考数学二轮专题训练高考大题专项练12解析几何d组课件:
这是一份高考数学二轮专题训练高考大题专项练12解析几何d组课件,共11页。
高考数学二轮专题训练高考大题专项练14函数与导数b组课件:
这是一份高考数学二轮专题训练高考大题专项练14函数与导数b组课件,共9页。
高考数学二轮专题训练高考大题专项练15函数与导数c组课件:
这是一份高考数学二轮专题训练高考大题专项练15函数与导数c组课件,共9页。

