高中数学人教A版 (2019)选择性必修 第一册3.1 椭圆教课ppt课件
展开在日常生活与学习中,可以见到很多有关椭圆的现象,如图所示.
圆是平面内到圆心的距离等于半径的点的集合,
什么是椭圆?椭圆上任意一点的特征是什么?
若将细绳的两端拉开一段距离,分别固定在图板上不同的两点F1、F2处,并用笔尖拉紧绳子,再移动笔尖一周,这时笔尖画出的轨迹是什么图形呢?
1.视笔尖为动点,两个图钉为定点,动点到两定点距离之和符合什么条件,其轨迹是椭圆?
2.改变两图钉之间的距离,使其与绳长相等,画出的图形还是椭圆吗?
平面内到两个定点F1、F2的距离之和等于常数(大于|F1F2|)的点的轨迹叫做椭圆。
两个定点叫做椭圆的焦点, 两个焦点间的距离叫做椭圆的焦距。
讨论:若把绳长记为2a,两定点间的距离记为2c(c≠0).(1)当2a>2c时,轨迹是 ;(2)当2a=2c时,轨迹 是 ; (3)当2a<2c时, ;
以F1,F2为端点的直线段
|MF1|+|MF2|=2a>2c
如图所示:取过焦点F1,F2 的直线为x轴,线段 F1F2 的垂直平分线为y轴,设P(x,y)为椭圆上的任意一点,则椭圆的焦距是2c(c>0)
|MF1|+|MF2|=2a
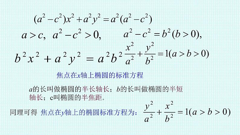
a的长叫做椭圆的半长轴长;b的长叫做椭圆的半短轴长;c叫椭圆的半焦距。
焦点在x轴上椭圆的标准方程
同理可得 焦点在y轴上的椭圆标准方程为:
又c=4,所以b2=a2-c2=25-16=9.
(2)因为椭圆的焦点在y轴上,所以设标准方程为
又椭圆经过点(0,2)和(1,0),
(3)设所求椭圆的方程为mx2+ny2=1(m>0,n>0,m≠n),依题意有
椭圆方程的求法1.利用待定系数法求椭圆标准方程的一般步骤如下:(1)先确定焦点位置;(2)设出方程;(3)寻求a,b,c的等量关系;(4)求a,b的值,代入所设方程.2.当焦点位置不确定时,可设椭圆方程为mx2+ny2=1(m≠n,m>0,n>0).因为焦点位置包括焦点在x轴上(m<n)或焦点在y轴上(m>n)两种情况,所以可以避免分类讨论,从而简化运算.
例2.一个动圆与圆Q1:(x+3)2+y2=1外切,与圆Q2:(x-3)2+y2=81内切,试求这个动圆圆心的轨迹方程.
两定圆的圆心和半径分别为Q1(-3,0),r1=1;Q2(3,0),r2=9.
设动圆圆心为M(x,y),半径为R,由题意有|MQ1|=1+R,|MQ2|=9-R,∴|MQ1|+|MQ2|=10>|Q1Q2|=6.
由椭圆的定义可知点M在以Q1,Q2为焦点的椭圆上,且a=5,c=3,∴b2=a2-c2=25-9=16.
1.若动点轨迹满足椭圆的定义,则根据椭圆的定义来确定a,b,c,从而确定椭圆的标准方程,这种求轨迹方程的方法称为定义法.2.一般步骤:(1)将条件转化为到两定点的距离之和为定值(该定值大于两定点之间的距离);(2)判断椭圆的中心是否在原点、对称轴是否为坐标轴;(3)确定椭圆的基本量a,b,c,从而确定椭圆的标准方程.
(-9,8)∪(8,25).
(1)由|PF1|+|PF2|是定值,求|PF1|·|PF2|的最大值,可考虑用基本不等式;
(2)求焦点三角形的面积,可考虑用定义|PF1|+|PF2|=2a及余弦定理先求|PF1|·|PF2|,再考虑用三角形面积公式求面积.
当且仅当|PF1|=|PF2|=10时,等号成立,
|PF1|·|PF2|取到最大值100.
高中数学人教A版 (2019)选择性必修 第一册3.1 椭圆教学ppt课件: 这是一份高中数学人教A版 (2019)选择性必修 第一册<a href="/sx/tb_c4000333_t3/?tag_id=26" target="_blank">3.1 椭圆教学ppt课件</a>,文件包含高二上学期数学人教A版2019选择性必修第一册311椭圆及其标准方程课件pptx、高二上学期数学人教A版2019选择性必修第一册311椭圆及其标准方程教案docx等2份课件配套教学资源,其中PPT共33页, 欢迎下载使用。
高中3.1 椭圆教课ppt课件: 这是一份高中3.1 椭圆教课ppt课件,共21页。PPT课件主要包含了知识点1椭圆的定义,椭圆标准方程,a2b2+c2等内容,欢迎下载使用。
人教A版 (2019)3.1 椭圆课文内容课件ppt: 这是一份人教A版 (2019)3.1 椭圆课文内容课件ppt,文件包含311椭圆及其标准方程课件-2022-2023学年高二上学期数学人教A版2019选择性必修第一册pptx、311椭圆与开普勒mp4等2份课件配套教学资源,其中PPT共33页, 欢迎下载使用。

