所属成套资源:2022天水甘谷县四中高一下学期第一次检测及答案(九科)
2022天水甘谷县四中高一下学期第一次检测数学试题含答案
展开
这是一份2022天水甘谷县四中高一下学期第一次检测数学试题含答案,共17页。试卷主要包含了在中,若,,则,,则,已知,,则,已知,则,向量,且,则,如图,,下列等式中成立的是,下列各式中值为1的是等内容,欢迎下载使用。
第I卷(选择题)
1.在中,若,,则( )
A.B.C.D.
2.,则( )
A.B.C.D.
3.已知,,则
A.B.C.D.
4.在中,角,,所对的边分别是,,,已知,,,则( )
A.3B.C.D.3
5.已知,则( )
A.2B.C.1D.0
6.在中,内角,,所对的边分别为,,,若,且,则的形状是( )
A.锐角三角形B.钝角三角形
C.等腰直角三角形D.直角三角形
7.向量,且,则( )
A.B.C.D.
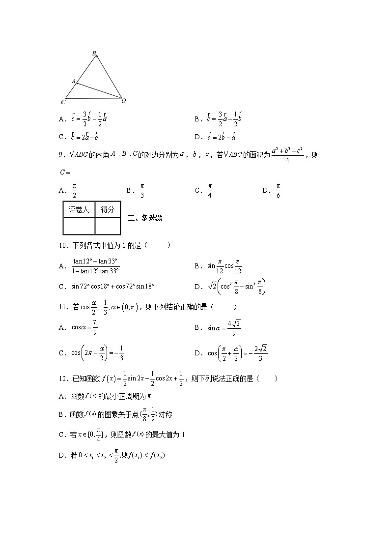
8.如图,,下列等式中成立的是( )
A.B.
C.D.
9.的内角的对边分别为,,,若的面积为,则
A.B.C.D.
10.下列各式中值为1的是( )
A.B.
C.D.
11.若,则下列结论正确的是( )
A.B.
C.D.
12.已知函数,则下列说法正确的是( )
A.函数的最小正周期为
B.函数的图象关于点对称
C.若,则函数的最大值为1
D.若
第II卷(非选择题)
请点击修改第II卷的文字说明
13.已知三点共线,则=____ .
14.已知,且⊥,则________.
15.已知方程,的两根为,,,,则________.
16.已知的内角、、的对边分别为、、,若,,且的面积是,___________.
17.在中,内角A、B、C所对的边分别为,,,已知.
(Ⅰ)求角B的大小;
(Ⅱ)设,,求.
18.的内角A,B,C的对边分别为a,b,c,已知.
(1)求B;
(2)若,的面积为,求的周长.
19.已知向量.
(1) 若,求的值;
(2) 若,求的值.
20.已知,,其中.
(1)求的值;
(2)求.
21.在中,内角A,B,C所对的边分别为a,b,c,且满足,.
(1)求的面积;
(2)若,求BC边中线的长.
22.在△ABC中,内角A,B,C的对边分别为a,b,c,且a+b=c,2sin2C=3sinAsin B.
(1)求角C的大小;
(2)若S△ABC=,求c的值.
甘谷四中2021-2022学年第二学期高一第一次检测考试
数学参考答案
1.A
【解析】
【分析】
由正弦定理即可得到答案.
【详解】
根据题意,由正弦定理可得:.
故选:A.
2.B
【解析】
【分析】
由诱导公式及余弦的二倍角公式进行求值.
【详解】
因为,所以.
故选:B
3.A
【解析】
【详解】
,
,
两式相加得: ,则 ,选A.
4.A
【解析】
【分析】
由余弦定理列方程求解.
【详解】
由余弦定理得,解得(负值舍去).
故选:A.
5.A
【解析】
【分析】
先由求出,再计算即可.
【详解】
,解得,.
故选:A.
6.C
【解析】
【分析】
转化为,可得继而由,可得
,即得解
【详解】
由题意,由正弦定理
又
即
又
因此为等腰直角三角形
故选:C
7.C
【解析】
【分析】
先根据求出的值,再利用诱导公式化简即得解.
【详解】
因为,
所以,
所以.
所以.
故选C
【点睛】
本题主要考查向量平行的坐标表示和诱导公式,意在考查学生对这些知识的理解掌握水平和分析推理能力.
8.B
【解析】
【分析】
本题首先可结合向量减法的三角形法则对已知条件中的进行化简,化简为然后化简并代入即可得出答案.
【详解】
因为,
所以,
所以,即,故选B.
【点睛】
本题考查的知识点是平面向量的基本定理,考查向量减法的三角形法则,考查数形结合思想与化归思想,是简单题.
9.C
【解析】
【详解】
分析:利用面积公式和余弦定理进行计算可得.
详解:由题可知
所以
由余弦定理
所以
故选C.
点睛:本题主要考查解三角形,考查了三角形的面积公式和余弦定理.
10.ACD
【解析】
【分析】
逆用两角和的正切公式、二倍角公式、两角和的正弦公式,结合特殊角的三角函数值进行求解即可.
【详解】
A:,符合题意;
B:,不符合题意;
C:,符合题意;
D:,符合题意,
故选:ACD
11.BD
【解析】
【分析】
根据同角的三角函数关系式、诱导公式,结合二倍角公式进行逐一判断即可.
【详解】
由,所以.
A:因为,所以,本选项结论不正确;
B:因为,,所以,本选项结论正确;
C:因为,所以本选项结论不正确;
D:因为,所以本选项结论正确,
故选:BD
12.ABC
【解析】
【分析】
化简的解析式,根据三角函数的最小正周期、对称中心、最值、单调性等知识对选项进行分析,从而确定正确答案.
【详解】
,
A,的最小正周期为,A选项正确.
B,,所以函数的图象关于点对称,B选项正确.
C,,
,所以C选项正确.
D,,所以在区间上不是单调函数,D选项错误.
故选:ABC
13.
【解析】
【分析】
列方程来求得.
【详解】
依题意:三点共线,
所以,即.
故答案为:
14.
【解析】
【分析】
利用得到,可得,再通过倍角公式以及同角之间三角函数关系变形,然后“弦化切”即可得出答案。
【详解】
由,可得,则,即
【点睛】
本题综合考查了推出,同角之间三角函数关系,“弦化切”等基础知识,考查了计算能力,属于中档题。
15.
【解析】
【分析】
根据方程,的两根为,,得到,由两角和的正切公式得到,再确定的范围求解.
【详解】
因为方程,的两根为,,
所以,
则,
因为,
所以,
所以,
,,
,
所以.
故答案为:
【点睛】
本题主要考查两角和与差的正切公式的应用,还考查了运算求解的能力,属于中档题.
16.
【解析】
【分析】
利用同角三角函数计算出的值,利用三角形的面积公式和条件可求出、的值,再利用余弦定理求出的值.
【详解】
,,,且的面积是,
,,,,
由余弦定理得,.
故答案为.
【点睛】
本题考查利用余弦定理解三角形,同时也考查了同角三角函数的基本关系、三角形面积公式的应用,考查运算求解能力,属于中等题.
17.(Ⅰ);(Ⅱ).
【解析】
【分析】
(Ⅰ) 在△ABC中,利用正弦定理及其.可得,利用和差公式化简整理可得B.
(Ⅱ)在△ABC中,利用余弦定理即可得出b.
【详解】
(Ⅰ) 在△ABC中,由正弦定理,
又.
可得,
∴sinBcsBsinB,
则.
又∵B∈(0,π),可得.
(Ⅱ) 在△ABC中,由余弦定理及a=2,c=3,,
∴b2=a2+c2﹣2accsB=4+9﹣2×2×3×cs7,
解得.
【点睛】
本题考查了正弦定理、余弦定理、和差公式,考查了推理能力与计算能力,属于中档题.
18.(1);(2)
【解析】
(1)根据正弦定理以及两角和的正弦公式即可求出,进而求出;
(2)根据余弦定理可得到,再根据三角形面积公式得到 ,即可求出 ,进而求出的周长.
【详解】
解:(1),
由正弦定理得:,
整理得:,
∵在中,,
∴,
即,
∴,
即;
(2)由余弦定理得:,
∴,
∵,
∴,
∴,
∴,
∴的周长为.
19.(1);(2).
【解析】
【详解】
试题分析:
(1)由向量垂直知两向量的数量积为0,得,代入待求式可得;
(2)先求出,再由向量模的运算得,结合求得,最后由两角和的正弦公式可得.
试题解析:
(1)由可知, ,所以,
所以.
(2)由可得,
,
即,①
又,且②,由①②可解得, ,
所以.
20.(1);(2).
【解析】
【分析】
(1)根据求得的值;
(2)先求,再求,再根据的范围,求得.
【详解】
(1)∵,∴,∵,∴.
则.
(2)由(1),,,则.
则.
∵,∴,∴.
【点睛】
本题考查了同角三角函数的基本关系式,两角和的正弦公式、正切公式,还考查了由三角函数值确定角的大小,属于中档题.
21.(1)4
(2)
【解析】
【分析】
(1)根据向量的数量积、二倍角公式、三角形面积公式可求得的面积.
(2)可采用余弦定理以及建立方程求解AM;也可将利用中线的向量表示法表示,将向量关系式转化为求模长,也可得AM.
(1)
由题得,.
根据二倍角公式得,则.
∵,∴,
∴,
故的面积为4.
(2)
由,,得.
由(1)得,由余弦定理得,解得.
设BC的中点为M,则AM为BC边的中线,
∴,
则根据余弦定理得
解得,
∴BC边中线的长为.
另解:由,,得.
设BC的中点为M,则,等式两边同时平方得,
,
则.∴BC边中线的长为.
22.(1);(2).
【解析】
【分析】
(1)借助正弦定理,转化2sin2C=3sin Asin B为 c2=ab,结合题干条件,可求解,即得解;
(2)利用面积公式,可得,结合,即得解
【详解】
(1)∵2sin2C=3sin Asin B,
∴sin2C=sin Asin B,
∴c2=ab.
又a+b=c,∴a2+b2+2ab=3c2.
根据余弦定理,得cs C=,
∴cs C===,且
∴C=.
故答案为:C=
(2)∵S△ABC=,∴=absin C.
∵C=,∴ab=4,
又c2=ab,∴c=.
故答案为:c=
【点睛】
本题考查了解三角形综合问题,考查了学生综合分析,转化划归,数学运算能力,属于中档题
评卷人
得分
一、单选题
评卷人
得分
二、多选题
评卷人
得分
三、填空题
评卷人
得分
四、解答题
相关试卷
这是一份2022-2023学年甘肃省天水市高一下学期第一次月考数学试题【含答案】,共14页。
这是一份甘肃省天水市甘谷县第四中学2022-2023学年高二下学期4月月考数学试题,共4页。
这是一份2020天水一中高一下学期开学检测数学试题含答案,共5页。试卷主要包含了选择题,填空题,解答题等内容,欢迎下载使用。

