解答题中计算题专项练--2022年初中数学中考备考必刷(二)
展开解答题中计算题专项练(二)
一、解答题
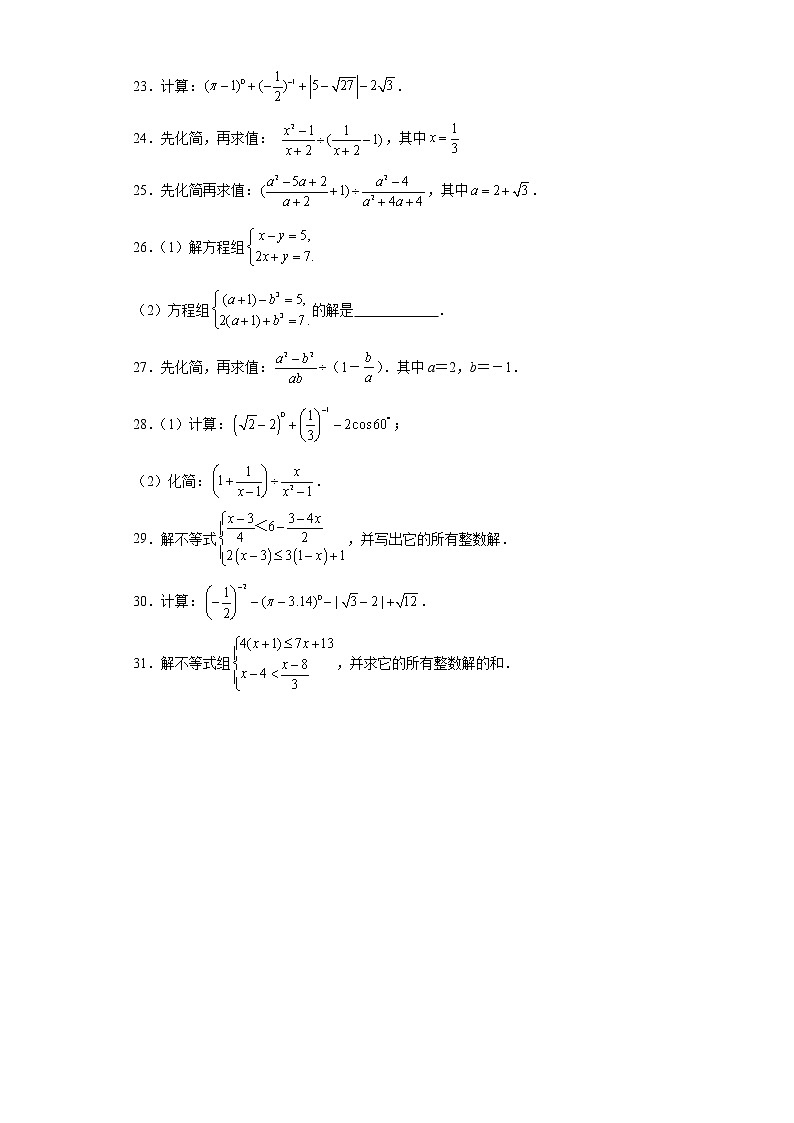
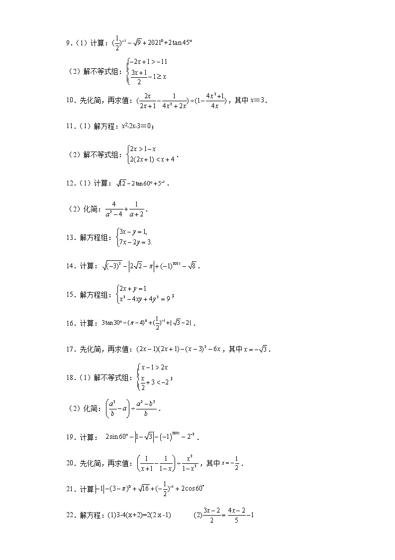
1.(1)计算:﹣()﹣1﹣2cos60°;
(2)化简:(1﹣)÷.
2.解下列方程:
(1)x2﹣6x﹣3=0;
(2)3x(x﹣1)=2(1﹣x).
3.计算:
(1)
(2)
4.先化简,再求值:,其中.
5.计算:
6.计算:
(1);
(2).
7.(1)解方程:
(2)解不等式组:.
8.若数使关于的分式方程的解为正数,且使关于的不等式组的解集为,求符合条件的所有整数的和.
9.(1)计算:
(2)解不等式组:
10.先化简,再求值:,其中x=3.
11.(1)解方程:x2﹣2x﹣3=0;
(2)解不等式组:.
12.(1)计算:.
(2)化简:.
13.解方程组:
14.计算:.
15.解方程组:;
16.计算:.
17.先化简,再求值:,其中.
18.(1)解不等式组:;
(2)化简:.
19.计算: .
20.先化简,再求值:,其中.
21.计算
22.解方程:(1)3-4(x +2)=2(2 x -1) (2)
23.计算:.
24.先化简,再求值: ,其中
25.先化简再求值:,其中.
26.(1)解方程组
(2)方程组的解是 .
27.先化简,再求值:÷(1-).其中a=2,b=-1.
28.(1)计算:;
(2)化简:.
29.解不等式,并写出它的所有整数解.
30.计算:.
31.解不等式组,并求它的所有整数解的和.
1.(1)-2;(2)
【详解】
解:(1)原式=2﹣3﹣2×
=2﹣3﹣1
=﹣2;
(2)原式=
=.
2.(1);(2)
【详解】
解:(1)
∴
∴;
(2)
∴或,
解得:.
3.(1)
(2)1
(1)
解:
(2)
解:
4.,1.
【详解】
解:原式,
,
将代入得:原式.
5.
【详解】
解:
.
6.(1)
(2)
(1)
(2)
7.(1);(2)
【详解】
解:(1)
(2)由①去分母得:x>-4,
由②去括号得:1-2x-2<3,
移项合并得:-2x<4,
解得:,
则不等式组的解集为.
8.5
【详解】
由题意解分式方程为
∴,
∴且,
解不等式组,
解不等式①得:;
解不等式②得:.
∵不等式组的解集为,
∴.
即且,
∴整数a可取整数为;
故整数的和为
9.(1)2;(2)1≤x<6
【详解】
解:(1)
(2)在中
由移项并合并同类项得,
解得
由去分母得,
移项并合并同类项得,
不等式组的解集是.
10.,
【详解】
原式=
=
=.
当x=3时,原式=.
11.(1)x1=3,x2=﹣1;(2)<x<
【详解】
解:(1)∵x2﹣2x﹣3=0,
∴(x﹣3)(x+1)=0,
则x﹣3=0或x+1=0,
解得x1=3,x2=﹣1;
(2)解不等式2x>1﹣x,得:x>,
解不等式2(2x+1)<x+4,得:x<,
则不等式组的解集为<x<.
12.(1);(2)
【详解】
解:(1)原式
;
(2)原式
.
13.
【详解】
解:
①②得,解得:,
把代入①中,得,解得:,
原方程组的解为.
14.2﹣π.
【详解】
解:
=3﹣(π﹣)+(﹣1)﹣
=3﹣π+﹣1﹣
=2﹣π.
15.,
【详解】
解:
由②得,
∴③或④.
由①③、①④组成新的方程组或,
解这两个方程组,得,
∴原方程组的解为:,
16.3.
【详解】
解:原式
.
17.3x2﹣10,﹣1.
【详解】
解:原式=4x2﹣1﹣(x2﹣6x+9)﹣6x
=4x2﹣1﹣x2+6x﹣9﹣6x
=3x2﹣10,
当x=﹣时,
原式=3×(﹣)2﹣10
=3×3﹣10
=9﹣10
=﹣1.
18.(1);(2);
【详解】
(1)解:,
解不等式①得:;
解不等式②得:.
故该不等式组的解集为;
(2)解:,
.
19.
【详解】
解:
=
=
=.
20.,4.
【详解】
解:
,
当时,原式.
21.3
【详解】
解:原式=
22.(1);(2)
【详解】
(1)3-4(x +2)=2(2 x -1)
(2)
23.
【详解】
解:原式
24.1-x;
【详解】
解:,
=,
=,
=,
把代入上式得,原式=.
25..
【详解】
解:原式=
=
=a﹣2,
当a=2+时,原式=2+﹣2=.
26.(1)(2)
【详解】
解:(1)
①+② 得 x=4
将x=4代入②得 x=-1
∴原方程组的解为.
(2)
①+②,得“
解得:
将代入②,得:
解得:
故是原方程组的解.
故答案为.
27.,-1
【详解】
解:÷(1-)
当a=2,b=-1时,原式=-1.
28.(1)3;(2)x+1
【详解】
解:(1)
=1+3﹣1
=3;
(2)
=()
=·
=x+1.
29.﹣3<x≤2,整数解为﹣2,﹣1,0,1,2.
【详解】
解:,
解不等式①得:x>﹣3,
解不等式②得:x≤2,
故原不等式组的解集为:﹣3<x≤2.
则它的所有整数解为﹣2,﹣1,0,1,2.
30.
【详解】
原式
31.−3⩽x<2,-5
【详解】
解不等式,得;
解不等式,得.
所以,不等式组的解集为.
该不等式组的所有整数解为-3,-2,-1,0,1.
所以,该不等式组的所有整数解的和为.
解答题中计算题考前押题+--2022年初中数学中考备考冲刺: 这是一份解答题中计算题考前押题+--2022年初中数学中考备考冲刺,共13页。试卷主要包含了计算,解方程,如图,约定,先化简,再求值, 解方程等内容,欢迎下载使用。
解答题中圆的计算和应用题信息必刷卷--2022年初中数学中考备考冲刺: 这是一份解答题中圆的计算和应用题信息必刷卷--2022年初中数学中考备考冲刺,共27页。试卷主要包含了八方支援,同心抗疫等内容,欢迎下载使用。
解答题中计算题信息必刷卷--2022年初中数学中考备考冲刺: 这是一份解答题中计算题信息必刷卷--2022年初中数学中考备考冲刺,共11页。试卷主要包含了计算,先化简,再求值,先化简再求值,化简或计算,解分式方程等内容,欢迎下载使用。

