还剩26页未读,
继续阅读
所属成套资源:2022版高考数学复习解答题专项练成套教学PPT课件
成套系列资料,整套一键下载
2022版高考数学复习解答题规范练(一)70分PPT课件
展开
这是一份2022版高考数学复习解答题规范练(一)70分PPT课件,共34页。
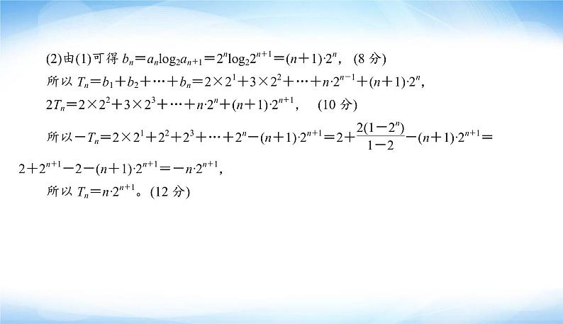
第二部分 大题•规范练
解答题规范练(一)70分解答题规范练
相关课件
专题五 规范答题5 概率与统计--高三高考数学复习-PPT:
这是一份专题五 规范答题5 概率与统计--高三高考数学复习-PPT,共7页。PPT课件主要包含了思路分析,❷5分,❹7分,④处构造出等比数列,❺9分,⑤处计算出pi等内容,欢迎下载使用。
专题四 规范答题4 立体几何--高三高考数学复习-PPT:
这是一份专题四 规范答题4 立体几何--高三高考数学复习-PPT,共16页。PPT课件主要包含了思路分析,❶1分,因为BF⊥AO,❷3分,❸6分,❹9分,⑥处利用余弦定理求角,❽10分等内容,欢迎下载使用。
专题三 规范答题3 数 列--高三高考数学复习-PPT:
这是一份专题三 规范答题3 数 列--高三高考数学复习-PPT,共8页。PPT课件主要包含了思路分析,❶1分,❷3分,❹9分,❺11分,⑤⑥处分类讨论求d等内容,欢迎下载使用。

