2022版高考数学复习解答题规范练(三)70分PPT课件
展开第二部分 大题•规范练
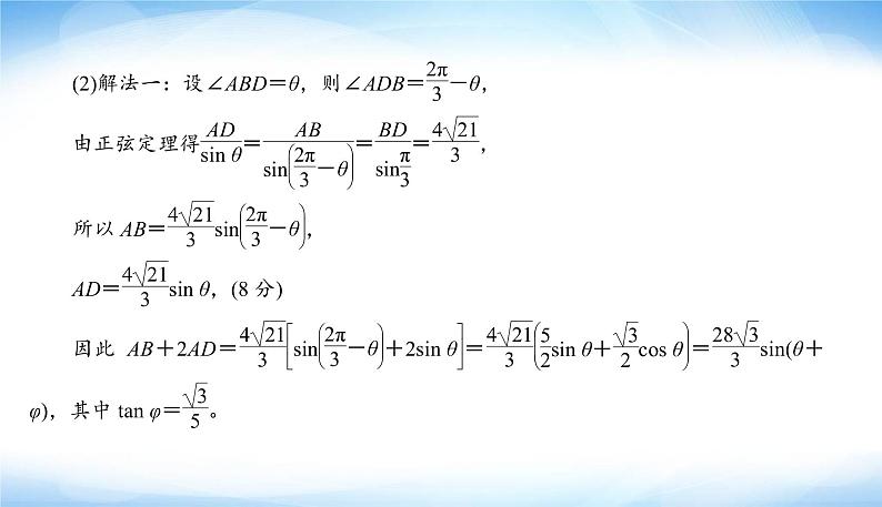
解答题规范练(三)70分解答题规范练
新高考数学二轮复习专题三规范答题3数列课件: 这是一份新高考数学二轮复习专题三规范答题3数列课件,共5页。PPT课件主要包含了思路分析等内容,欢迎下载使用。
《新高考数学大二轮复习课件》专题三 规范答题3 数列: 这是一份《新高考数学大二轮复习课件》专题三 规范答题3 数列,共7页。PPT课件主要包含了命题分析,步骤要点,规范解答,阅卷细则等内容,欢迎下载使用。
2022版高考数学复习解答题专项练(三)立体几何PPT课件: 这是一份2022版高考数学复习解答题专项练(三)立体几何PPT课件,共34页。

