2022版高考数学复习解答题规范练(四)70分PPT课件
展开第二部分 大题•规范练
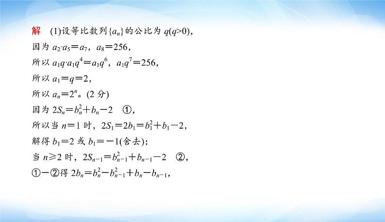
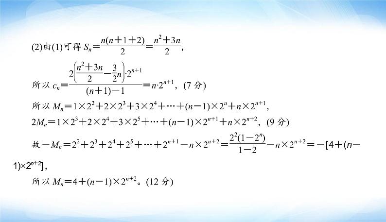
解答题规范练(四)70分解答题规范练
专题四 规范答题4 立体几何--高三高考数学复习-PPT: 这是一份专题四 规范答题4 立体几何--高三高考数学复习-PPT,共16页。PPT课件主要包含了思路分析,❶1分,因为BF⊥AO,❷3分,❸6分,❹9分,⑥处利用余弦定理求角,❽10分等内容,欢迎下载使用。
专题三 规范答题3 数 列--高三高考数学复习-PPT: 这是一份专题三 规范答题3 数 列--高三高考数学复习-PPT,共8页。PPT课件主要包含了思路分析,❶1分,❷3分,❹9分,❺11分,⑤⑥处分类讨论求d等内容,欢迎下载使用。
2022版高考数学复习解答题专项练(四)概率与统计PPT课件: 这是一份2022版高考数学复习解答题专项练(四)概率与统计PPT课件,共27页。

