考点16相似三角形(解析版)-2022年数学中考一轮复习考点透析(苏科版)
展开考点16相似三角形
考点总结
1、比和比例的有关概念:
(1)表示两个比相等的式子叫作比例式,简称比例.
(2)第四比例项:若或a:b=c:d,那么d叫作a、b、c的第四比例项.
(3)比例中项:若或a:b=b:c,b叫作a,c的比例中项.
(4)黄金分割:把一条线段(AB)分割成两条线段,使其中较长线段(AC)是原线段AB与较短线段(BC)的比例线段,就叫作把这条线段黄金分割.即AC2=AB·BC,AC=;一条线段的黄金分割点有两个.
2.比例的基本性质及定理
(1)
(2)
(3)
3.平行线分线段成比例定理
(1)三条平行线截两条直线,所得的对应线段成比例.
(2)平行于三角形一边截其他两边(或两边的延长线),所得的对应线段成比例;
(3)如果一条直线截三角形的两边(或两边的延长线),所得的对应线段成比例,那么这条直线平行于三角形的第三边;
(4)平行于三角形的一边,并且和其他两边(或两边的延长线)相交的直线,所截得的三角形的三边与原三角形三边对应成比例.
4.相似三角形.
相似三角形的定义:对应角相等、对应边成比例的三角形叫做相似三角形
相似比:相似三角形的对应边的比,叫做两个相似三角形的相似比.
5.相似三角形的判定
(1)平行于三角形一边的直线和其他两边(或两边的延长线)相交,所截得的三角形与原三角形相似;
(2)两角对应相等,两三角形相似;
(3)两边对应成比例且夹角相等,两三角形相似;
(4)三边对应成比例,两三角形相似;
(5)两个直角三角形的斜边和一条直角边对应成比例,两直角三角形相似;
(6)直角三角形中被斜边上的高分成的两个三角形都与原三角形相似.
6.相似三角形性质
相似三角形的对应角相等,对应边成比例,对应高、对应中线、对应角平分线的比都等于相似比,周长比等于相似比,面积比等于相似比的平方.
7.相似多边形的性质
(1)相似多边形对应角相等,对应边成比例.
(2)相似多边形周长之比等于相似比,面积之比等于相似比的平方.
8.位似图形
(1)概念:如果两个多边形不仅相似,而且对应顶点的连线相交于一点,这样的图形叫做位似图形.这个点叫做位似中心.
(2)性质:位似图形上任意一对对应点到位似中心的距离之比等于位似比.
真题演练
一.选择题(共10小题)
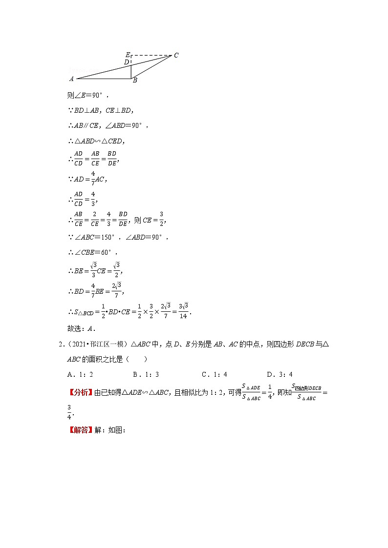
1.(2021•连云港)如图,△ABC中,BD⊥AB,BD、AC相交于点D,AD=47AC,AB=2,∠ABC=150°,则△DBC的面积是( )
A.3314 B.9314 C.337 D.637
【分析】过点C作BD的垂线,交BD的延长线于点E,可得△ABD∽△CED,可得ADCD=ABCE=BDDE,由AD=47AC,AB=2,可求出CE的长,又∠ABC=150°,∠ABD=90°,则∠CBD=60°,解直角△BCE,可分别求出BE和BD的长,进而可求出△BCD的面积.
【解答】解:如图,过点C作BD的垂线,交BD的延长线于点E,
则∠E=90°,
∵BD⊥AB,CE⊥BD,
∴AB∥CE,∠ABD=90°,
∴△ABD∽△CED,
∴ADCD=ABCE=BDDE,
∵AD=47AC,
∴ADCD=43,
∴ABCE=2CE=43=BDDE,则CE=32,
∵∠ABC=150°,∠ABD=90°,
∴∠CBE=60°,
∴BE=33CE=32,
∴BD=47BE=237,
∴S△BCD=12•BD•CE=12×32×237=3314.
故选:A.
2.(2021•邗江区一模)△ABC中,点D、E分别是AB、AC的中点,则四边形DECB与△ABC的面积之比是( )
A.1:2 B.1:3 C.1:4 D.3:4
【分析】由已知得△ADE∽△ABC,且相似比为1:2,可得S△ADES△ABC=14,即知S四边形DECBS△ABC=34.
【解答】解:如图:
∵点D、E分别是AB、AC的中点,
∴ADAB=AEAC=12,
又∠A=∠A,
∴△ADE∽△ABC,
∴S△ADES△ABC=(ADAB)2=14,
∴S四边形DECBS△ABC=34,
故选:D.
3.(2021•武进区校级模拟)如图,在△ABC中,DE∥BC,ADAB=13,则下列结论中正确的是( )
A.AEBC=13 B.DEBC=12
C.C△ADEC△ABC=13 D.S△ADES△ABC=13
【分析】根据ADAB=13,求得ADBD=12,由DE∥BC,根据平行线分线段成比例定理得到AECE=ADBD=12,根据相似三角形的性质得到结论.
【解答】解:∵ADAB=13,
∴ADBD=12,
∵DE∥BC,
∴AECE=ADBD=12,△ADE∽△ABC,
∴DEBC=ADAB=13,故B错误;
C△ADEC△ABC=ADAB=13,故C正确;
S△ADES△ABC=(ADAB)2=19,故D错误;
已有的条件不能说明AEBC=13,故A错误.
故选:C.
4.(2021•句容市模拟)如图,在平面直角坐标系中,点A(﹣12,0),点B(0,4),点D(﹣4,0),以点A为圆心,4个单位长度为半径作圆,点C是⊙A上的一个动点,则BC+12CD的最小值为( )
A.229 B.429 C.25 D.45
【分析】在AD截取AE=2,连接CE,可证△ACE∽△ADC,进而得BC+12CD=BC+CE,进而求得.
【解答】解:如图,
在AD截取AE=2,连接CE,
∵AEAC=ACAD=12,
又∠CAD为公共角,
∴△ACE∽△ADC,
∴CECD=ACAD=12,
∴CE=12CD,
∴BC+12CD=BC+CE,
∴当B、C、E共线时,BC+12CD最小=BE,
∵OB=4,OE=10,
∴BE=OB2+OE2=229,
∴BC+12CD的最小值=229,
故选:A.
5.(2021•江阴市模拟)如图是由一些边长为1的等边三角形组成的网格,其中A、B、D、E均是等边三角形的顶点,延长AB交DE于点C,则DCCE的值为( )
A.33 B.32 C.22 D.12
【分析】证明△CBE∽△BAF,根据相似三角形的性质求得CE=23,即可求得CD=13,即比值可求.
【解答】解:如图,由题意知,BE∥AF,
∴∠CBE=∠BAF,
∵∠CEB=∠BFA=60°,
∴△CBE∽△BAF,
∴CEBF=BEAF,
即CE1=23,
∴CE=23,
∴CD=DE﹣CE=1−23=13,
∴DCCE=1323=12,
故选:D.
6.(2021•滨湖区二模)如图,在Rt△ABC中,∠ACB=90°,AC=BC=4,将△ABC绕点A沿顺时针方向旋转后得到△ADE,直线BD、CE相交于点O,连接AO.则下列结论中:①△ABD∽△ACE;②∠COD=135°;③AO⊥BD;④△AOC面积的最大值为8.其中正确的有( )
A.1个 B.2个 C.3个 D.4个
【分析】由旋转性质证明△ABD∽△ACE即可判断①;由△ABD∽△ACE,可得∠DBA=∠ECA,∠OGB=∠CGA,进而∠BOC=∠BAC=45°即可判断②;证明△ABD为等腰三角形即可判断③;通过A、C、B、F四点共圆,当O、G、C三点一线且垂直AC通过圆心的时候,可得△AOC的高最大,从而△AOC的面积最大,进而判断④.
【解答】解:由旋转性质可知,AC=BC=AE=DE=4,AB=AD=42,
∴ABAC=ADAE=2.
∵∠DAE=∠CAB=45°,
∴∠DAE+∠EAB=∠CAB+∠EAB,即∠DAB=∠EAC.
故△ABD∽△ACE,故①正确;
设AB、CE交于点G,如图.
由△ABD∽△ACE,可得∠DBA=∠ECA,
又∠EGB=∠CGA,
∴∠BOC=∠BAC=45°,
∴∠COD=135°,故②正确;
由∠BOC=∠BAC=45°,可知A、C、B、O四点共圆,
由圆内接四边形性质知∠BOA+∠BCA=180°,
则∠BOA=90°,即AO⊥BD.
故③正确;
以AC作△AOC底边,则O到AC距离为高,设高为h,
当h最大时,△AOC面积才最大.
∵A、C、B、O四点共圆,且∠BCA=90°,
故AB为此圆直径,当h垂直AC通过圆心的时候,h最大,
此时h=22+2,
故△AOC的面积最大值为12×4×h=42+4,
故④错误.
故正确的一共有3个,
故选:C.
7.(2021•宜兴市模拟)如图,在△ABC中,D是BC上一点,连接AD,BDCD=13,F是AD的中点,连接BF并延长交AC于E,则AEEC的值是( )
A.14 B.15 C.25 D.13
【分析】过D点作DH∥BE交AC于H,如图,根据平行线分线段成比例定理,先利用FE∥DH得到AEEH=AFFD=1,即AE=EH,再由DH∥BE,EHHC=BDDC=13,则CE=4AE,从而得到AEEC的值.
【解答】解:过D点作DH∥BE交AC于H,如图,
∵F点为AD的中点,
∴AF=FD,
∵FE∥DH,
∴AEEH=AFFD=1,即AE=EH,
∵DH∥BE,
∴EHHC=BDDC=13,CH=3EH,
∴AEEC=14.
故选:A.
8.(2021•罗湖区校级模拟)如图,在矩形ABCD中,BC=4,AB=2,Rt△BEF的顶点E在边CD上,且∠BEF=90°,EF=12BE,DF=345,则tan∠DEF的值为( )
A.38 B.916 C.34 D.55
【分析】过F作FG⊥CD,交CD的延长线于G,由已知可得△BCE∽△EGF,FG=12EC,GE=2=CD,设EC=x,Rt△FDG中用勾股定理列方程求出x,即可得到答案.
【解答】解:过F作FG⊥CD,交CD的延长线于G,如图:
∵四边形ABCD是矩形,
∴∠C=90°,AB=CD=2,
又∵∠BEF=90°,
∴∠FEG+∠BEC=90°=∠EBC+∠BEC,
∴∠FEG=∠EBC,
又∵∠C=∠G=90°,
∴△BCE∽△EGF,
∴FGEC=GECB=EFBE,∠EBC=∠DEF,
∵EF=12BE,
∴FGEC=GE4=12,
∴FG=12EC,GE=2=CD,
∴DG=EC,
设EC=x,则DG=x,FG=12x,
Rt△FDG中,FG2+DG2=DF2,DF=345,
∴(12x)2+x2=(345)2,
解得x=32或x=−32(舍去),
∴EC=32,
Rt△ECB中,tan∠EBC=ECBC=38,
∴tan∠DEF=38,
故选:A.
9.(2021•天宁区校级一模)如图,正方形ABCD中,点F是BC边上一点,连接AF,以AF为对角线作正方形AEFG,边FG与正方形ABCD的对角线AC相交于点H,连接DG.以下四个结论:①∠EAB=∠GAD;②△AFC∽△AGD;③2AE2=AH•AC;④DG⊥AC.其中正确的个数为( )
A.1个 B.2个 C.3个 D.4个
【分析】①由正方形ABCD与正方形AEFG,得到∠EAG=∠BAD=90°,根据等式的基本性质确定出∠EAB=∠GAD;
②再根据正方形的对角线等于边长的2倍,得到两边对应成比例,再根据角度的相减得到夹角相等,利用两边成比例且夹角相等的两个三角形相似即可判断;
③根据两角相等的两个三角形相似得到三角形HAF与三角形ACF相似,相似得比例,根据AF=2AE,代换即可作出判断;
④由相似三角形对应角相等得到∠ADG=∠ACF=45°,可得出DG在正方形ABCD对角线BD上,根据正方形对角线垂直即可作出判断.
【解答】解:①∵四边形AEFG和四边形ABCD均为正方形,
∴∠EAG=∠BAD=90°,
又∵∠EAB=90°﹣∠BAG,∠GAD=90°﹣∠BAG,
∴∠EAB=∠GAD,
∴选项①正确;
②∵四边形AEFG和四边形ABCD均为正方形,
∴AD=DC,AG=FG,
∴AC=2AD,AF=2AG,
∴ACAD=2,AFAG=2,即ACAD=AFAG,
又∵∠DAG+∠GAC=∠FAC+∠GAC,
∴∠DAG=∠CAF,
∴△AFC∽△AGD,
∴选项②正确;
③∵四边形AEFG和四边形ABCD均为正方形,AF、AC为对角线,
∴∠AFH=∠ACF=45°,
又∵∠FAH=∠CAF,
∴△HAF∽△FAC,
∴AFAH=ACAF,即AF2=AC•AH,
又∵AF=2AE,
∴2AE2=AH•AC,
∴选项③正确;
④由②知△AFC∽△AGD,
又∵四边形ABCD为正方形,AC为对角线,
∴∠ADG=∠ACF=45°,
∴DG在正方形另外一条对角线上,
∴DG⊥AC,
∴④正确,
故选:D.
10.(2021•玄武区一模)如图,在△ABC中,P是AB边上一点,在AC边上求作一点Q,使得△AQP∽△ABC.
甲的作法:过点P作PQ∥BC,交AC于点Q,则点Q即为所求.
乙的作法:经过点P,B,C作⊙O,交AC于点Q,则点Q即为所求.
对于甲、乙的作法,下列判断正确的是( )
A.甲错误,乙正确 B.甲正确,乙错误
C.甲、乙都错误 D.甲、乙都正确
【分析】根据相似三角形的判定解决问题即可.
【解答】解:乙的作法正确.
理由:∵B,C,Q,P四点共圆,
∴∠B+∠CQP=180°,
∵∠AQP+∠CQP=180°,
∴∠AQP=∠B,
∵∠A=∠A,
∴△AQP∽△ABC.
甲的作法,无法证明∠AQP=∠B,故甲的作法错误.
故选:A.
二.填空题(共5小题)
11.(2021•镇江)如图,点D,E分别在△ABC的边AC,AB上,△ADE∽△ABC,M,N分别是DE,BC的中点,若AMAN=12,则S△ADES△ABC= 14 .
【分析】根据相似三角形对应中线的比等于相似比求出DEBC,根据相似三角形面积的比等于相似比的平方解答即可.
【解答】解:∵M,N分别是DE,BC的中点,
∴AM、AN分别为△ADE、△ABC的中线,
∵△ADE∽△ABC,
∴DEBC=AMAN=12,
∴S△ADES△ABC=(DEBC)2=14,
故答案为:14.
12.(2021•徐州)如图,在△ABC中,点D、E分别在边BA、BC上,且ADDB=CEEB=32,△DBE与四边形ADEC的面积的比 421 .
【分析】先由ADDB=CEEB=32,设AD=3m,DB=2m,CE=3k,EB=2k,证明BDAB=EBBC=25,又∠B=∠B,可证明△DBE∽△ABC.进而可得相似比为25,面积比S△DBES△ABC=(25)2=425,从而可得S△DBE:S四边形ADEC=4:21.
【解答】解:∵ADDB=CEEB=32,则设AD=3m,DB=2m,CE=3k,EB=2k,
∴BDAB=2m2m+3m=25,EBBC=2k2k+3k=25,
∴BDAB=EBBC=25,
又∠B=∠B,
∴△DBE∽△ABC.
相似比为25,面积比S△DBES△ABC=(25)2=425,
设S△DBE=4a,则S△ABC=25a,
∴S四边形ADEC=25a﹣4a=21a,
∴S△DBE:S四边形ADEC=421.
故答案为:421.
13.(2021•常州)如图,在△ABC中,AC=3,BC=4,D、E分别在CA、CB上,点F在△ABC内.若四边形CDFE是边长为1的正方形,则sin∠FBA= 1010 .
【分析】连接AF,过点F作FG⊥AB于G,由四边形CDFE是边长为1的正方形可得AD=2,BE=3,根据勾股定理求出AB=5,AF=5,BF=10,设BG=x,利用勾股定理求出x=3,可得FG=1,即可得sin∠FBA的值.
【解答】解:连接AF,过点F作FG⊥AB于G,
∵四边形CDFE是边长为1的正方形,
∴CD=CE=DF=EF=1,∠C=∠ADF=90°,
∵AC=3,BC=4,
∴AD=2,BE=3,
∴AB=AC2+BC2=5,AF=AD2+DF2=5,BF=BE2+EF2=10,
设BG=x,
∵FG2=AF2﹣AG2=BF2﹣BG2,
∴5﹣(5﹣x)2=10﹣x2,解得:x=3,
∴FG=BF2−BG2=1,
∴sin∠FBA=FGBF=1010.
故答案为:1010.
14.(2021•宿迁)如图,在△ABC中,AB=4,BC=5,点D、E分别在BC、AC上,CD=2BD,CE=2AE,BE交AD于点F,则△AFE面积的最大值是 43 .
【分析】连接DE.首先证明DE∥AB,推出S△ABE=S△ABD,推出S△AEF=S△BDF,可得S△AEF=25S△ABD,求出△ABD面积的最大值即可解决问题.
【解答】解:连接DE.
∵CD=2BD,CE=2AE,
∴CDBD=CEAE=2,
∴DE∥AB,
∴△CDE∽△CBA,
∴DEBA=CDCB=23,
∴DFAF=DEBA=23,
∵DE∥AB,
∴S△ABE=S△ABD,
∴S△AEF=S△BDF,
∴S△AEF=25S△ABD,
∵BD=13BC=53,
∴当AB⊥BD时,△ABD的面积最大,最大值=12×53×4=103,
∴△AEF的面积的最大值=25×103=43,
故答案为:43
15.(2021•连云港)如图,BE是△ABC的中线,点F在BE上,延长AF交BC于点D.若BF=3FE,则BDDC= 32 .
【分析】过点E作EG∥DC交AD于G,可得△AGE∽△ADC,所以GEDC=AEAC=12,得到DC=2GE;再根据△GFE∽△DFB,得GEDB=EFBF=13,所以DCDB=23,即BDDC=32.
【解答】解:如图,∵BE是△ABC的中线,
∴点E是AC的中点,
∴AEAC=12,
过点E作EG∥DC交AD于G,
∴∠AGE=∠ADC,∠AEG=∠C,
∴△AGE∽△ADC,
∴GEDC=AEAC=12,
∴DC=2GE,
∵BF=3FE,
∴EFBF=13,
∵GE∥BD,
∴∠GEF=∠FBD,∠EGF=∠BDF,
∴△GFE∽△DFB,
∴GEDB=EFBF=13,
∴DCDB=23,
∴BDDC=32,
故答案为:32.
三.解答题(共3小题)
16.(2021•南通)如图,利用标杆DE测量楼高,点A,D,B在同一直线上,DE⊥AC,BC⊥AC,垂足分别为E,C.若测得AE=1m,DE=1.5m,CE=5m,楼高BC是多少?
【分析】根据平行线的判定得到DE∥BC,然后,根据相似三角形的判定和性质即可得到结论.
【解答】解:∵DE⊥AC,BC⊥AC,
∴DE∥BC,
∴△ADE∽△ABC,
∴AEAC=DEBC,
∴11+5=1.5BC,
∴BC=9(m),
答:楼高BC是9m.
17.(2021•无锡)如图,四边形ABCD内接于⊙O,AC是⊙O的直径,AC与BD交于点E,PB切⊙O于点B.
(1)求证:∠PBA=∠OBC;
(2)若∠PBA=20°,∠ACD=40°,求证:△OAB∽△CDE.
【分析】(1)根据圆周角定理和切线的性质,结合等腰三角形的性质即可证得结论;
(2)由三角形外角的性质求出∠AOB=∠ACB+∠OBC=40°,得到∠AOB=∠ACD,由圆周角的性质得到∠CDE=∠BAO,根据相似三角形的判定即可证得△OAB∽△CDE.
【解答】证明:(1)∵AC是⊙O的直径,
∴∠ABC=90°,
∵PB切⊙O于点B,
∴∠PBO=90°,
∴∠PBO﹣∠ABO=∠ABC﹣∠ABO,
即∠PBA=∠OBC;
(2)由(1)知,∠PBA=∠OBC=∠ACB,
∵∠PBA=20°,
∴∠OBC=∠ACB=20°,
∴∠AOB=∠ACB+∠OBC=20°+20°=40°,
∵∠ACD=40°,
∴∠AOB=∠ACD,
∵BC=BC,
∴∠CDE=∠CDB=∠BAC=∠BAO,
∴△OAB∽△CDE.
18.(2021•盐城)如图,O为线段PB上一点,以O为圆心,OB长为半径的⊙O交PB于点A,点C在⊙O上,连接PC,满足PC2=PA•PB.
(1)求证:PC是⊙O的切线;
(2)若AB=3PA,求ACBC的值.
【分析】(1)由PC2=PA•PB得PAPC=PCPB,可证得△PAC∽△PCB,根据相似三角形的性质得∠PCA=∠B,根据圆周角定理得∠ACB=90°,则∠CAB+∠B=90°,由OA=OC得∠CAB=∠OCA,等量代换可得∠PCA+∠OCA=90°,即OC⊥PC,即可得出结论;
(2)由AB=3PA可得PB=4PA,OA=OC=1.5PA,根据勾股定理求出PC=2PA,根据相似三角形的性质即可得出ACBC的值.
【解答】(1)证明:连接OC,
∵PC2=PA•PB,
∴PAPC=PCPB,
∵∠P=∠P,
∴△PAC∽△PCB,
∴∠PCA=∠B,
∵∠ACB=90°,
∴∠CAB+∠B=90°,
∵OA=OC,
∴∠CAB=∠OCA,
∴∠PCA+∠OCA=90°,
∴OC⊥PC,
∴PC是⊙O的切线;
(2)解:∵AB=3PA,
∴PB=4PA,OA=OC=1.5PA,PO=2.5PA,
∵OC⊥PC,
∴PC=PO2−OC2=2PA,
∵△PAC∽△PCB,
∴ACBC=PCPB=2PA4PA=12.
考点26概率(解析版)-2022年数学中考一轮复习考点透析(苏科版): 这是一份考点26概率(解析版)-2022年数学中考一轮复习考点透析(苏科版),共12页。试卷主要包含了确定事件和随机事件,频率与概率,概率的计算等内容,欢迎下载使用。
考点25统计(解析版)-2022年数学中考一轮复习考点透析(苏科版): 这是一份考点25统计(解析版)-2022年数学中考一轮复习考点透析(苏科版),共13页。试卷主要包含了调查方式,总体,统计图,平均数,众数,方差与标准差,频数与频率等内容,欢迎下载使用。
考点24图形的变换(解析版)-2022年数学中考一轮复习考点透析(苏科版): 这是一份考点24图形的变换(解析版)-2022年数学中考一轮复习考点透析(苏科版),共26页。试卷主要包含了平移,轴对称,旋转,中心对称,坐标系中对称点的特征等内容,欢迎下载使用。

