专题19 式与方程-备战2022年中考数学必刷题
展开十九、式与方程
例题演练
1.化简:
(1)(2m﹣n)2﹣n(2m+n); (2)(x+2﹣)÷.
2.计算:
(1)(a+2)2﹣a(a﹣1); (2)(x﹣1﹣)÷.
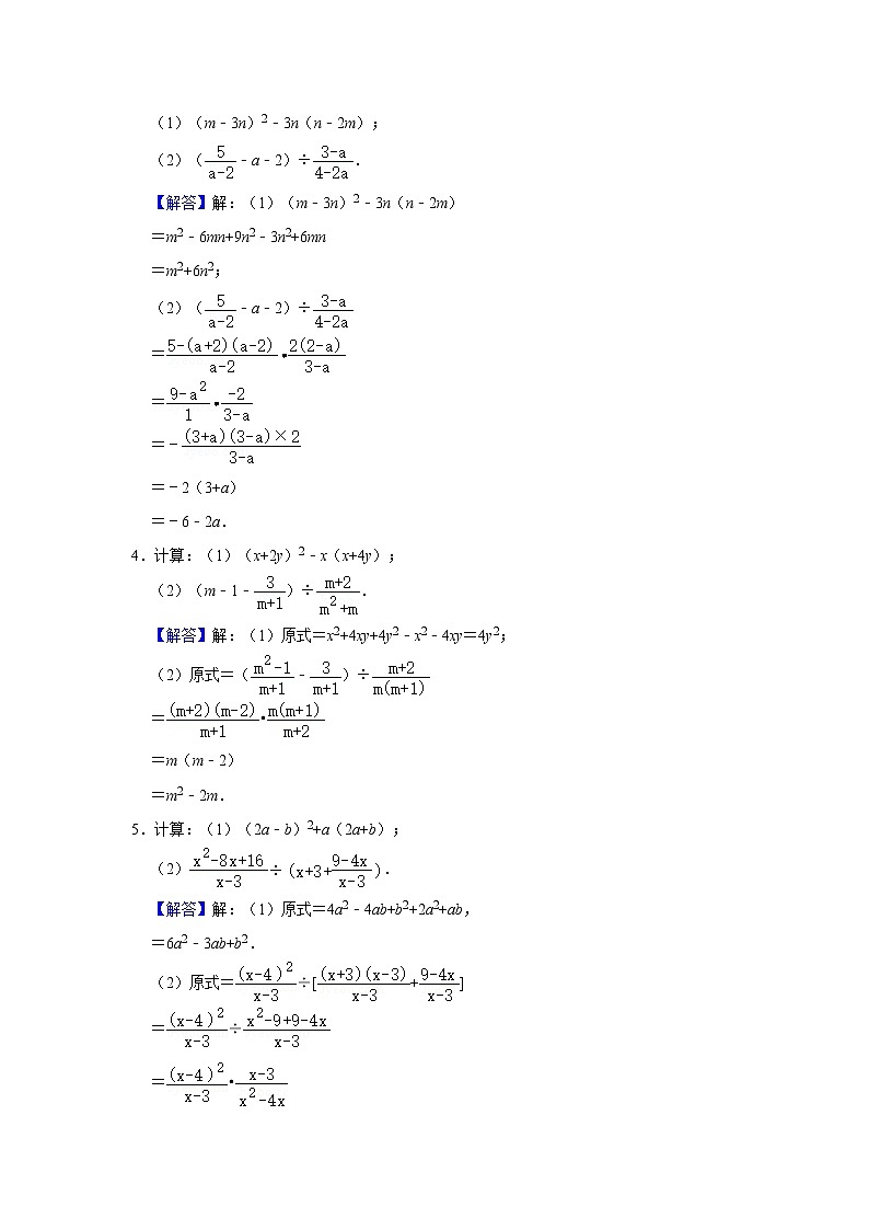
3.化简:
(1)(m﹣3n)2﹣3n(n﹣2m); (2)(﹣a﹣2)÷.
4.计算:(1)(x+2y)2﹣x(x+4y); (2)(m﹣1﹣)÷.
5.计算:(1)(2a﹣b)2+a(2a+b); (2).
6.计算:
(1)(x+2y)2﹣x(x+4y); (2)(x﹣2﹣)÷.
7.化简:
(1)(2x+y)(2x﹣y)﹣(x﹣3y)2; (2)(﹣a﹣2).
8.计算
(1)(a﹣b)(4a﹣b)﹣(2a﹣b)2; (2)(m+1﹣)÷.
9.计算:
(1)x(2x﹣3y)﹣(x+2y)(2x﹣y); (2)(x﹣1﹣)÷.
10.计算:
(1)(a﹣2b)(a+b)﹣(a+2b)2; (2).
11.计算:
(1)2b2+(a+b)(a﹣b)﹣(a﹣b)2; (2).
12.解方程组
.
13.解方程组:
(1); (2).
14.解二元一次方程组.
(1). (2).
15.解方程组.
(1). (2).
16.解分式方程:
(1); (2).
17.解方程:
(1); (2).
18.(1)计算:; (2)解方程:.
19.解分式方程:
(1)﹣1=; (2)=﹣2.
20.解方程:
(1)﹣=; (2)﹣=1.
21.按要求解下列方程:
(1)3x2=27; (2)x2﹣2x﹣4=0(用配方法);
(3)x2+4x﹣3=0; (4)(x﹣1)2=(x﹣1).
22.解方程:
(1)x2﹣4x+1=0; (2)x(2x+3)=4x+6.
23.按要求解下列方程:
(1)x2﹣4x﹣1=0(配方法); (2)5x2﹣4x﹣1=0(公式法).
24.解方程:
(1)x2﹣4x+4=0 (2)(x﹣1)(x+2)=4.
25.用适当的方法解下列方程:
(1)(x+1)2=; (2)3x2﹣2x﹣5=0; (3)3(x﹣2)2=x(2﹣x).
26.用适当的方法解下列一元二次方程:
(1)(x﹣2)2=9; (2)x(x﹣3)+x=3;
(3)3x2﹣1=4x; (4)(3x﹣1)2=(x﹣1)2.
中考数学必刷300题 专题20 图形规律-【必刷题】: 这是一份中考数学必刷300题 专题20 图形规律-【必刷题】,文件包含专题20图形规律教师版doc、专题20图形规律学生版doc等2份试卷配套教学资源,其中试卷共19页, 欢迎下载使用。
中考数学必刷300题 专题19 式与方程-【必刷题】: 这是一份中考数学必刷300题 专题19 式与方程-【必刷题】,文件包含专题19式与方程教师版doc、专题19式与方程学生版doc等2份试卷配套教学资源,其中试卷共24页, 欢迎下载使用。
中考数学必刷300题 专题13 圆计算综合-【必刷题】: 这是一份中考数学必刷300题 专题13 圆计算综合-【必刷题】,文件包含专题13圆计算综合教师版doc、专题13圆计算综合学生版doc等2份试卷配套教学资源,其中试卷共46页, 欢迎下载使用。

