云南省几市2022届高三上学期“3+3+3”高考备考诊断性联考试题(一)数学(理)PDF版含解析
展开2024届云南省“3+3+3”高考备考诊断性联考(一)数学试题: 这是一份2024届云南省“3+3+3”高考备考诊断性联考(一)数学试题,文件包含数学答案-2024届云南师大附中高三“3+3+3”高考备诊断性联考试卷一pdf、数学试卷-2024届云南师大附中高三“3+3+3”高考备诊断性联考试卷一pdf等2份试卷配套教学资源,其中试卷共12页, 欢迎下载使用。
贵州省2023届高三上学期3+3+3高考备考诊断性联考(一)数学(理)试题(含答案): 这是一份贵州省2023届高三上学期3+3+3高考备考诊断性联考(一)数学(理)试题(含答案),共23页。试卷主要包含了选择题,填空题,解答题等内容,欢迎下载使用。
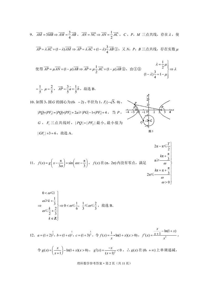
云南省几市2022届高三上学期“3+3+3”高考备考诊断性联考试题(一) 数学(理) PDF版含解析: 这是一份云南省几市2022届高三上学期“3+3+3”高考备考诊断性联考试题(一) 数学(理) PDF版含解析,文件包含2022届“3+3+3”高考备考诊断性联考卷一理数-答案pdf、数学理pdf等2份试卷配套教学资源,其中试卷共13页, 欢迎下载使用。

